Study of Viscoelastic Properties of Graphene Foams Using Dynamic Mechanical Analysis and Coarse-Grained Molecular Dynamics Simulations
Abstract
1. Introduction
2. Experimental Materials and DMA Instrument, Numerical Model and Methodology
2.1. Experimental Materials
2.2. Experimental Instrument
2.3. Coarse-Grained Molecular Dynamics
2.4. Dynamic Mechanical Analysis
3. Results and Discussions
3.1. Effect of Density on Viscoelastic Properties of GrF
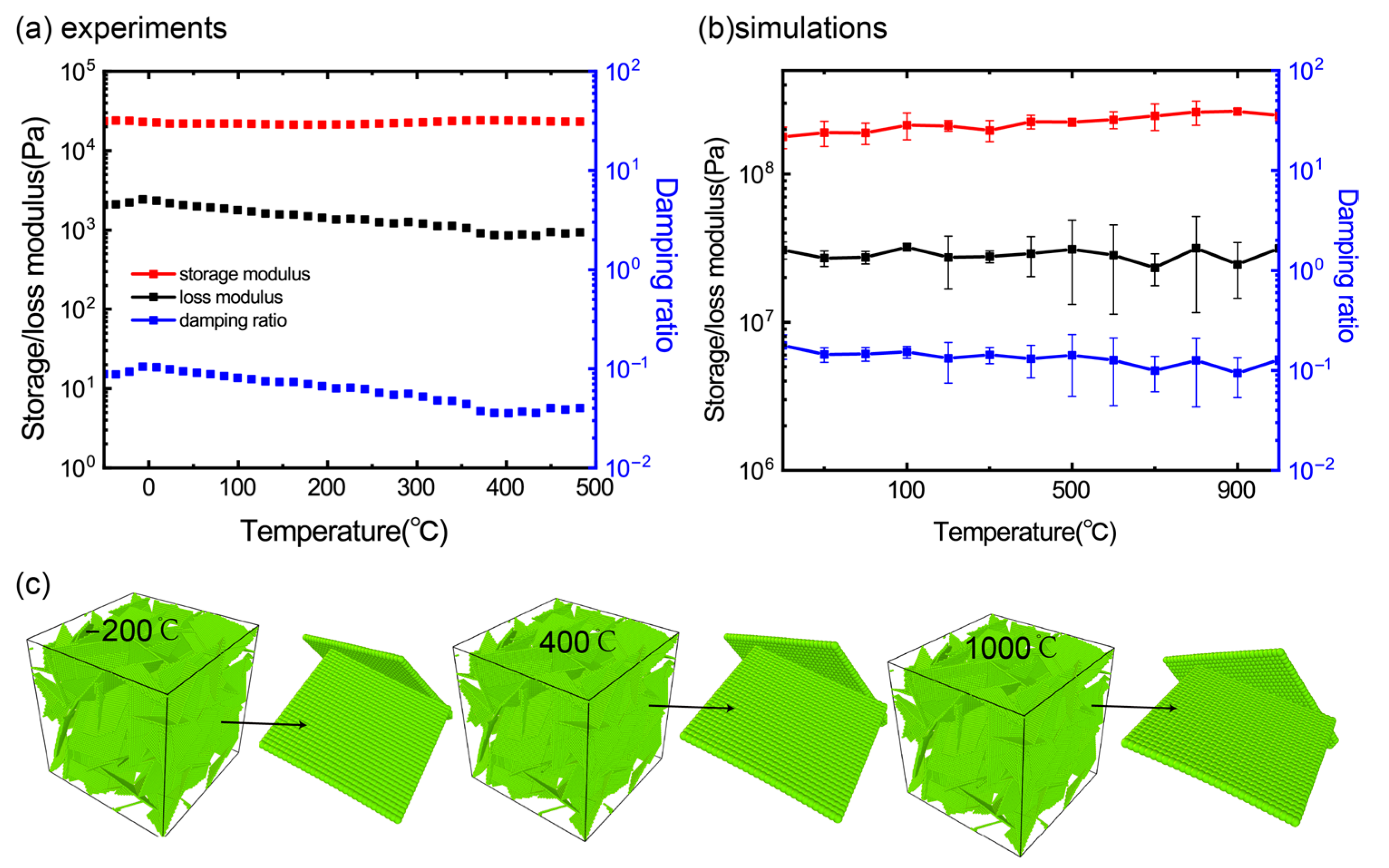
3.2. Effect of Temperature
3.3. Effect of Frequency
3.4. Effect of Loading Amplitude
3.5. Effect of Compressive and Tensile Pre-Strain
4. Conclusions
Author Contributions
Funding
Institutional Review Board Statement
Informed Consent Statement
Data Availability Statement
Acknowledgments
Conflicts of Interest
Appendix A
| Parameters | No. of Graphene Layers | Units | |||||||||
|---|---|---|---|---|---|---|---|---|---|---|---|
| 1 | 2 | 3 | 4 | 5 | 6 | 7 | 8 | 9 | 10 | ||
| kT | 470 | 930 | 1396 | 1860 | 2323 | 2787 | 3253 | 3720 | 4190 | 4663 | kcal mol−1Å−2 |
| kφ | 16,870 | 33,740 | 50,610 | 67,480 | 84,350 | 101,220 | 118,090 | 134,960 | 151,829 | 168,698 | kcal mol−1rad−2 |
| σ | 2.98 | 5.96 | 8.78 | 11.92 | 15.20 | 18.35 | 21.27 | 23.84 | 25.89 | 27.30 | Å |
| kθ | 144.9 | 8970 | 28,782 | 82,731 | 185,601 | 351,166 | 595,220 | 933,087 | 1,379,947 | 1,951,198 | kcal mol−1rad−2 |
References
- Luo, Y.; Jiang, S.; Xiao, Q.; Chen, C.; Li, B. Highly reusable and superhydrophobic spongy graphene aerogels for efficient oil/water separation. Sci. Rep. 2017, 7, 7162. [Google Scholar] [CrossRef] [PubMed]
- Sun, H.; Xu, Z.; Gao, C. Multifunctional, ultra-flyweight, synergistically assembled carbon aerogels. Adv. Mater. 2013, 25, 2554–2560. [Google Scholar] [CrossRef] [PubMed]
- Wu, Y.; Yi, N.; Huang, L.; Zhang, T.; Fang, S.; Chang, H.; Li, N.; Oh, J.; Lee, J.A.; Kozlov, M.; et al. Three-dimensionally bonded spongy graphene material with super compressive elasticity and near-zero Poisson’s ratio. Nat. Commun. 2015, 6, 6141. [Google Scholar] [CrossRef] [PubMed]
- Chen, Z.; Ren, W.; Gao, L.; Liu, B.; Pei, S.; Cheng, H.-M. Three-dimensional flexible and conductive interconnected graphene networks grown by chemical vapour deposition. Nat. Mater. 2011, 10, 424–428. [Google Scholar] [CrossRef] [PubMed]
- Ma, Y.; Chang, H.; Zhang, M.; Chen, Y. Graphene-based materials for lithium-ion hybrid supercapacitors. Adv. Mater. 2015, 27, 5296–5308. [Google Scholar] [CrossRef]
- Yavari, F.; Chen, Z.; Thomas, A.V.; Ren, W.; Cheng, H.; Koratkar, N. High sensitivity gas detection using a macroscopic three-dimensional graphene foam network. Sci. Rep. 2011, 1, 166. [Google Scholar] [CrossRef]
- Wang, X.; Lu, M.; Wang, H.; Pei, Y.; Rao, H.; Du, X. Three-dimensional graphene aerogels-mesoporous silica frameworks for superior adsorption capability of phenols. Sep. Purif. Technol. 2015, 153, 7–13. [Google Scholar] [CrossRef]
