Production of Cationic Starch-Based Flocculants and Their Application in Thickening and Dewatering of the Municipal Sewage Sludge
Abstract
1. Introduction
2. Materials and Methods
2.1. Materials
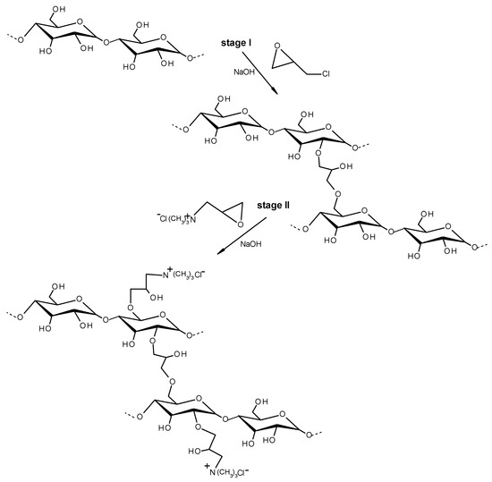
2.2. The Synthesis of Cationic Starch Derivatives
2.3. Preparation of Cationic Starch Flocculants
2.4. Determination of Cationic Group’s Accessibility
2.5. Determination of Flocculation Efficiency Using Model Kaolin System
2.6. Determination of Flocculation Efficiency Using Surplus Activated Sludge
2.7. The Optical Microscopy Studies
3. Results and Discussion
3.1. Preparation of Cationic Starch Based Flocculants
3.2. Thickening of the Surplus Activated Sludge by Using Cationic Starch Based Flocculants
3.3. Dewatering of the Surplus Activated Sludge by Using Cationic Starch Flocculants
4. Conclusions
Author Contributions
Funding
Institutional Review Board Statement
Informed Consent Statement
Data Availability Statement
Conflicts of Interest
References
- Ding, A.; Zhang, R.; Ngo, H.H.; He, X.; Ma, J.; Nan, J.; Li, G. Life cycle assessment of sewage sludge treatment and disposal based on nutrient and energy recovery: A review. Sci. Total Environ. 2021, 769, 144451. [Google Scholar] [CrossRef] [PubMed]
- Hong, E.; Yeneneh, A.M.; Sen, T.K.; Ang, H.M.; Kayaalp, A. A comprehensive review on rheological studies of sludge from various sections of municipal wastewater treatment plants for enhancement of process performance. Adv. Colloid Interface Sci. 2018, 257, 19–30. [Google Scholar] [CrossRef] [PubMed]
- Liu, Y.L.; Wang, L.; Ma, J.; Zhao, X.D.; Huang, Z.S.; Mahadevan, G.D.; Qi, J. Improvement of settleability and dewaterability of sludge by newly prepared alkaline ferrate solution. Chem. Eng. J. 2016, 287, 11–18. [Google Scholar] [CrossRef]
- Wei, H.; Gao, B.; Ren, J.; Li, A.; Yang, H. Coagulation/flocculation in dewatering of sludge: A review. Water Res. 2018, 143, 608–631. [Google Scholar] [CrossRef] [PubMed]
- Chen, Y.; Geurts, M.; Sjollema, S.B.; Kramer, N.I.; Hermens, J.L.M.; Droge, S.T.J. Acute toxicity of the cationic surfactant C12-benzalkonium in different bioassays: How test design affects bioavailability and effect concentrations. Environ. Toxicol. Chem. 2014, 33, 606–615. [Google Scholar] [CrossRef] [PubMed]
- Jing, G.; Zhou, Z.; Zhou, J. Quantitative structure–activity relationship (QSAR) study of toxicity of quaternary ammonium compounds on Chlorella pyrenoidosa and Scenedesmus quadricauda. Chemosphere 2012, 86, 76–82. [Google Scholar] [CrossRef] [PubMed]
- Wilts, E.M.; Herzberger, J.; Long, T.E. Addressing water scarcity: Cationic polyelectrolytes in water treatment and purification. Polym. Int. 2018, 67, 799–814. [Google Scholar] [CrossRef]
- Virk-Baker, M.K.; Nagy, T.R.; Barnes, S.; Groopman, J. Dietary acrylamide and human cancer: A systematic review of literature. Nutr. Cancer 2014, 66, 774–790. [Google Scholar] [CrossRef]
