Elemental Compositions of Enamel or Dentin in Human and Bovine Teeth Differ from Murine Teeth
Abstract
1. Introduction
2. Materials and Methods
2.1. Specimens
2.1.1. Murine Specimens
2.1.2. Bovine and Human Specimens
2.2. Scanning Electron Microscopy (SEM) and Energy Dispersive X-ray Spectroscopy (EDX)
2.3. Wavelength Dispersive X-ray Spectroscopy (WDX)
2.4. Statistical Analysis
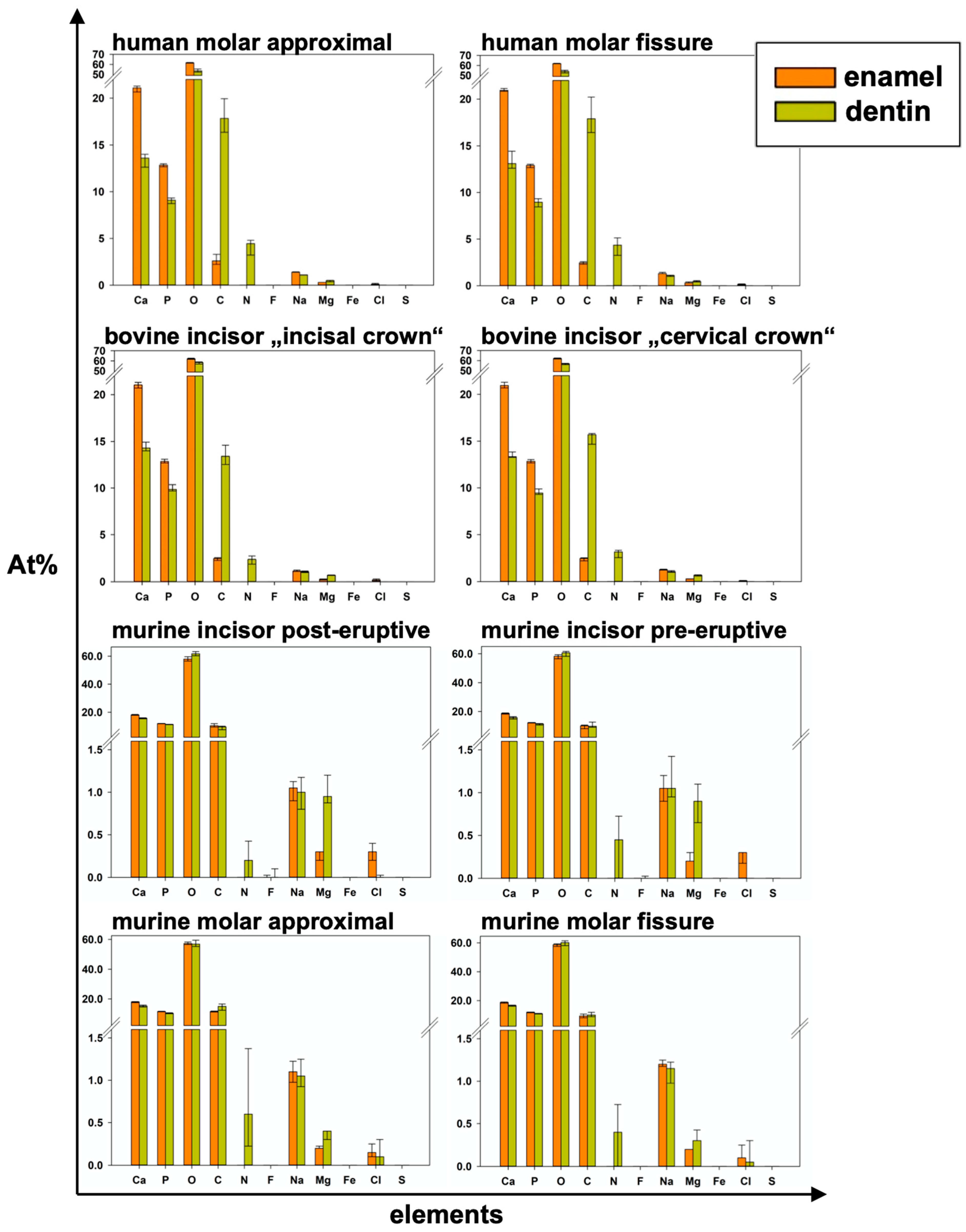
3. Results
4. Discussion
4.1. Discussion of Materials and Study Design
4.2. Discussion of the Results
5. Conclusions
Author Contributions
Funding
Institutional Review Board Statement
Informed Consent Statement
Data Availability Statement
Acknowledgments
Conflicts of Interest
References
- Bahdila, D.; Markowitz, K.; Pawar, S.; Chavan, K.; Fine, D.H.; Velliyagounder, K. The Effect of Iron Deficiency Anemia on Experimental Dental Caries in Mice. Arch. Oral. Biol. 2019, 105, 13–19. [Google Scholar] [CrossRef] [PubMed]
- Kamp, E.M.; Drost, J.; in’t Veld, J.H.; van Palenstein Helderman, W.H.; Dirks, O.B. Reproducibility of Dental Caries in Balb/c Mice Induced by the Bacterium Streptococcus Mutans. Arch. Oral. Biol. 1983, 28, 153–158. [Google Scholar] [CrossRef] [PubMed]
- Yassen, G.H.; Platt, J.A.; Hara, A.T. Bovine Teeth as Substitute for Human Teeth in Dental Research: A Review of Literature. J. Oral. Sci. 2011, 53, 273–282. [Google Scholar] [CrossRef]
- Bowen, W.H. Rodent Model in Caries Research. Odontology 2013, 101, 9–14. [Google Scholar] [CrossRef]
- Tucker, A.S.; Fraser, G.J. Evolution and Developmental Diversity of Tooth Regeneration. Semin. Cell Dev. Biol. 2014, 25, 71–80. [Google Scholar] [CrossRef]
- Wegehaupt, F.; Gries, D.; Wiegand, A.; Attin, T. Is Bovine Dentine an Appropriate Substitute for Human Dentine in Erosion/Abrasion Tests? J. Oral Rehabil. 2008, 35, 390–394. [Google Scholar] [CrossRef] [PubMed]
