Compact Wearable Antenna with Metasurface for Millimeter-Wave Radar Applications
Abstract
1. Introduction
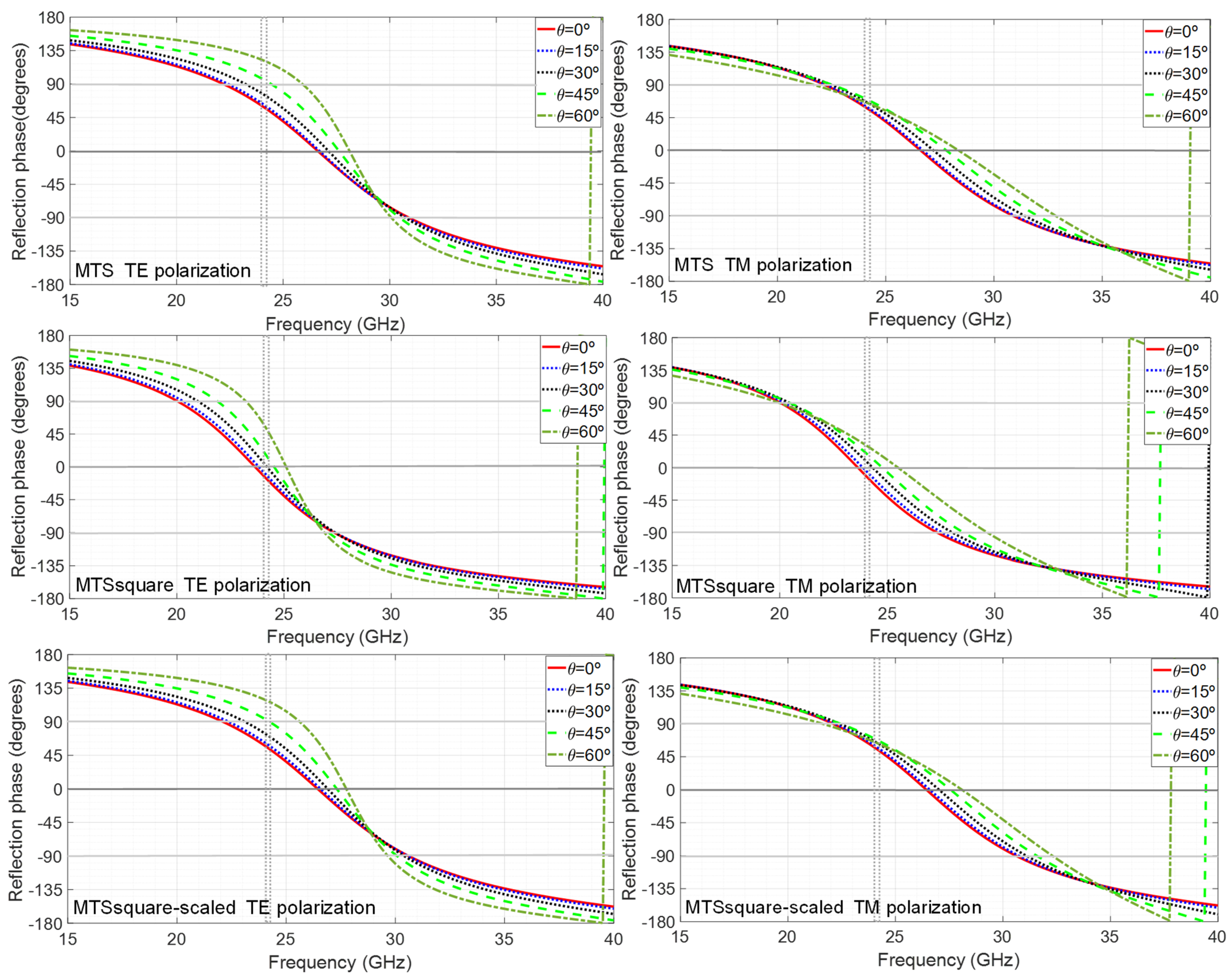
2. Materials and Design Methods
| Freq (GHz) | G (dBi) | D (dB) | η (%) | FTBR (dB) | SLL (dB) φ = 0° | HPBW (°) φ = 0° | SLL (dB) φ = 90° | HPBW (°) φ = 90° | |
|---|---|---|---|---|---|---|---|---|---|
| Array | 24.05 | 15.1 | 15.4 | 93 | 27 | ||||
| 24.15 | 15.2 | 15.3 | 97 | 27 | −16 | 12 | −28 | 64 | |
| 24.25 | 14.7 | 14.9 | 96 | 24 | |||||
| MTS–Array | 24.05 | 15.2 | 15.4 | 97 | 30 | ||||
| 24.15 | 15.0 | 15.1 | 98 | 35 | −16 | 12 | −25 | 58 | |
| 24.25 | 14.6 | 14.8 | 97 | 30 | |||||
| MTSsquare–Array | 24.05 | 14.9 | 15.1 | 94 | 26 | ||||
| 24.15 | 14.8 | 15.0 | 96 | 29 | −15 | 12 | −21 | 55 | |
| 24.25 | 14.7 | 14.8 | 96 | 34 | |||||
| MTSsquare-scaled–Array | 24.05 | 15.0 | 15.1 | 99 | 42 | ||||
| 24.15 | 14.7 | 14.8 | 98 | 30 | −15 | 12 | −30 | 57 | |
| 24.25 | 14.2 | 14.3 | 96 | 26 | |||||
| Array–Parasite | 24.05 | 11 | 13 | 68 | 14 | ||||
| 24.15 | 10 | 12 | 64 | 11 | −8 | 8 | −34 | 40 | |
| 24.25 | 9 | 11 | 63 | 11 |
3. Experimental Results
3.1. Impedance Matching
3.2. Radiation Properties
4. Discussion
5. Comparison with Other Millimeter-Wave Antennas at 24 GHz Radar Band
| Ref. | Size (mm3) | εr | BW (%) | G (dBi) | η (%) | FTBR (dB) | SLL (dB) φ = 0° | HPBW (°) φ = 0° | SLL (dB) φ = 90° | HPBW (°) φ = 90° |
|---|---|---|---|---|---|---|---|---|---|---|
| [43] | 20 × 20 × 0.68 | 2.9 | 8.3 | 7.4 | 35 | - | - | 54 | −25 | 48 |
| [24] | 26.7 × 20.4 × 0.762 | 3.0 | 7.1 | 9.2 | 100 | 17 | −16 | 54 | −5 | 32 |
| [44] | >76 × >76 × 0.13 | 3.0 | 3.8 | 4.8 | - | - | - | - | - | - |
| [45] | 17.2 × 17.2 × 0.18 | 3.0 | 2.5 | 5.0 | - | - | - | 60 | - | 60 |
| [46] | 6.8 × 6.8 × 0.26 | 3.0 | 2 | 5.44 | - | |||||
| [47] | 36.5 × 53 × 0.1 | 3.35 | 0.8 | 5.81 | - | - | 65 | −7 | 20 | |
| [48] | 67 × 16.5 × 0.254 | 3.48 | 1.5 | 13 | - | - | −26 | 17.5 | - | - |
| [40] | 29 × 21 × 0.254 | 3.48 | 2.1 | 10.4 | - | - | - | 58 | - | 47 |
| [49] | 23 × 15 × 0.254 | 3.48 | 6.6 | 4.24 | - | 9.23 | - | - | - | - |
| [50] | 90 × 25 × 0.203 | 3.55 | 1.6 | 11 | 82 | 17 | ||||
| [51] | 135 × 58.7 × 0.254 | 3.6 | 2.7 | 24.2 | - | 22 | −23 | 12.5 | −23 | 5.6 |
