Preparation and Performance of Multilayer Si-B-C-N/Diamond-like Carbon Gradient Films
Abstract
1. Introduction
2. Experimental Section
2.1. Sample Preparation
2.2. Sample Characterization and Performance Testing
3. Results and Discussion
3.1. XPS Analysis
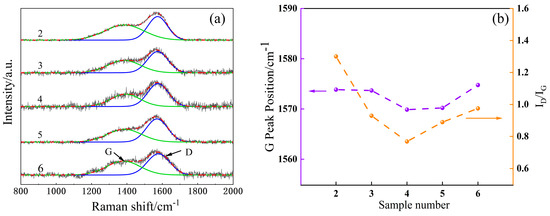
3.2. Raman Spectral Analysis
3.3. Scanning Electron Microscopy (SEM) Analysis
3.4. Optical Performance Analysis
3.5. Mechanical Property Analysis
4. Conclusions
- The introduction of gradient films suppressed the formation of aromatic ring structures and promoted the formation of sp3 phases. As the number of layers increased, the sp3 hybrid bond content of the films initially increased and then decreased. Among the samples prepared, the bilayer Si-B-C-N/DLC gradient film showed the highest sp3 hybrid bond contents.
- The monolayer Si-B-C-N/DLC gradient film exhibited the highest optical transmittance (97%), which could be attributed to its sp3 content and the size effect of clusters within the film.
- Among the films prepared, the bilayer Si-B-C-N/DLC gradient films showed the highest film–base bonding (no film failure at a load of 200 mN) and low and stable friction coefficients (0.18 and 0.07) at two different humidity levels (40% and 80% RH).
Author Contributions
Funding
Institutional Review Board Statement
Informed Consent Statement
Data Availability Statement
Acknowledgments
Conflicts of Interest
References
- Tyagi, A.; Walia, R.; Murtaza, Q.; Pandey, S.M.; Tyagi, P.K.; Bajaj, B. A critical review of diamond like carbon coating for wear resistance applications. Int. J. Refract. Met. Hard Mater. 2018, 78, 107–122. [Google Scholar] [CrossRef]
- Vetter, J. 60 years of DLC coatings: Historical highlights and technical review of cathodic arc processes to synthesize various DLC types, and their evolution for industrial applications. Surf. Coat. Technol. 2014, 257, 213–240. [Google Scholar] [CrossRef]
- Robertson, J. Diamond-like amorphous carbon. Mater. Sci. Eng. R Rep. 2002, 37, 129–281. [Google Scholar] [CrossRef]
- Cui, F.Z.; Li, D.J. A review of investigations on biocompatibility of diamond-like carbon and carbon nitride films. Surf. Coat. Technol. 2000, 131, 481–487. [Google Scholar] [CrossRef]
- Cao, H.; Ye, X.; Li, H.; Qi, F.; Wang, Q.; Ouyang, X.; Zhao, N.; Liao, B. Microstructure, mechanical and tribological properties of multilayer Ti-DLC thick films on Al alloys by filtered cathodic vacuum arc technology. Mater. Des. 2020, 198, 109320. [Google Scholar] [CrossRef]
- Yang, F.E.; Yang, S.Y.; Chang, X.X.; Yang, W.F.; Song, R.G.; Zheng, X.H. Microstructure and properties of DLC/CNx films with different CNx sublayer thicknesses. Surf. Coat. Technol. 2019, 374, 418–423. [Google Scholar] [CrossRef]
- Xu, Z.; Zheng, Y.; Jiang, F.; Leng, Y.; Sun, H.; Huang, N. The microstructure and mechanical properties of multilayer diamond-like carbon films with different modulation ratios. Appl. Surf. Sci. 2013, 264, 207–212. [Google Scholar] [CrossRef]