- Chen, S.; Bao, P.; Huang, X.; Sun, B.; Wang, G. Hierarchical 3D mesoporous silicon @ graphene nanoarchitectures for lithium ion batteries with superior performance. Nano Res. 2014, 7, 85–94. [Google Scholar] [CrossRef]
- Sadasivuni, K.K.; Ponnamma, D.; Kumar, B.; Strankowski, M.; Cardinaels, R.; Moldenaers, P.; Thomas, S.; Grohens, Y. Dielectric properties of modified graphene oxide filled polyurethane nanocomposites and its correlation with rheology. Compos. Sci. Technol. 2014, 104, 18–25. [Google Scholar] [CrossRef]
- Boland, C.S.; Khan, U.; Ryan, G.; Barwich, S.; Charifou, R.; Harvey, A.; Backes, C.; Li, Z.; Ferreira, M.S.; Möbius, M.E.; et al. Sensitive electromechanical sensors using viscoelastic graphene-polymer nanocomposites. Science 2016, 354, 1257–1260. [Google Scholar] [CrossRef]
- Xu, Y.; Sheng, K.; Li, C.; Shi, G. Self-assembled graphene hydrogel via a one-step hydrothermal process. ACS Nano 2010, 4, 4324–4330. [Google Scholar] [CrossRef] [PubMed]
- Qiu, L.; Liu, J.; Chang, S.; Wu, Y.; Li, D. Biomimetic superelastic graphene-based cellular monoliths. Nat. Commun. 2012, 3, 1241. [Google Scholar] [CrossRef] [PubMed]
- Shen, Z.; Ye, H.; Zhou, C.; Kröger, M.; Li, Y. Size of graphene sheets determines the structural and mechanical properties of 3D graphene foams. Nanotechnology 2018, 29, 104001. [Google Scholar] [CrossRef] [PubMed]
- Cranford, S.; Buehler, M. Twisted and coiled ultralong multilayer graphene ribbons. Model. Simul. Mater. Sci. Eng. 2011, 19, 54003. [Google Scholar] [CrossRef]
- Wang, C.; Zhang, C.; Chen, S. The microscopic deformation mechanism of 3D graphene foam materials under uniaxial compression. Carbon 2016, 109, 666–672. [Google Scholar] [CrossRef]
- Pan, D.; Wang, C.; Wang, T.; Yao, Y. Graphene foam: Uniaxial tension behavior and fracture mode based on a mesoscopic model. ACS Nano 2017, 11, 8988–8997. [Google Scholar] [CrossRef]
- Wang, C.; Pan, D.; Chen, S. Energy dissipative mechanism of graphene foam materials. Carbon 2018, 132, 641–650. [Google Scholar] [CrossRef]
- Wang, C.; Chen, S. Viscoelastic properties of randomly entangled carbon nanotube networks under cyclic tension loading. Comput. Mater. Sci. 2016, 119, 46–51. [Google Scholar] [CrossRef]
- Liu, S.; Lyu, M.; Wang, C. Mechanical properties and deformation mechanisms of graphene foams with bi-Modal sheet thickness by coarse-grained molecular dynamics simulations. Materials 2021, 14, 5622. [Google Scholar] [CrossRef]
- Nieto, A.; Boesl, B.; Agarwal, A. Multi-scale intrinsic deformation mechanisms of 3D graphene foam. Carbon 2015, 85, 299–308. [Google Scholar] [CrossRef]
- Bi, H.; Chen, I.; Lin, T.; Huang, F. A new tubular graphene form of a tetrahedrally connected cellular structure. Adv. Mater. 2015, 27, 5943–5949. [Google Scholar] [CrossRef] [PubMed]
- Yang, T.; Wang, C.; Wu, Z. Crosslink-tuned large-deformation behavior and fracture mode in buckypapers. Carbon 2020, 159, 412–421. [Google Scholar] [CrossRef]
