Ion-Induced Lateral Damage in the Focused Ion Beam Patterning of Topological Insulator Bi2Se3 Thin Films
Abstract
1. Introduction
2. Materials and Methods
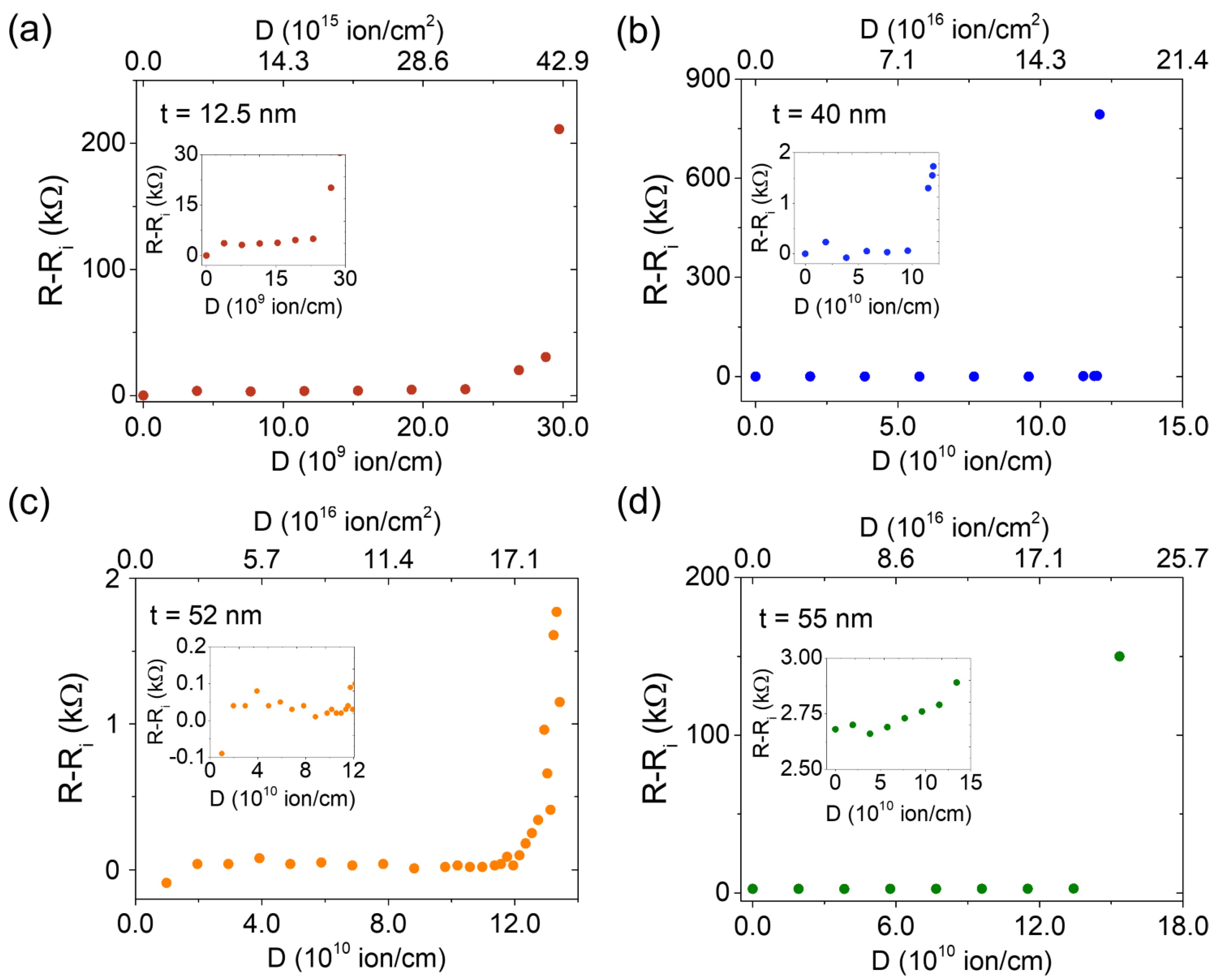
3. Results
4. Conclusions and Outlook
Supplementary Materials
Author Contributions
Funding
Institutional Review Board Statement
Informed Consent Statement
Data Availability Statement
Acknowledgments
Conflicts of Interest
References
- De Teresa, J.M. (Ed.) Nanofabrication; IOP Publishing: Bristol, UK, 2020; pp. 2053–2563. [Google Scholar] [CrossRef]
- Moll, P.J. Focused Ion Beam Microstructuring of Quantum Matter. Annu. Rev. Condens. Matter Phys. 2018, 9, 147–162. [Google Scholar] [CrossRef]
- Tseng, A.A. Recent developments in micromilling using focused ion beam technology. J. Micromech. Microeng. 2004, 14, R15. [Google Scholar] [CrossRef]
- Li, P.; Chen, S.; Dai, H.; Yang, Z.; Chen, Z.; Wang, Y.; Chen, Y.; Peng, W.; Shan, W.; Duan, H. Recent advances in focused ion beam nanofabrication for nanostructures and devices: Fundamentals and applications. Nanoscale 2021, 13, 1529–1565. [Google Scholar] [CrossRef]
- Schneider, M.; Gierak, J.; Marzin, J.Y.; Gayral, B.; Gérard, J.M. Focused ion beam patterning of III–V crystals at low temperature: A method for improving the ion-induced defect localization. J. Vac. Sci. Technol. B Microelectron. Nanometer Struct. Process. Meas. Phenom. 2000, 18, 3162–3167. [Google Scholar] [CrossRef]
- Lucot, D.; Gierak, J.; Ouerghi, A.; Bourhis, E.; Faini, G.; Mailly, D. Deposition and FIB direct patterning of nanowires and nanorings into suspended sheets of graphene. Microelectron. Eng. 2009, 86, 882–884. [Google Scholar] [CrossRef]
- Hasan, M.Z.; Kane, C.L. Colloquium: Topological insulators. Rev. Mod. Phys. 2010, 82, 3045–3067. [Google Scholar] [CrossRef]
- Xia, Y.; Qian, D.; Hsieh, D.; Wray, L.; Pal, A.; Lin, H.; Bansil, A.; Grauer, D.; Hor, Y.S.; Cava, R.J.; et al. Observation of a large-gap topological-insulator class with a single Dirac cone on the surface. Nat. Phys. 2009, 5, 398–402. [Google Scholar] [CrossRef]
- Chen, J.; Qin, H.J.; Yang, F.; Liu, J.; Guan, T.; Qu, F.M.; Zhang, G.H.; Shi, J.R.; Xie, X.C.; Yang, C.L.; et al. Gate-Voltage Control of Chemical Potential and Weak Antilocalization in Bi2Se3. Phys. Rev. Lett. 2010, 105, 176602. [Google Scholar] [CrossRef] [PubMed]