- Sheeja, D.; Tay, B.K.; Lau, S.P.; Shi, X.; Shi, J.; Li, Y.; Ding, X.; Liu, E.; Sun, Z. Characterization of ta-C films prepared by a two-step filtered vacuum arc deposition technique. Surf. Coat. Technol. 2000, 127, 246–250. [Google Scholar] [CrossRef]
- Wang, D.Y.; Chang, C.L.; Ho, W.Y. Characterization of hydrogen-free diamond-like carbon films deposited by pulsed plasma technology. Thin Solid Film. 1999, 355, 246–251. [Google Scholar] [CrossRef]
- Wang, Z.C.; Aldinger, F.; Riedel, R. Novel silicon-boron-carbon-nitrogen materials thermally stable up to 2200 C. J. Am. Ceram. Soc. 2001, 84, 2179–2183. [Google Scholar] [CrossRef]
- Vishnyakov, V.M.; Ehiasarian, A.P.; Vishnyakov, V.V.; Hovsepian, P.; Colligon, J.S. Amorphous Boron containing silicon carbo-nitrides created by ion sputtering. Surf. Coat. Technol. 2011, 206, 149–154. [Google Scholar] [CrossRef]
- Zeman, P.; Čapek, J.; Čerstvý, R.; Vlček, J. Thermal stability of magnetron sputtered Si–B–C–N materials at temperatures up to 1700 C. Thin Solid Film. 2010, 519, 306–311. [Google Scholar] [CrossRef]
- Vlček, J.; Calta, P.; Steidl, P.; Zeman, P.; Čerstvý, R.; Houška, J.; Kohout, J. Pulsed reactive magnetron sputtering of high-temperature Si–B–C–N films with high optical transparency. Surf. Coat. Technol. 2013, 226, 34–39. [Google Scholar] [CrossRef]
- Onoprienko, A.A.; Ivashchenko, V.I.; Kozak, A.O.; Sinelnichenko, A.K.; Tomila, T.V. Deposition and Characterization of Thin Si-BCN Films by DC Reactive Magnetron Sputtering of Composed Si/B4C Target. J. Superhard Mater. 2019, 41, 90–97. [Google Scholar] [CrossRef]
- Hellgren, N.; Berlind, T.; Gueorguiev, G.K.; Johansson, M.P.; Stafström, S.; Hultman, L. Fullerene-like BCN thin films: A computational and experimental study. Mater. Sci. Eng. B 2004, 113, 242–247. [Google Scholar] [CrossRef]
- Liu, H.; Zhang, Y.; Liu, X.; Duan, W.; Li, M.; Zhou, Q.; Li, S.; Wang, G.; Han, G. Additive manufacturing of nanocellulose/polyborosilazane derived CNFs-SiBCN ceramic metamaterials for ultra-broadband electromagnetic absorption. Chem. Eng. J. 2022, 433, 133743. [Google Scholar] [CrossRef]
- Li, W.; Li, X.; Gong, W.; Chen, P.; Zhu, Y.; Zhu, B. Construction of multiple heterogeneous interface and its effect on microwave absorption of SiBCN ceramics. Ceram. Int. 2019, 46, 7823–7832. [Google Scholar] [CrossRef]
- Nakao, S.; Sonoda, T.; Tsugawa, K.; Choi, J.; Kato, T. Effects of nitrogen gas ratio on composition and microstructure of BCN films prepared by RF magnetron sputtering. Vacuum 2009, 84, 642–647. [Google Scholar] [CrossRef]
- Gao, Z.; Ye, F.; Cheng, L.; Zhao, K.; Liu, R.; Fan, S. A novel strategy to prepare BN interface and its effects on microstructure and properties of SiCw/BN/SiC composites. J. Alloy. Compd. 2020, 858, 158218. [Google Scholar] [CrossRef]
- Wu, C.; Pan, X.; Lin, F.; Cui, Z.; Li, X.; Chen, G.; Liu, X.; He, Y.; He, G.; Hai, Z.; et al. High-temperature electrical properties of polymer-derived ceramic SiBCN thin films fabricated by direct writing. Ceram. Int. 2022, 48, 15293–15302. [Google Scholar] [CrossRef]
