An Image-Based Framework for Measuring the Prestress Level in CFRP Laminates: Experimental Validation
Abstract
1. Introduction
- Intermediate strain values within the range of training dataset values;
- Strain values greater than the range of training dataset values;
- Strain in real images with an accuracy identical to that obtained with synthetic images;
- Strain in real images from training synthetic images.
2. Methodology
- Convolutional layers, to extract features from the images;
- Batch normalizations (BNs), to accelerate training and provide regularization;
- Rectified linear unit (ReLU) activation function, to control the exponential growth in computation; and
- Shortcut, for skip layers in the input of the next step.

3. Experimental Validation
3.1. Set-Up and Material
- CFRP laminate;
- Anchor plates system;
- Hydraulic jacks system;
- Pressure manometer;
- RealSense D435 Camera;
- Control computer;
- Millimeter ruler.
3.2. Data Acquisition and Preparation
3.3. Training, Validation and Testing
3.3.1. Training and Validation Datasets
- Training 1—the first training dataset is solely composed of synthetic images, with a strain range from 0% to 10% with an incremental step of 1%. The dataset has 209 images:
- -
- 11 synthetic images without noise (1 image for each strain value);
- -
- 33 synthetic images with Gaussian noise (3 images for each strain value);
- -
- 33 synthetic images with Pepper noise (3 images for each strain value);
- -
- 33 synthetic images with Poisson noise (3 images for each strain value);
- -
- 33 synthetic images with Salt noise (3 images for each strain value);
- -
- 33 synthetic images with Salt and Pepper noise (3 images for each strain value);
- -
- 33 synthetic images with Speckle noise (3 images for each strain value);
- Training 2—the second training dataset is also composed of synthetic images, with a strain range from 0% to 10%. To make the dataset more realistic and decrease the error for strain prediction, the step between strain was reduced from 1% to 0.1%. The dataset consists of 1919 images:
- -
- 101 synthetic images without noise (1 image for each strain value);
- -
- 303 synthetic images with Gaussian noise (3 images for each strain value);
- -
- 303 synthetic images with Pepper noise (3 images for each strain value);
- -
- 303 synthetic images with Poisson noise (3 images for each strain value);
- -
- 303 synthetic images with Salt noise (3 images for each strain value);
- -
- 303 synthetic images with Salt and Pepper noise (3 images for each strain value);
- -
- 303 synthetic images with Speckle noise (3 images for each strain value);
- Training 3—the dataset is only composed by real images acquired for strain values between 0% and 6%. The images were acquired with a frequency of 2 Hz, and a dataset with 3394 images was produced. It is also important to mention that the real laminate behaved according to what was expected for the levels of strain imposed.
3.3.2. Test Datasets
- Test A—synthetic images deformed for a strain range between 0% and 10% with a step of 1%. More specifically, 132 synthetic images:
- -
- 22 synthetic images with Gaussian noise (2 images for each strain value);
- -
- 22 synthetic images with Pepper noise (2 images for each strain value);
- -
- 22 synthetic images with Poisson noise (2 images for each strain value);
- -
- 22 synthetic images with Salt noise (2 images for each strain value);
- -
- 22 synthetic images with Salt and Pepper noise (2 images for each strain value);
- -
- 22 synthetic images with Speckle noise (2 images for each strain value);
- Test B—synthetic image without noise deformed for a strain between 0% and 10% with a step of 0.1%, with 101 images, one for each strain value;
- Test C—synthetic image without noise deformed for a strain between 0% and 40% with a step of 1%, in a total of 41 images;
- Test D—synthetic image with noise deformed for a strain between 0% and 10% with a step of 0.1%, in a total of 1212 images, two images for each strain value and for each type of noise;
- Test E—real images with strain values between 0% and 6%, in a total of 555 images.
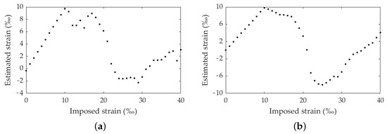
4. Analysis of Results
5. Conclusions
- It allows for measuring intermediate strain levels within the training range. In that sense, the model is able to measure values divisible by 10 between the training values;
- It is not capable of extrapolating for strain levels outside the training range. Thus, it is essential to check the maximum strain to be imposed in real cases, and training the models for higher strain levels;
- For real case scenarios, the error can reach values 10 times higher than using synthetic datasets, i.e, for synthetic datasets, the RMSE value was 0.06% while, for real images, the RMSE value was 0.6%;
- The pre-training with synthetic datasets performed is not able to correctly estimate the strain in real application.