- Macczak, P.; Kaczmarek, H.; Ziegler-Borowska, M. Recent Achievements in Polymer Bio-Based Flocculants for Water Treatment. Materials 2020, 13, 3951. [Google Scholar] [CrossRef]
- Wang, J.P.; Yuan, S.J.; Wang, Y.; Yu, H.Q. Synthesis, characterization and application of a novel starch-based flocculant with high flocculation and dewatering properties. Water Res. 2013, 47, 2643–2648. [Google Scholar] [CrossRef]
- Lekniute-Kyzike, E.; Bendoraitiene, J.; Danilovas, P.P.; Zemaitaitis, A. A novel way to obtain effective cationic starch flocculants. Desal. Water Treat. 2016, 57, 23728–23738. [Google Scholar] [CrossRef]
- Kittipongpatana, O.S.; Kittipongpatana, N. Physicochemical, in vitro digestibility and functional properties of carboxymethyl rice starch cross-linked with epichlorohydrin. Food Chem. 2013, 141, 1438–1444. [Google Scholar] [CrossRef] [PubMed]
- Peng, H.; Zhong, S.; Xiang, J.; Lin, Q.; Yao, C.; Dong, J.; Yin, G.; Yao, K.; Zeng, S.; Zhong, J. Characterization and secondary sludge dewatering performance of a novel combined aluminum-ferrous-starch flocculant (CAFS). Chem. Eng. Sci. 2017, 173, 335–345. [Google Scholar] [CrossRef]
- Lv, S.H.; Sun, T.; Zhou, Q.F.; Liu, J.J.; Ding, H.D. Synthesis of starch-g-p (DMDAAC) using HRP initiation and the correlation of its structure and sludge dewaterability. Carbohydr. Polym. 2014, 103, 285–293. [Google Scholar] [CrossRef] [PubMed]
- Luo, Y.; Lin, J.; Wang, X.; Yeerken, A.; Ma, H. Study on Flocculation Performance of New Cationic Starch-Based Sludge Wastewater Flocculant. Starch-Stärke 2023, 2200226. [Google Scholar] [CrossRef]
- Abujazar, M.S.S.; Karaağaç, S.U.K.; Amr, S.S.A.; Alazaiza, M.Y.D.A.; Bashir, M.J.K. Recent advancement in the application of hybrid coagulants in coagulation-flocculation of wastewater: A review. J. Clean. Prod. 2022, 345, 131133. [Google Scholar] [CrossRef]
- Wei, L.; Xia, X.; Zhu, F.; Li, O.; Xue, M.; Li, J.; Sun, B.; Jiang, J.; Zhao, Q. Dewatering efficiency of sewage sludge during Fe2+ activated persulfate oxidation: Effect of hydrophobic hydrophilic properties of sludge EPS. Water Res. 2020, 181, 121176. [Google Scholar] [CrossRef]
- Yang, Y.; Zhou, K.; Tian, G.; Liu, B.; Jiang, Z.; Bian, B. Feasibility of improving wastewater sludge dewaterability by combination of cationic polyacrylamide and synthetic fibers for resource utilization. Sep. Purif. Technol. Part A 2023, 306, 122620. [Google Scholar] [CrossRef]
- Jiang, X.; Li, Y.; Tang, X.; Jiang, J.; He, Q.; Xiong, Z.; Zheng, H. Biopolymer-based flocculants: A review of recent technologies. Environ. Sci. Pollut. Res. 2021, 28, 46934–46963. [Google Scholar] [CrossRef]
- Liu, Y.Z.; Zheng, H.; Sun, Y.; Ren, J.; Zheng, X.; Sun, Q.; Jiang, S.; Ding, W. Synthesis of novel chitosan-based flocculants with amphiphilic structure and its application in sludge dewatering: Role of hydrophobic groups. J. Clean. Prod. 2020, 249, 119350. [Google Scholar] [CrossRef]