- Ferrari, A.C.; Robertson, J. Interpretation of Raman spectra of disordered and amorphous carbon. Phys. Rev. B 2000, 61, 14095–14107. [Google Scholar] [CrossRef]
- Casiraghi, C.; Ferrari, A.C.; Robertson, J. Raman spectroscopy of hydrogenated amorphous carbons. Phys. Rev. B 2005, 72, 085401. [Google Scholar] [CrossRef]
- Habibi, A.; Khoie, S.M.; Mahboubi, F.; Urgen, M. Raman spectroscopy of thin DLC film deposited by plasma electrolysis process. Surf. Coat. Technol. 2017, 309, 945–950. [Google Scholar] [CrossRef]
- Dalibón, E.; Escalada, L.; Simison, S.; Forsich, C.; Heim, D.; Brühl, S. Mechanical and corrosion behavior of thick and soft DLC coatings. Surf. Coat. Technol. 2017, 312, 101–109. [Google Scholar] [CrossRef]
- Piazza, F.; Grambole, D.; Schneider, D.; Casiraghi, C.; Ferrari, A.; Robertson, J. Protective diamond-like carbon coatings for future optical storage disks. Diam. Relat. Mater. 2005, 14, 994–999. [Google Scholar] [CrossRef]
- Donnet, C.; Fontaine, J.; Grill, A.; Le Mogne, T. The role of hydrogen on the friction mechanism of diamond-like carbon films. Tribol. Lett. 2001, 9, 137–142. [Google Scholar] [CrossRef]
- Ahmed, S.F.; Moon, M.W.; Lee, K.R. Effect of silver doping on optical property of diamond like carbon films. Thin Solid Film. 2009, 517, 4035–4038. [Google Scholar] [CrossRef]
- Yahia, I.S.; Salem, G.F.; Abd El-sadek, M.S.; Yakuphanoglu, F. Optical properties of Al-CdO nano-clusters thin films. Superlattices Microstruct. 2013, 64, 178–184. [Google Scholar] [CrossRef]
- Randall, N.X.; Favaro, G.; Frankel, C.H. The effect of intrinsic parameters on the critical load as measured with the scratch test method. Surf. Coat. Technol. 2001, 137, 146–151. [Google Scholar] [CrossRef]
- Wang, K.; Zhou, H.; Zhang, K.; Liu, X.; Feng, X.; Zhang, Y.; Chen, G.; Zheng, Y. Effects of Ti interlayer on adhesion property of DLC films: A first principle study. Diam. Relat. Mater. 2020, 111, 108188. [Google Scholar] [CrossRef]
- Ferrari, A.C.; Robertson, J. Resonant Raman spectroscopy of disordered, amorphous, and diamondlike carbon. Phys. Rev. B 2001, 64, 075414. [Google Scholar] [CrossRef]
- Kim, D.W.; Kim, K.W. Effects of sliding velocity and ambient temperature on the friction and wear of a boundary lubricated, multi-layered DLC coating. Wear 2014, 315, 95–102. [Google Scholar] [CrossRef]
- Kim, D.W.; Kim, K.W. Effects of sliding velocity and normal load on friction and wear characteristics of multi-layered diamond-like carbon (DLC) coating prepared by reactive sputtering. Wear 2013, 297, 722–730. [Google Scholar] [CrossRef]
- Li, W.; Zhao, Y.; He, D.; Song, Q.; Sun, X.; Wang, S.; Zhai, H.; Zheng, W.; Wood, R.J. Optimizing mechanical and tribological properties of DLC/Cr3C2-NiCr duplex coating via tailoring interlayer thickness. Surf. Coat. Technol. 2022, 434, 128198. [Google Scholar] [CrossRef]
- Statuti, R.P.C.C.; Radi, P.A.; Santos, L.V.; Trava-Airoldi, V.J. A tribological study of the hybrid lubrication of DLC films with oil and water. Wear 2009, 267, 1208–1213. [Google Scholar] [CrossRef]