Author Contributions
Funding
Institutional Review Board Statement
Informed Consent Statement
Data Availability Statement
Conflicts of Interest
Abbreviations
| CFRP | Carbon-Fiber-Reinforced Polymer |
| SHM | Structural Health Monitoring |
| ANN | Artificial Neural Network |
| CNN | Convolutional Neural Network |
| RMSE | Root Mean Square Error |
| MAE | Mean Absolute Error |
| FOV | Field Of View |
References
- Valença, J.; Júlio, E. MCrack-Dam: The scale-up of a method to assess cracks on concrete dams by image processing. The case study of Itaipu Dam, at the Brazil–Paraguay border. J. Civ. Struct. Health Monit. 2018, 8, 857–866. [Google Scholar] [CrossRef]
- Rahman, M.M.; Zhao, X.; D’Antino, T.; Focacci, F.; Carloni, C. Fracture Behavior and Digital Image Analysis of GFRP Reinforced Concrete Notched Beams. Materials 2022, 15, 5981. [Google Scholar] [CrossRef] [PubMed]
- Carmo, R.N.F.; Valença, J.; Silva, D.; Dias-Da-Costa, D. Assessing steel strains on reinforced concrete members from surface cracking patterns. Constr. Build. Mater. 2015, 98, 265–275. [Google Scholar] [CrossRef]
- Lee, J.; Lee, K.-C.; Cho, S.; Sim, S.-H. Computer Vision-Based Structural Displacement Measurement Robust to Light-Induced Image Degradation for In-Service Bridges. Sensors 2017, 17, 2317. [Google Scholar] [CrossRef]
- Valença, J.; Carmo, R.N.F. Method for assessing beam column joints in RC structures using photogrammetric computer vision. Struct. Control Health Monit. 2017, 24, e2013. [Google Scholar] [CrossRef]
- Mendes, M.P.; Torres-González, M.; Valença, J.; Silva, A. The Maintenance of Monuments as the Main Trigger to Negative Feelings in Tourists. Buildings 2022, 12, 2153. [Google Scholar] [CrossRef]
- Dai, M.; Ward, W.O.; Meyers, G.; Tingley, D.D.; Mayfield, M. Residential building facade segmentation in the urban environment. Build. Environ. 2021, 199, 107921. [Google Scholar] [CrossRef]
- Salehi, H.; Burgueno, R. Emerging artificial intelligence methods in structural engineering. Eng. Struct. 2018, 171, 170–189. [Google Scholar] [CrossRef]
- Santo, B.-O.; Valença, J.; Costeira, J.P.; Júlio, E. Domain adversarial training for classification of cracking in images of concrete surfaces. AI Civ. Eng. 2022, 1, 8. [Google Scholar] [CrossRef]
- Russell, S.J. Artificial Intelligence: A Modern Approach; Prentice Hall: Englewood Cliffs, NJ, USA, 2010. [Google Scholar]
- Jiang, F.; Guan, Z.; Wang, X.; Li, Z.; Tan, R.; Cheng, Q. Study on Prediction of Compression Performance of Composite Laminates After Impact Based on Convolutional Neural Networks. Appl. Compos. Mater. 2021, 28, 1153–1173. [Google Scholar] [CrossRef]
- Khan, A.; Kim, N.; Shin, J.; Kim, H.-S.; Youn, B.-D. Damage assessment of smart composite structures via machine learning: A review. JMST Adv. 2019, 1, 107–124. [Google Scholar] [CrossRef]
- Ghosh Mondal, T.; Jahanshahi, M.; Wu, R.-T.; Wu, Z. Deep learning-based multi-class damage detection for autonomous post-disaster reconnaissance. Struct. Control Health Monit. 2020, 27, e2507. [Google Scholar] [CrossRef]
- He, K.; Zhang, X.; Ren, S.; Su, J. Deep Residual Learning for Image Recognition. In Proceedings of the IEEE Conference on Computer Vision and Pattern Recognition, Las Vegas, NV, USA, 27–30 June 2016; pp. 770–778. [Google Scholar] [CrossRef]
- Ward, C.M.; Harguess, J.; Hilton, C. Ship classification from overhead imagery using synthetic data and domain adaptation. In Proceedings of the OCEANS 2018 MTS/IEEE Charleston, Charleston, SC, USA, 22–25 October 2018; pp. 1–5. [Google Scholar]