| [52] | 50 × 59 × 0.254 | 3.66 | 1.0 | 20.6 | - | - | −18 | 19.2 | −19 | 12.2 |
| [53] | 50 × 50 × 0.754 | 3.66 | 6.3 | 20.9 | - | - | −21 | 15 | −22 | 28 |
| Array * | 86.8 × 12 × 0.762 | 3.0 | 1.8 | 15.2 | 97 | 27 | −16 | 12 | −28 | 64 |
| MTS-Array * | 86.8 × 12 × 0.762 | 3.0 | >8.5 | 15.0 | 98 | 35 | −16 | 12 | −25 | 58 |
| MTSsquare-Array * | 86.8 × 12 × 0.762 | 3.0 | >8.5 | 14.8 | 96 | 29 | −15 | 12 | −21 | 55 |
| MTSsquare-scaled-Array * | 86.8 × 12 × 0.762 | 3.0 | >8.5 | 14.7 | 98 | 30 | −15 | 12 | −30 | 57 |
6. Conclusions
Author Contributions
Funding
Data Availability Statement
Conflicts of Interest
References
- Holloway, C.L.; Kuester, E.F.; Gordon, J.A.; O’Hara, J.; Booth, J.; Smith, D.R. An overview of the theory and applications of metasurfaces: The two-dimensional equivalents of metamaterials. IEEE Antennas Propag. Mag. 2012, 54, 10–35. [Google Scholar] [CrossRef]
- Chen, H.-T.; Taylor, A.J.; Yu, N. A review of metasurfaces: Physics and applications. Rep. Prog. Phys. 2016, 79, 076401. [Google Scholar] [CrossRef] [PubMed]
- Achouri, K.; Caloz, C. Design, concepts, and applications of electromagnetic metasurfaces. Nanophotonics 2017, 7, 1095. [Google Scholar] [CrossRef]
- Li, A.; Singh, S.; Sievenpiper, D. Metasurfaces and their applications. Nanophotonics 2018, 7, 989–1011. [Google Scholar] [CrossRef]
- Iyer, A.K.; Alù, A.; Epstein, A. Metamaterials and metasurfaces—Historical context, recent advances, and future directions. IEEE Trans. Antennas Propag. 2020, 68, 1223–1231. [Google Scholar] [CrossRef]
- De Cos Gómez, M.E.; Alvarez-Lopez, Y.; Las-Heras Andrés, F. On the Influence of Coupling AMC Resonances for RCS Reduction in the SHF Band. Prog. Electromagn. Res. 2011, 117, 103–119. [Google Scholar] [CrossRef]
- Fernández Álvarez, H.; De Cos Gómez, M.E.; Las-Heras, F. A Six-Fold Symmetric Metamaterial Absorber. Materials 2015, 8, 1590–1603. [Google Scholar] [CrossRef] [PubMed]
- Hadarig, R.C.; De Cos Gomez, M.E.; Las-Heras, F. A Compact Band-Pass Filter with High Selectivity and Second Harmonic Suppression. Materials 2013, 6, 5613–5624. [Google Scholar] [CrossRef]