- Zhang, T.F.; Xie, D.; Huang, N.; Leng, Y. The effect of hydrogen on the tribological behavior of diamond like carbon (DLC) coatings sliding against Al2O3 in water environment. Surf. Coat. Technol. 2017, 320, 619–623. [Google Scholar] [CrossRef]
- Sutton, D.C.; Limbert, G.; Stewart, D.; Wood, R.J.K. The friction of diamond-like carbon coatings in a water environment. Friction 2013, 1, 210–221. [Google Scholar] [CrossRef]








| Sample Number | Deposition Parameters | Number of Gradient Film Layers | Sputtering Power Change Rate/W/min | ||||||
|---|---|---|---|---|---|---|---|---|---|
| C Target | Si-B-C-N Target | Pressure/Pa | Argon Flow Rate/m3/s (×10−7) | Temperature/°C | |||||
| Power/W | Time/Min | Power/W | Time/Min | ||||||
| 1 | 130 | 180 | / | / | 1.5 | 7 | 60 | / | / |
| 2 | 130 | 90 | 130 | 90 | 1.5 | 7 | 60 | / | / |
| 3 | 60 → 130 | 90 | 130 → 60 | 90 | 1.5 | 7 | 60 | 1 | 0.77 |
| 4 | 60 → 130 → 60 | 45 × 2 | 130 → 60 → 130 | 45 × 2 | 1.5 | 7 | 60 | 2 | 1.55 |
| 5 | 60 → 130 → 60 → 130 | 30 × 3 | 130 → 60 → 130 → 60 | 30 × 3 | 1.5 | 7 | 60 | 3 | 2.30 |
| 6 | 60 → 130 → 60 → 130 → 60 | 22.5 × 4 | 130 → 60 → 130 → 60 → 130 | 22.5 × 4 | 1.5 | 7 | 60 | 4 | 3.10 |
| Lc1/mN | Lc2/mN | Lc3/mN | Rd/nm | |
|---|---|---|---|---|
| 1 | 31.23 | 156.05 | 179.12 | 353.42 |
| 2 | 150.04 | / | / | 83.37 |
| 3 | 56.23 | / | / | 50.32 |
| 4 | / | / | / | 43.06 |
| 5 | 33.85 | 77.44 | / | 97.88 |
| 6 | 34.25 | 104.96 | 188.09 | 258.41 |
Disclaimer/Publisher’s Note: The statements, opinions and data contained in all publications are solely those of the individual author(s) and contributor(s) and not of MDPI and/or the editor(s). MDPI and/or the editor(s) disclaim responsibility for any injury to people or property resulting from any ideas, methods, instructions or products referred to in the content. |
© 2023 by the authors. Licensee MDPI, Basel, Switzerland. This article is an open access article distributed under the terms and conditions of the Creative Commons Attribution (CC BY) license (https://creativecommons.org/licenses/by/4.0/).
Share and Cite
Duan, J.; Li, M.; Wang, W.; Huang, Z.; Jiang, H.; Ma, Y. Preparation and Performance of Multilayer Si-B-C-N/Diamond-like Carbon Gradient Films. Materials 2023, 16, 1665. https://doi.org/10.3390/ma16041665
Duan J, Li M, Wang W, Huang Z, Jiang H, Ma Y. Preparation and Performance of Multilayer Si-B-C-N/Diamond-like Carbon Gradient Films. Materials. 2023; 16(4):1665. https://doi.org/10.3390/ma16041665
Chicago/Turabian StyleDuan, Jiaqi, Minghan Li, Wenzhi Wang, Ziming Huang, Hong Jiang, and Yanping Ma. 2023. "Preparation and Performance of Multilayer Si-B-C-N/Diamond-like Carbon Gradient Films" Materials 16, no. 4: 1665. https://doi.org/10.3390/ma16041665
APA StyleDuan, J., Li, M., Wang, W., Huang, Z., Jiang, H., & Ma, Y. (2023). Preparation and Performance of Multilayer Si-B-C-N/Diamond-like Carbon Gradient Films. Materials, 16(4), 1665. https://doi.org/10.3390/ma16041665