- Wang, C.; Wang, L.; Xu, Z. Enhanced mechanical properties of carbon nanotube networks by mobile and discrete binders. Carbon 2013, 64, 237–244. [Google Scholar] [CrossRef]
- Wang, C.; Zhang, C.; Chen, S. Micro-mechanism and influencing factors of graphene foam elasticity. Carbon 2019, 148, 267–276. [Google Scholar] [CrossRef]
- Zhao, W.; Elias, A.L.; Rajukumar, L.P.; Kim, H.-I.; O’Brien, D.J.; Zimmerman, B.K.; Penev, E.S.; Terrones, M.; Yakobson, B.I.; Wei, B.; et al. Controllable and predictable viscoelastic behavior of 3D boron-doped multiwalled carbon nanotube sponges. Part. Part. Syst. Charact. 2015, 33, 21–26. [Google Scholar] [CrossRef]
- Zhao, Q.; Jung, G.; Kang, M.; Buehler, M. The mechanics and design of a lightweight three-dimensional graphene assembly. Sci. Adv. 2017, 3, e1601536. [Google Scholar]
- Lakes, R.S. Viscoelastic Materials; Cambridge University Press: Cambridge, UK, 2009. [Google Scholar]
- Zeng, X.; Ye, L.; Sun, R.; Xu, J.; Wong, C. Observation of viscoelasticity in boron nitride nanosheet aerogel. Phys. Chem. Chem. Phys. 2015, 17, 16709–16714. [Google Scholar] [CrossRef]
- Zhang, H.B.; Zheng, W.; Yan, Q.; Jiang, Z.; Yu, Z. The effect of surface chemistry of graphene on rheological and electrical properties of polymethylmethacrylate composites. Carbon 2012, 50, 5117–5125. [Google Scholar] [CrossRef]






Disclaimer/Publisher’s Note: The statements, opinions and data contained in all publications are solely those of the individual author(s) and contributor(s) and not of MDPI and/or the editor(s). MDPI and/or the editor(s) disclaim responsibility for any injury to people or property resulting from any ideas, methods, instructions or products referred to in the content. |
© 2023 by the authors. Licensee MDPI, Basel, Switzerland. This article is an open access article distributed under the terms and conditions of the Creative Commons Attribution (CC BY) license (https://creativecommons.org/licenses/by/4.0/).
Share and Cite
Liu, S.; Lyu, M.; Yang, C.; Jiang, M.; Wang, C. Study of Viscoelastic Properties of Graphene Foams Using Dynamic Mechanical Analysis and Coarse-Grained Molecular Dynamics Simulations. Materials 2023, 16, 2457. https://doi.org/10.3390/ma16062457
Liu S, Lyu M, Yang C, Jiang M, Wang C. Study of Viscoelastic Properties of Graphene Foams Using Dynamic Mechanical Analysis and Coarse-Grained Molecular Dynamics Simulations. Materials. 2023; 16(6):2457. https://doi.org/10.3390/ma16062457
Chicago/Turabian StyleLiu, Shenggui, Mindong Lyu, Cheng Yang, Minqiang Jiang, and Chao Wang. 2023. "Study of Viscoelastic Properties of Graphene Foams Using Dynamic Mechanical Analysis and Coarse-Grained Molecular Dynamics Simulations" Materials 16, no. 6: 2457. https://doi.org/10.3390/ma16062457
APA StyleLiu, S., Lyu, M., Yang, C., Jiang, M., & Wang, C. (2023). Study of Viscoelastic Properties of Graphene Foams Using Dynamic Mechanical Analysis and Coarse-Grained Molecular Dynamics Simulations. Materials, 16(6), 2457. https://doi.org/10.3390/ma16062457