- Jin, X.; Bi, L.; Lyu, T.; Chen, J.; Zhang, H.; Pan, G. Amphoteric starch-based bicomponent modified soil for mitigation of harmful algal blooms (HABs) with broad salinity tolerance: Flocculation, algal regrowth, and ecological safety. Water Res. 2019, 165, 115005. [Google Scholar] [CrossRef] [PubMed]
- Wei, H.; Ren, J.; Li, A.; Yang, H. Sludge dewaterability of a starch-based flocculant and its combined usage with ferric chloride. J. Chem. Eng. 2018, 349, 737–747. [Google Scholar] [CrossRef]
- Li, Y.; Li, L.; Farouk, R.Y.; Wang, Y. Optimization of Polyaluminum Chloride-Chitosan Flocculant for Treating Pig Biogas Slurry Using the Box–Behnken Response Surface Method. Int. J. Environ. Res. Public Health. 2019, 16, 996. [Google Scholar] [CrossRef]
- Tajbakhsh, S.F.; Mohmmadipour, R.; Janani, H. One-pot production of a graft copolymer of cationic starch and cationic polyacrylamide applicable as flocculant for wastewater treatment. J. Macromol. Sci. Part A 2022, 59, 10, 698–710. [Google Scholar] [CrossRef]
- Ghazisaidi, H.; Wang, V.; Fatehi, P.; Tran, H.; Meyer, T.; Allen, D.G. Determining the performance of lignin-based flocculants in improving biosludge dewaterability. J. Environ. Manag. Part B 2023, 325, 116509. [Google Scholar] [CrossRef] [PubMed]
- Bendoraitiene, J.; Lekniute-Kyzike, E.; Rutkaite, R. Biodegradation of cross-linked and cationic starches. Int. J. Biol. Macromol. 2018, 119, 345–351. [Google Scholar] [CrossRef] [PubMed]
- Kavaliauskaite, R.; Klimaviciute, R.; Zemaitaitis, A. Factors influencing production of cationic starches. Carbohydr. Polym. 2008, 73, 665–675. [Google Scholar] [CrossRef] [PubMed]
- Sableviciene, D.; Klimaviciute, R.; Bendoraitiene, J.; Zemaitaitis, A. Flocculation properties of high-substituted cationic starches. Colloids Surf. 2005, 259, 23–30. [Google Scholar] [CrossRef]
- Lekniute, E.; Peciulyte, L.; Klimaviciute, R.; Bendoraitiene, J.; Zemaitaitis, A. Structural characteristics and flocculation properties of amphoteric starch. Colloids Surf. 2013, 430, 95–102. [Google Scholar] [CrossRef]
- Klimavičiūtė, R.; Bendoraitienė, J.; Lekniutė, E.; Žemaitaitis, A. Non-stoichiometric complexes of cationic starch and 4-sulfophthalic acid and their flocculation efficiency. Colloids Surf. A Physicochem. Eng. Asp. 2014, 457, 180–188. [Google Scholar] [CrossRef]
- Simanaviciute, D.; Liudvinaviciute, D.; Klimaviciute, R.; Rutkaite, R. Cross-linked cationic starch derivatives for immobilization of chlorogenic acid. Eur. Polym. J. 2018, 93, 833–842. [Google Scholar] [CrossRef]
- Nystrom, R.; Backfolk, K.; Rosenholm, J.B.; Nurmi, K. The effect of pretreatment of calcite dispersions with anionic sodium polyacrylate on their flocculation behavior induced by cationic starch. J. Colloid Interface Sci. 2003, 262, 48–54. [Google Scholar] [CrossRef]
- Lemanowicz, M.; Jach, Z.; Kilian, E.; Gierczycki, A. Ultra-fine coal flocculation using dual-polymer systems of ultrasonically conditioned and unmodified flocculant. Chem. Eng. J. 2011, 168, 159–169. [Google Scholar] [CrossRef]