- Fernández Álvarez, H.; de Cos Gómez, M.E.; Las-Heras Andrés, F. On the Broadening of Single-Layer Metasurface Bandwidth by Coupling Resonances. Materials 2020, 13, 2063. [Google Scholar] [CrossRef]
- Fernández Álvarez, H.; de Cos Gómez, M.E.; Las-Heras Andrés, F. Paving the Way for Suitable Metasurfaces’ Measurements Under Oblique Incidence: Mono-/Bistatic and Near-/Far-Field Concerns. IEEE Trans. Instrum. Meas. 2020, 69, 1737–1744. [Google Scholar] [CrossRef]
- Aqlan, B.; Vettikalladi, H.; Alkanhal, M.A.S. Millimeter wave antenna with frequency selective surface (FSS) for 79 GHz automotive radar applications. Int. J. Microw. Wirel. Technol. 2017, 9, 2281–2290. [Google Scholar] [CrossRef]
- Xie, P.; Wang, G.; Li, H.; Liang, J.; Gao, X. Circularly Polarized Fabry-Perot Antenna Employing a Receiver–Transmitter Polarization Conversion Metasurface. IEEE Trans. Antennas Propag. 2020, 68, 43213–43218. [Google Scholar] [CrossRef]
- Faenzi, M.; Minatti, G.; González-Ovejero, D.; Caminita, F.; Martini, E.; Giovampaola, C.D.; Maci, S. Metasurface antennas: New models, applications and realizations. Sci. Rep. 2019, 9, 10178. [Google Scholar] [CrossRef] [PubMed]
- He, Y.; Eleftheriades, G.V. A thin double-mesh metamaterial radome for wide-angle and broadband applications at millimeter-wave frequencies. IEEE Trans. Antennas Propag. 2020, 68, 2176–2185. [Google Scholar] [CrossRef]
- Casaletti, M.; Valerio, G.; Quevedo-Teruel, O.; Burghignoli, P. An overview of metasurfaces for thin antenna applications. Comptes Rendus Phys. 2020, 21, 659–676. [Google Scholar] [CrossRef]
- Guo, Q.Y.; Lin, Q.W.; Wong, H. A High Gain Millimeter-Wave Circularly Polarized Fabry–Pérot Antenna Using PRS-Integrated Polarizer. IEEE Trans. Antennas Propag. 2021, 69, 1179–1183. [Google Scholar] [CrossRef]
- Erentok, A.; Ziolkowski, R.W. Metamaterial-inspired efficient electrically small antennas. IEEE Trans. Antennas Propag. 2008, 56, 691–707. [Google Scholar] [CrossRef]
- Park, I. Application of metasurfaces in the design of performance-enhanced low-profile antennas. EPJ Appl. Metamat. 2018, 5, 11. [Google Scholar] [CrossRef]
- Zhu, Y.; Bossavit, A.; Zouhdi, S. Surface impedance models for high impedance surfaces. Appl. Phys. A Mater. Sci. Process. 2011, 103, 677–683. [Google Scholar] [CrossRef]