- da Silva, J.M.F.; Rodrigues, J.R.; Camargo, C.H.R.; Fernandes, V.V.B.; Hiller, K.; Schweikl, H.; Schmalz, G. Effectiveness and Biological Compatibility of Different Generations of Dentin Adhesives. Clin. Oral Investig. 2013, 18, 607–613. [Google Scholar] [CrossRef]
- Arends, J.; Jongebloed, W.L. Crystallites Dimensions of Enamel. J. Biol. Buccale 1978, 6, 161–171. [Google Scholar] [PubMed]
- Risnes, S. The Prism Pattern of Rat Molar Enamel: A Scanning Electron Microscope Study. Am. J. Anat. 1979, 155, 245–257. [Google Scholar] [CrossRef] [PubMed]
- Goldberg, M.; Kellermann, O.; Dimitrova-Nakov, S.; Harichane, Y.; Baudry, A. Comparative Studies between Mice Molars and Incisors Are Required to Draw an Overview of Enamel Structural Complexity. Front. Physiol. 2014, 5, 359. [Google Scholar] [CrossRef]
- Habelitz, S.; Zartoshtimanesh, S.; Balooch, M.; Marshall, S.J.; Marshall, G.W.; DenBesten, P.K. Structure and Properties of Murine and Human Dentin. MRS Online Proc. Libr. 2005, 874, L5.18. [Google Scholar] [CrossRef]
- Schmalz, G.; Hiller, K.-A.; Nunez, L.J.; Stoll, J.; Weis, K. Permeability Characteristics of Bovine and Human Dentin under Different Pretreatment Conditions. J. Endodont. 2001, 27, 23–30. [Google Scholar] [CrossRef]
- Zhang, C.; Song, Y.; Bian, Z. Ultrastructural Analysis of the Teeth Affected by Amelogenesis Imperfecta Resulting from FAM83H Mutations and Review of the Literature. Oral Surg. Oral Med. Oral Pathol. Oral Radiol. 2015, 119, e69–e76. [Google Scholar] [CrossRef]
- Pugach, M.K.; Strother, J.; Darling, C.L.; Fried, D.; Gansky, S.A.; Marshall, S.J.; Marshall, G.W. Dentin Caries Zones: Mineral, Structure, and Properties. J. Dent. Res. 2008, 88, 71–76. [Google Scholar] [CrossRef]
- Feagin, F.; Koulourides, T.; Pigman, W. The Characterization of Enamel Surface Demineralization, Remineralization, and Associated Hardness Changes in Human and Bovine Material. Arch. Oral Biol. 1969, 14, 1407–1417. [Google Scholar] [CrossRef]