- Lei, L.; Zhu, H.; Gong, Y.; Cheng, Q. A deep residual networks classification algorithm of fetal heart CT images. In Proceedings of the 2018 IEEE international conference on imaging systems and techniques (IST), Krakow, Poland, 16–18 October 2018; pp. 1–4. [Google Scholar]
- Al-Moosawi, N.; Khudeyer, R.S. ResNet-34/DR: A Residual Convolutional Neural Network for the Diagnosis of Diabetic Retinopathy. Informatica 2021, 45, 115–124. [Google Scholar] [CrossRef]
- Yadav, A.; Verma, V.K.; Pal, V.; Singh, S. Automatic detection of COVID 19 infection using deep learning models from X-ray images. IOP Conf. Ser. Mater. Sci. Eng. 2021, 1099, 012050. [Google Scholar] [CrossRef]
- Pavel, M.I.; Rumi, R.I.; Fairooz, F.; Jahan, S.; Hossain, M.A. Deep Residual Learning Approach forPlant Disease Recognition. In Proceedings of the International Conference on Mobile Computing and Sustainable Informatics, Lalitpur, Nepal, 23–23 January 2020; Springer: Cham, Switzerland, 2020; pp. 511–521. [Google Scholar]
- Gao, M.; Qi, D.; Mu, H.; Chen, J. A transfer residual neural network based on ResNet-34 for detection of wood knot defects. Forests 2021, 12, 212. [Google Scholar] [CrossRef]
- Derkowski, W.; Walczak, R. Possibilities of Increasing Effectiveness of RC Structure Strengthening with FRP Materials. Materials 2021, 14, 1387. [Google Scholar] [CrossRef]
- Wysmulski, P. Load Eccentricity of Compressed Composite Z-Columns in Non-Linear State. Materials 2022, 15, 7631. [Google Scholar] [CrossRef]
- Du Béton, F.I. Externally bonded FRP reinforcement for RC structures. Bulletin 2001, 14, 138. [Google Scholar]
- Slaitas, J.; Valivonis, J. Full moment-deflection response and bond stiffness reduction of RC elements strengthened with prestressed FRP materials. Compos. Struct. 2021, 260, 113265. [Google Scholar] [CrossRef]
- Li, X.; Deng, J.; Wang, Y.; Xie, Y.; Liu, T.; Rashid, K. RC beams strengthened by prestressed CFRP plate subjected to sustained loading and continuous wetting condition: Time-dependent prestress loss. Constr. Build. Mater. 2021, 275, 122187. [Google Scholar] [CrossRef]
- Al-Mosawe, A.; Al-Mahaidi, R.; Alwash, D.; Zhao, X.L.; Hosseini, A.; Motavalli, M.; Ghafoori, E. FE analysis of a steel bridge strengthened with CFRP laminates. In Bridge Maintenance, Safety, Management, Life-Cycle Sustainability and Innovations; CRC Press: Boca Raton, FL, USA, 2021; pp. 1424–1430. [Google Scholar]
- Yang, J.; Johansson, M.; Al-Emrani, M.; Haghani, R. Innovative flexural strengthening of RC beams using self-anchored prestressed CFRP plates: Experimental and numerical investigations. Eng. Struct. 2021, 243, 112687. [Google Scholar] [CrossRef]
- Hu, L.; Feng, P.; Gao, W.; Wang, Y. Flexural behavior of light steel purlins reinforced by prestressed CFRP laminates. Thin-Walled Struct. 2021, 174, 109125. [Google Scholar] [CrossRef]
- Doroudi, Y.; Fern, D.; Hosseini, A.; Ghafoori, E. Behavior of cracked steel plates strengthened with adhesively bonded CFRP laminates under fatigue Loading: Experimental and analytical study. Compos. Struct. 2021, 266, 113816. [Google Scholar] [CrossRef]
- Lu, Z.; Li, J.; Xie, J.; Huang, P.; Xue, L. Durability of flexurally strengthened RC beams with prestressed CFRP sheet under wet–dry cycling in a chloride-containing environment. Compos. Struct. 2021, 255, 112869. [Google Scholar] [CrossRef]
- Xian, G.; Guo, R.; Li, C.; Wang, Y. Mechanical performance evolution and life prediction of prestressed CFRP plate exposed to hygrothermal and freeze-thaw environments. Compos. Struct. 2022, 293, 115719. [Google Scholar] [CrossRef]
- Deng, J.; Li, J.; Zhu, M. Fatigue behavior of notched steel beams strengthened by a prestressed CFRP plate subjected to wetting/drying cycles. Compos. Part B Eng. 2022, 230, 109491. [Google Scholar] [CrossRef]