- Zhang, G.; Qin, H.; Chen, J.; He, X.; Lu, L.; Li, Y.; Wu, K. Growth of Topological Insulator Bi2Se3 Thin Films on SrTiO3 with Large Tunability in Chemical Potential. Adv. Funct. Mater. 2011, 21, 2351–2355. [Google Scholar] [CrossRef]
- Wang, H.; Liu, H.; Chang, C.Z.; Zuo, H.; Zhao, Y.; Sun, Y.; Xia, Z.; He, K.; Ma, X.; Xie, X.C.; et al. Crossover between Weak Antilocalization and Weak Localization of Bulk States in Ultrathin Bi2Se3 Films. Sci. Rep. 2014, 4, 5817. [Google Scholar] [CrossRef]
- Yang, F.; Qu, F.; Shen, J.; Ding, Y.; Chen, J.; Ji, Z.; Liu, G.; Fan, J.; Yang, C.; Fu, L.; et al. Proximity-effect-induced superconducting phase in the topological insulator Bi2Se3. Phys. Rev. B 2012, 86, 134504. [Google Scholar] [CrossRef]
- Peng, H.; Lai, K.; Kong, D.; Meister, S.; Chen, Y.; Qi, X.L.; Zhang, S.C.; Shen, Z.X.; Cui, Y. Aharonov–Bohm interference in topological insulator nanoribbons. Nat. Mater. 2010, 9, 225–229. [Google Scholar] [CrossRef]
- Mambakkam, S.V.; Law, S. Fabrication of topological insulator nanostructures. J. Vac. Sci. Technol. B 2020, 38, 055001. [Google Scholar] [CrossRef]
- Bhattacharyya, B.; Sharma, A.; Awana, V.P.S.; Srivastava, A.K.; Senguttuvan, T.D.; Husale, S. Observation of quantum oscillations in FIB fabricated nanowires of topological insulator (Bi2Se3). J. Phys. Condens. Matter 2017, 29, 115602. [Google Scholar] [CrossRef]
- Fukui, N.; Hobara, R.; Hirahara, T.; Hasegawa, S.; Miyatake, Y.; Mizuno, H.; Sasaki, T.; Nagamura, T. In situ microfabrication and measurements of Bi2Se3 ultrathin films in a multichamber system with a focused ion beam, molecular beam epitaxy, and four-tip scanning tunneling microscope. E-J. Surf. Sci. Nanotechnol. 2014, 12, 423–430. [Google Scholar] [CrossRef]
- Friedensen, S.; Mlack, J.T.; Drndić, M. Materials analysis and focused ion beam nanofabrication of topological insulator Bi2Se3. Sci. Rep. 2017, 7, 13466. [Google Scholar] [CrossRef] [PubMed]
- Orgiani, P.; Bigi, C.; Kumar Das, P.; Fujii, J.; Ciancio, R.; Gobaut, B.; Galdi, A.; Sacco, C.; Maritato, L.; Torelli, P.; et al. Structural and electronic properties of Bi2Se3 topological insulator thin films grown by pulsed laser deposition. Appl. Phys. Lett. 2017, 110, 171601. [Google Scholar] [CrossRef]