- Abdo, S.M.; Mahmoud, R.H.; Youssef, M.; El-Naggar, M.E. Cationic Starch and Polyaluminum Chloride as Coagulants for River Nile Water Treatment. Groundw. Sustain. Dev. 2020, 10, 100331. [Google Scholar] [CrossRef]
- Posada-Velez, M.C.; Pineda-Gomez, P.; Martinez-Hernandez, H.D. Acetylated corn and potato starches as an alternative to the toxic inorganic coagulants/flocculants for wastewater treatment. Environ. Nanotechnol. Monit. Manag. 2023, 20, 100786. [Google Scholar] [CrossRef]
- Jarvis, P.; Jefferson, B.; Gregory, J.; Parsons, S.A. A review of floc strength and breakage. Water Res. 2005, 39, 3121–3137. [Google Scholar] [CrossRef] [PubMed]









| Coagulants/ Flocculants | Agent | Dose (mg/g Dry Solid) | pH Range | Dewatering Efficiency | Cost | Toxicity |
|---|---|---|---|---|---|---|
| Inorganic coagulant | Polyaluminium chloride, FeCl3 | High (>100) | Moderate (5.0–9.0) | Moderate | Low | High |
| Synthetic polymeric flocculants | Cationic polyacrylamide, Poly(acrylic acid) | Low (<100) | Wide (2.0–12.0) | Good | High | High |
| Natural polymeric flocculants | Starch, chitosan | Low (<100) | Wide (2.0–12.0) | Good | Moderate | Low |
Disclaimer/Publisher’s Note: The statements, opinions and data contained in all publications are solely those of the individual author(s) and contributor(s) and not of MDPI and/or the editor(s). MDPI and/or the editor(s) disclaim responsibility for any injury to people or property resulting from any ideas, methods, instructions or products referred to in the content. |
© 2023 by the authors. Licensee MDPI, Basel, Switzerland. This article is an open access article distributed under the terms and conditions of the Creative Commons Attribution (CC BY) license (https://creativecommons.org/licenses/by/4.0/).
Share and Cite
Lekniute-Kyzike, E.; Bendoraitiene, J.; Navikaite-Snipaitiene, V.; Peciulyte, L.; Rutkaite, R. Production of Cationic Starch-Based Flocculants and Their Application in Thickening and Dewatering of the Municipal Sewage Sludge. Materials 2023, 16, 2621. https://doi.org/10.3390/ma16072621
Lekniute-Kyzike E, Bendoraitiene J, Navikaite-Snipaitiene V, Peciulyte L, Rutkaite R. Production of Cationic Starch-Based Flocculants and Their Application in Thickening and Dewatering of the Municipal Sewage Sludge. Materials. 2023; 16(7):2621. https://doi.org/10.3390/ma16072621
Chicago/Turabian StyleLekniute-Kyzike, Edita, Joana Bendoraitiene, Vesta Navikaite-Snipaitiene, Laura Peciulyte, and Ramune Rutkaite. 2023. "Production of Cationic Starch-Based Flocculants and Their Application in Thickening and Dewatering of the Municipal Sewage Sludge" Materials 16, no. 7: 2621. https://doi.org/10.3390/ma16072621
APA StyleLekniute-Kyzike, E., Bendoraitiene, J., Navikaite-Snipaitiene, V., Peciulyte, L., & Rutkaite, R. (2023). Production of Cationic Starch-Based Flocculants and Their Application in Thickening and Dewatering of the Municipal Sewage Sludge. Materials, 16(7), 2621. https://doi.org/10.3390/ma16072621