- Valença, J.; Habibu, H.; Araújo, A.G.; Couceiro, M.S.; Júlio, E. Benchmarking for Strain Evaluation in CFRP Laminates Using Computer Vision: Machine Learning versus Deep Learning. Materials 2022, 15, 6310. [Google Scholar] [CrossRef]
- Szegedy, C.; Ioffe, S.; Vanhoucke, V.; Alemi, A. Inception-v4, Inception-ResNet and the Impact of Residual Connections on Learning. In Proceedings of the AAAI’17: Thirty-First AAAI Conference on Artificial Intelligence, San Francisco, CA, USA, 4–9 February 2017; pp. 278–4284. [Google Scholar]
- Hochreiter, S. The Vanishing Gradient Problem During Learning Recurrent Neural Nets and Problem Solutions. Int. J. Uncertain. Fuzziness Knowl.-Based Syst. 1998, 6, 107–116. [Google Scholar] [CrossRef]
- Slepian, D. The One-Sided Barrier Problem for Gaussian Noise. Bell Syst. Tech. J. 1962, 41, 463–501. [Google Scholar] [CrossRef]
- Chan, R.; Ho, C.-W.; Nikolova, M. Salt-and-Pepper Noise Removal by Median-Type Noise Detectors and Detail-Preserving Regularization. IEEE Trans. Image Process. 2005, 14, 1479–1485. [Google Scholar] [CrossRef]
- Racine, R.; Walker, G.; Nadeau, D.; Doyon, R.; Marois, C. Speckle Noise and the Detection of Faint Companions. Publ. Astron. Soc. Pac. 1999, 111, 587–594. [Google Scholar] [CrossRef]
- Le, T.; Chartrand, R.; Asaki, T. A Variational Approach to Reconstructing Images Corrupted by Poisson Noise. J. Math. Imaging Vis. 2007, 27, 257–263. [Google Scholar] [CrossRef]







| Training | RMSE (%) | RMSE (%) |
|---|---|---|
| Dataset | Average of Last 50 Epochs | Last Epoch |
| Training 1 | 0.0760 | 0.0526 |
| Training 2 | 0.1092 | 0.0872 |
| Training 3 | 0.0877 | 0.0600 |
| Training | Test A | Test B | Test C | Test D | Test E | |||||
|---|---|---|---|---|---|---|---|---|---|---|
| Dataset | RMSE | MAE | RMSE | MAE | RMSE | MAE | RMSE | MAE | RMSE | MAE |
| Training 1 | 0.2941 | 0.2901 | 0.3273 | 0.2935 | 21.6852 | 16.6211 | 0.3496 | 0.3190 | 6.5900 | 6.3671 |
| Training 2 | – | – | – | – | 23.8490 | 18.2456 | 0.0554 | 0.0492 | 2.0126 | 1.7882 |
| Training 3 | – | – | – | – | – | – | 9.1181 | 8.6211 | 0.5702 | 0.3597 |
Disclaimer/Publisher’s Note: The statements, opinions and data contained in all publications are solely those of the individual author(s) and contributor(s) and not of MDPI and/or the editor(s). MDPI and/or the editor(s) disclaim responsibility for any injury to people or property resulting from any ideas, methods, instructions or products referred to in the content. |
© 2023 by the authors. Licensee MDPI, Basel, Switzerland. This article is an open access article distributed under the terms and conditions of the Creative Commons Attribution (CC BY) license (https://creativecommons.org/licenses/by/4.0/).
Share and Cite
Valença, J.; Ferreira, C.; Araújo, A.G.; Júlio, E. An Image-Based Framework for Measuring the Prestress Level in CFRP Laminates: Experimental Validation. Materials 2023, 16, 1813. https://doi.org/10.3390/ma16051813
Valença J, Ferreira C, Araújo AG, Júlio E. An Image-Based Framework for Measuring the Prestress Level in CFRP Laminates: Experimental Validation. Materials. 2023; 16(5):1813. https://doi.org/10.3390/ma16051813
Chicago/Turabian StyleValença, Jónatas, Cláudia Ferreira, André G. Araújo, and Eduardo Júlio. 2023. "An Image-Based Framework for Measuring the Prestress Level in CFRP Laminates: Experimental Validation" Materials 16, no. 5: 1813. https://doi.org/10.3390/ma16051813
APA StyleValença, J., Ferreira, C., Araújo, A. G., & Júlio, E. (2023). An Image-Based Framework for Measuring the Prestress Level in CFRP Laminates: Experimental Validation. Materials, 16(5), 1813. https://doi.org/10.3390/ma16051813