- Bigi, C.; Orgiani, P.; Nardi, A.; Troglia, A.; Fujii, J.; Panaccione, G.; Vobornik, I.; Rossi, G. Robustness of topological states in Bi2Se3 thin film grown by Pulsed Laser Deposition on (001)-oriented SrTiO3 perovskite. Appl. Surf. Sci. 2019, 473, 190–193. [Google Scholar] [CrossRef]
- Gracia-Abad, R.; Sangiao, S.; Bigi, C.; Kumar Chaluvadi, S.; Orgiani, P.; De Teresa, J.M. Omnipresence of Weak Antilocalization (WAL) in Bi2Se3 Thin Films: A Review on Its Origin. Nanomaterials 2021, 11, 1077. [Google Scholar] [CrossRef]
- Chen, J.; He, X.Y.; Wu, K.H.; Ji, Z.Q.; Lu, L.; Shi, J.R.; Smet, J.H.; Li, Y.Q. Tunable surface conductivity in Bi2Se3 revealed in diffusive electron transport. Phys. Rev. B 2011, 83, 241304. [Google Scholar] [CrossRef]
- Taskin, A.A.; Sasaki, S.; Segawa, K.; Ando, Y. Manifestation of Topological Protection in Transport Properties of Epitaxial Bi2Se3 Thin Films. Phys. Rev. Lett. 2012, 109, 066803. [Google Scholar] [CrossRef]
- Bansal, N.; Kim, Y.S.; Brahlek, M.; Edrey, E.; Oh, S. Thickness-Independent Transport Channels in Topological Insulator Bi2Se3 Thin Films. Phys. Rev. Lett. 2012, 109, 116804. [Google Scholar] [CrossRef] [PubMed]
- Barzola-Quiquia, J.; Lehmann, T.; Stiller, M.; Spemann, D.; Esquinazi, P.; Häussler, P. Topological insulator thin films starting from the amorphous phase-Bi2Se3 as example. J. Appl. Phys. 2015, 117. [Google Scholar] [CrossRef]
- Cen, X.; van Benthem, K. Ion beam heating of kinetically constrained nanomaterials. Ultramicroscopy 2018, 186, 30–34. [Google Scholar] [CrossRef]
- Sharma, P.A.; Lima Sharma, A.L.; Hekmaty, M.; Hattar, K.; Stavila, V.; Goeke, R.; Erickson, K.; Medlin, D.L.; Brahlek, M.; Koirala, N.; et al. Ion beam modification of topological insulator bismuth selenide. Appl. Phys. Lett. 2014, 105, 242106. [Google Scholar] [CrossRef]
- Marín, L.; Morellón, L.; Algarabel, P.A.; Rodríguez, L.A.; Magén, C.; De Teresa, J.M.; Ibarra, M.R. Enhanced Magnetotransport in Nanopatterned Manganite Nanowires. Nano Lett. 2014, 14, 423–428. [Google Scholar] [CrossRef] [PubMed]
- Gierak, J.; Ben Assayag, G.; Schneider, M.; Vieu, C.; Marzin, J. 3D defect distribution induced by focused ion beam irradiation at variable temperatures in a GaAsGaAlAs multi quantum well structure. Microelectron. Eng. 1996, 30, 253–256. [Google Scholar] [CrossRef]