- Grelier, M.; Linot, F.; Lepage, A.C.; Begaud, X.; Le Mener, J.M.; Soiron, M. Analytical methods for AMC and EBG characterizations. Appl. Phys. A Mater. Sci. Process. 2011, 102, 805–808. [Google Scholar] [CrossRef]
- Anderson, I. On the theory of self-resonant grids. Bell Syst. Tech. J. 1975, 54, 1725–1731. [Google Scholar] [CrossRef]
- Luukkonen, O.; Simovski, C.; Granet, G.; Goussetis, G.; Lioubtchenko, D.; Räisänen, A.V.; Tretyakov, S.A. Simple and accurate analytical model of planar grids and high impedance surfaces comprising metal strips or patches. IEEE Trans. Antennas Propag. 2008, 56, 1624–1632. [Google Scholar] [CrossRef]
- De Cos, M.E.; Las-Heras, F. On the advantages of loop-based unit-cell’s metallization regarding the angular stability of artificial magnetic conductors. Appl. Phys. A 2015, 118, 699–708. [Google Scholar] [CrossRef]
- Berdasco, A.F.; de Cos Gómez, M.E.; Álvarez, H.F.; Andrés, F.L.H. Array Antenna with HIS Metasurface for mmWave Imaging Applications. In Proceedings of the 16th European Conference on Antennas and Propagation (EuCAP), Madrid, Spain, 27 March–1 April 2022; pp. 1–5. [Google Scholar] [CrossRef]
- Zhang, K.; Vandenbosch, G.A.; Yan, S. A Novel Design Approach for Compact Wearable Antennas Based on Metasurfaces. IEEE Trans. Biomed. Circuits Syst. 2020, 14, 918–927. [Google Scholar] [CrossRef]
- Saeed, S.M.; Balanis, C.A.; Birtcher, C.R.; Durgun, A.C.; Shaman, H.N. Wearable flexible reconfigurable antenna integrated with artificial magnetic conductor. IEEE Antennas Wireless Propag. Lett. 2017, 16, 2396–2399. [Google Scholar] [CrossRef]
- El Atrash, M.; Abdalla, M.A.; Elhennawy, H.M. A wearable dual-band low profile high gain low SAR antenna AMC-backed for WBAN applications. IEEE Trans. Antennas Propag. 2019, 67, 6378–6388. [Google Scholar] [CrossRef]
- Alemaryeen, A.; Noghanian, S. Crumpling effects and specific absorption rates of flexible AMC integrated antennas. IET Microw. Antennas Propag. 2018, 12, 627–635. [Google Scholar] [CrossRef]
- Agarwal, K.; Guo, Y.; Salam, B. Wearable AMC backed near-endfire antenna for on-body communications on latex substrate. IEEE Trans. Compon. Packag. Manuf. Technol. 2016, 6, 346–358. [Google Scholar] [CrossRef]
- Lin, F.H.; Chen, Z.N. A Method of Suppressing Higher Order Modes for Improving Radiation Performance of Metasurface Multiport Antennas Using Characteristic Mode Analysis. IEEE Trans. Antennas Propag. 2018, 66, 1894–1902. [Google Scholar] [CrossRef]
- Liu, W.E.I.; Chen, Z.N.; Qing, X. Broadband Low-Profile L-Probe Fed Metasurface Antenna with TM Leaky Wave and TE Surface Wave Resonances. IEEE Trans. Antennas Propag. 2020, 68, 1348–1355. [Google Scholar] [CrossRef]
- Nie, N.-S.; Yang, X.-S.; Chen, Z.N.; Wang, B.-Z. A Low-Profile Wideband Hybrid Metasurface Antenna Array for 5G and WiFi Systems. IEEE Trans. Antennas Propag. 2020, 68, 665–671. [Google Scholar] [CrossRef]
- Iqbal, A.; Basir, A.; Smida, A.; Mallat, N.K.; Elfergani, I.; Rodriguez, J.; Kim, S. Electromagnetic Bandgap Backed Millimeter-Wave MIMO Antenna for Wearable Applications. IEEE Access 2019, 7, 111135–111144. [Google Scholar] [CrossRef]
- Ali, M.; Batchelor, J.C.; Ullah, I.; Gomes, N.J. Ultra-thin EBG backed flexible antenna for 24 GHz ISM band WBAN. In Proceedings of the 2022 Antenna Measurement Techniques Association Symposium (AMTA), Denver, CO, USA, 9–14 October 2022; pp. 1–4. [Google Scholar] [CrossRef]
- Mantash, M.; Denidni, M. CP Antenna Array with Switching-Beam Capability Using Electromagnetic Periodic Structures for 5G Applications. IEEE Access 2019, 7, 26192–26199. [Google Scholar] [CrossRef]
- Wang, Y.; Xu, Y.; Wang, B.; Mo, J.; Ramahi, O.M. A 24-GHz Directional Button Antenna for Wireless Power Transfer on Human Arm. In Proceedings of the 2022 IEEE International Symposium on Antennas and Propagation and USNC-URSI Radio Science Meeting (AP-S/URSI), Denver, CO, USA, 10–15 July 2022; pp. 2020–2021. [Google Scholar] [CrossRef]
- De Cos Gómez, M.E.; Álvarez, H.F.; Las-Heras Andrés, F. Millimeter Wave Antenna on Eco-friendly Substrate for Radar Applications. In Proceedings of the 16th European Conference on Antennas and Propagation (EuCAP), Madrid, Spain, 27 March–1 April 2022; pp. 1–5. [Google Scholar] [CrossRef]
- Rogers Corp Laminates. Datasheet of RO3003. Available online: https://rogerscorp.com/advanced-electronics-solutions/ro3000-series-laminates/ro3003-laminates (accessed on 18 September 2022).