- Clericò, V.; Delgado-Notario, J.A.; Saiz-Bretín, M.; Malyshev, A.V.; Meziani, Y.M.; Hidalgo, P.; Méndez, B.; Amado, M.; Domínguez-Adame, F.; Diez, E. Quantum nanoconstrictions fabricated by cryo-etching in encapsulated graphene. Sci. Rep. 2019, 9, 13572. [Google Scholar] [CrossRef]
- Corbae, P.; Ciocys, S.; Varjas, D.; Kennedy, E.; Zeltmann, S.; Molina-Ruiz, M.; Griffin, S.M.; Jozwiak, C.; Chen, Z.; Wang, L.W.; et al. Observation of spin-momentum locked surface states in amorphous Bi2Se3. Nat. Mater. 2023, 22, 200–206. [Google Scholar] [CrossRef]






| t (nm) | (1010 ion/cm) | (1016 ion/cm2) |
|---|---|---|
| 12.5 | ||
| 40 | ||
| 52 | ||
| 55 |
Disclaimer/Publisher’s Note: The statements, opinions and data contained in all publications are solely those of the individual author(s) and contributor(s) and not of MDPI and/or the editor(s). MDPI and/or the editor(s) disclaim responsibility for any injury to people or property resulting from any ideas, methods, instructions or products referred to in the content. |
© 2023 by the authors. Licensee MDPI, Basel, Switzerland. This article is an open access article distributed under the terms and conditions of the Creative Commons Attribution (CC BY) license (https://creativecommons.org/licenses/by/4.0/).
Share and Cite
Gracia-Abad, R.; Sangiao, S.; Kumar Chaluvadi, S.; Orgiani, P.; Teresa, J.M.D. Ion-Induced Lateral Damage in the Focused Ion Beam Patterning of Topological Insulator Bi2Se3 Thin Films. Materials 2023, 16, 2244. https://doi.org/10.3390/ma16062244
Gracia-Abad R, Sangiao S, Kumar Chaluvadi S, Orgiani P, Teresa JMD. Ion-Induced Lateral Damage in the Focused Ion Beam Patterning of Topological Insulator Bi2Se3 Thin Films. Materials. 2023; 16(6):2244. https://doi.org/10.3390/ma16062244
Chicago/Turabian StyleGracia-Abad, Rubén, Soraya Sangiao, Sandeep Kumar Chaluvadi, Pasquale Orgiani, and José María De Teresa. 2023. "Ion-Induced Lateral Damage in the Focused Ion Beam Patterning of Topological Insulator Bi2Se3 Thin Films" Materials 16, no. 6: 2244. https://doi.org/10.3390/ma16062244
APA StyleGracia-Abad, R., Sangiao, S., Kumar Chaluvadi, S., Orgiani, P., & Teresa, J. M. D. (2023). Ion-Induced Lateral Damage in the Focused Ion Beam Patterning of Topological Insulator Bi2Se3 Thin Films. Materials, 16(6), 2244. https://doi.org/10.3390/ma16062244