- Kothapudi, V.K.; Kumar, V. SFCFOS Uniform and Chebyshev Amplitude Distribution Linear Array Antenna for K-Band Applications. J. Electromagn. Eng. Sci. 2019, 19, 64–70. [Google Scholar] [CrossRef]
- Kim, S.; Kim, D.K.; Kim, Y.; Choi, J.; Jung, K.Y. A 24 GHz ISM-Band Doppler Radar Antenna with High Isolation Characteristic for Moving Target Sensing Applications. IEEE Antennas Wirel. Prop. Lett. 2019, 18, 1532–1536. [Google Scholar] [CrossRef]
- IEEE Std 145-1983; IEEE Standard Definitions of Terms for Antennas. IEEE: Piscataway, NJ, USA, 1983; pp. 1–31. [CrossRef]
- IEEE Std 149-2021 (Revision of IEEE Std 149-1977); IEEE Recommended Practice for Antenna Measurements. IEEE: Piscataway, NJ, USA, 2022; pp. 1–207. [CrossRef]
- Poggiani, M.; Alimenti, F.; Mezzanotte, P.; Virili, M.; Mariotti, C.; Orecchini, G.; Roselli, L. 24 GHz patch antenna network in cellulose-based materials for green wireless internet applications. Sci. Meas. Technol. IET 2014, 8, 342–349. [Google Scholar] [CrossRef]
- Malik, B.T.; Doychinov, V.; Zaidi, S.A.R.; Robertson, I.D.; Somjit, N.; Richardson, R.; Chudpooti, N. Flexible Rectennas for Wireless Power Transfer to Wearable Sensors at 24 GHz. In Proceedings of the 2019 Research, Invention, and Innovation Congress (RI2C), Bangkok, Thailand, 11–13 December 2019; pp. 1–5. [Google Scholar] [CrossRef]
- Bito, J.; Palazzi, V.; Hester, J.; Bahr, R.; Alimenti, F.; Mezzanotte, P.; Roselli, L.; Tentzeris, M.M. Millimeter-wave ink-jet printed RF energy harvester for next generation flexible electronics. In Proceedings of the 2017 IEEE Wireless Power Transfer Conference (WPTC), Taipei, Taiwan, 10–12 May 2017; pp. 1–4. [Google Scholar] [CrossRef]
- Dawood, H.; Zahid, M.; Awais, H.; Shoaib, S.; Hussain, A.; Jamil, A. A High Gain Flexible Antenna for Biomedical Applications. In Proceedings of the 2020 International Conference on Electrical, Communication, and Computer Engineering (ICECCE), Istanbul, Turkey, 12–13 June 2020; pp. 1–4. [Google Scholar] [CrossRef]
- Kathuria, N.; Seet, B.-C. 24 GHz Flexible Antenna for Doppler Radar-Based Human Vital Signs Monitoring. Sensors 2021, 21, 3737. [Google Scholar] [CrossRef]
- Jin, H.; Zhu, L.; Liu, X.; Yang, G. Design of a Microstrip Antenna Array with Low Side-Lobe for 24GHz Radar Sensors. In Proceedings of the 2018 International Conference on Microwave and Millimeter Wave Technology (ICMMT), Chengdu, China, 7–11 May 2018; pp. 1–3. [Google Scholar] [CrossRef]
- Park, S.; Kim, S.; Kim, D.K.; Choi, J.; Jung, K.-Y. Numerical Study on the Feasibility of a 24 GHz ISM-Band Doppler Radar Antenna for Near-Field Sensing of Human Respiration in Electromagnetic Aspects. Appl. Sci. 2020, 10, 6159. [Google Scholar] [CrossRef]
- Kuo, C.; Lin, C.; Sun, J. Modified Microstrip Franklin Array Antenna for Automotive Short-Range Radar Applicacion in Blind Spor Information System. IEEE Antennas Wirel. Propag. Lett. 2017, 16, 1731–1734. [Google Scholar] [CrossRef]
- Yongtao, J.; Liu, Y.; Zhang, Y. A 24 GHz microstrip antenna array with large space and a narrow beam width. Microw. Opt. Technol. Lett. 2020, 62, 1615–1620. [Google Scholar] [CrossRef]
- Chen, Y.; Liu, Y.; Zhang, Y.; Yue, Z.; Jia, Y. A 24GHz Millimeter Wave Microstrip Antenna Array for Automotive Radar. In Proceedings of the International Symposium on Antennas and Propagation (ISAP), Xi’an, China, 27–30 October 2019; pp. 1–2. [Google Scholar]
- Yang, W.; Yang, Y.; Che, W.; Gu, L.; Li, X. A novel 24-GHz series-fed patch antenna array for radar system. In Proceedings of the 2016 IEEE International Workshop on Electromagnetics: Applications and Student Innovation Competition (iWEM), Nanjing, China, 16–18 May 2016; pp. 1–4. [Google Scholar]
- Wu, T.; Rappaport, T.S.; Collins, C.M. Safe for Generations to Come: Considerations of Safety for Millimeter Waves in Wireless Communications. IEEE Microw. Mag. 2015, 16, 65–84. [Google Scholar] [CrossRef] [PubMed]
- Calculation of the Dielectric Properties of Body Tissues in the Frequency Range 10 Hz to 100 GHz. (IFAC) Institute of Apllied Physics. Italian National Research Council. Available online: http://niremf.ifac.cnr.it/tissprop/htmlclie/htmlclie.php (accessed on 17 February 2023).
- Gabriel, S.; Lau, R.W.; Gabriel, C. The dielectric properties of biological tissues: III. Parametric models for the dielectric spectrum of tissues. Phys. Med. Biol. 1996, 41, 2271. [Google Scholar] [CrossRef] [PubMed]













| Freq (GHz) | G (dBi) | SLL (dB) φ = 0° | HPBW (°) φ = 0° | SLL (dB) φ = 90° | HPBW (°) φ = 90° | |
|---|---|---|---|---|---|---|
| Array | 24.05 | 12.9 | ||||
| 24.15 | 13.1 | −13 | 11 | ─ | 64 | |
| 24.25 | 12.8 | |||||
| MTS–Array | 24.05 | 13.2 | ||||
| 24.15 | 13.5 | −14 | 11 | ─ | 59 | |
| 24.25 | 13.6 | |||||
| MTSsquare–Array | 24.05 | 10.1 | ||||
| 24.15 | 10 | −9 | 11 | ─ | 66 | |
| 24.25 | 10.1 | |||||
| MTSsquare-scaled–Array | 24.05 | 13.5 | ||||
| 24.15 | 13.2 | −14 | 12 | ─ | 58 | |
| 24.25 | 13.1 | |||||
| Array–Parasite | 24.05 | 6.3 | ||||
| 24.15 | 5 | −5 | 8 | ─ | 50 | |
| 24.25 | 4.9 |
Disclaimer/Publisher’s Note: The statements, opinions and data contained in all publications are solely those of the individual author(s) and contributor(s) and not of MDPI and/or the editor(s). MDPI and/or the editor(s) disclaim responsibility for any injury to people or property resulting from any ideas, methods, instructions or products referred to in the content. |
© 2023 by the authors. Licensee MDPI, Basel, Switzerland. This article is an open access article distributed under the terms and conditions of the Creative Commons Attribution (CC BY) license (https://creativecommons.org/licenses/by/4.0/).
Share and Cite
de Cos Gómez, M.E.; Fernández Álvarez, H.; Flórez Berdasco, A.; Las-Heras Andrés, F. Compact Wearable Antenna with Metasurface for Millimeter-Wave Radar Applications. Materials 2023, 16, 2553. https://doi.org/10.3390/ma16072553
de Cos Gómez ME, Fernández Álvarez H, Flórez Berdasco A, Las-Heras Andrés F. Compact Wearable Antenna with Metasurface for Millimeter-Wave Radar Applications. Materials. 2023; 16(7):2553. https://doi.org/10.3390/ma16072553
Chicago/Turabian Stylede Cos Gómez, María Elena, Humberto Fernández Álvarez, Alicia Flórez Berdasco, and Fernando Las-Heras Andrés. 2023. "Compact Wearable Antenna with Metasurface for Millimeter-Wave Radar Applications" Materials 16, no. 7: 2553. https://doi.org/10.3390/ma16072553
APA Stylede Cos Gómez, M. E., Fernández Álvarez, H., Flórez Berdasco, A., & Las-Heras Andrés, F. (2023). Compact Wearable Antenna with Metasurface for Millimeter-Wave Radar Applications. Materials, 16(7), 2553. https://doi.org/10.3390/ma16072553