- Thomas, R.Z.; Ruben, J.L.; de Vries, J.; ten Bosch, J.J.; Huysmans, M.C.D.N.J.M. Transversal Wavelength-Independent Microradiography, a Method for Monitoring Caries Lesions over Time, Validated with Transversal Microradiography. Caries Res. 2006, 40, 281–291. [Google Scholar] [CrossRef] [PubMed]
- Schwendicke, F.; Tzschoppe, M.; Paris, S. Radiographic Caries Detection: A Systematic Review and Meta-Analysis. J. Dent. 2015, 43, 924–933. [Google Scholar] [CrossRef]
- Hoskin, E.R.; Keenan, A.V. Can We Trust Visual Methods Alone for Detecting Caries in Teeth? Evid. Based Dent. 2016, 17, 41–42. [Google Scholar] [CrossRef] [PubMed]
- Guentsch, A.; Fahmy, M.D.; Wehrle, C.; Nietzsche, S.; Popp, J.; Watts, D.C.; Kranz, S.; Krafft, C.; Sigusch, B.W. Effect of Biomimetic Mineralization on Enamel and Dentin: A Raman and EDX Analysis. Dent. Mater. 2019, 35, 1300–1307. [Google Scholar] [CrossRef]
- Eggert, F. EDX-Spectra Simulation in Electron Probe Microanalysis. Optimization of Excitation Conditions and Detection Limits. Microchim. Acta 2006, 155, 129–136. [Google Scholar] [CrossRef]
- Scimeca, M.; Bischetti, S.; Lamsira, H.K.; Bonfiglio, R.; Bonanno, E. Energy Dispersive X-Ray (EDX) Microanalysis: A Powerful Tool in Biomedical Research and Diagnosis. Eur. J. Histochem. 2018, 62, 2841. [Google Scholar] [CrossRef] [PubMed]
- Rafaelsen, J.; Nylese, T.; Bolorizadeh, M.; Carlino, V. Windowless, Silicon Nitride Window and Polymer Window EDS Detectors: Changes in Sensitivity and Detectable Limits. Microsc. Microanal. 2015, 21, 1645–1646. [Google Scholar] [CrossRef]
- Scholz, K.J.; Hiller, K.-A.; Ebensberger, H.; Ferstl, G.; Pielnhofer, F.; Tauböck, T.T.; Becker, K.; Buchalla, W. Surface Accumulation of Cerium, Self-Assembling Peptide, and Fluoride on Sound Bovine Enamel. Bioengineering 2022, 9, 760. [Google Scholar] [CrossRef]
- Jung, D.J.; Al-Ahmad, A.; Follo, M.; Spitzmüller, B.; Hoth-Hannig, W.; Hannig, M.; Hannig, C. Visualization of Initial Bacterial Colonization on Dentine and Enamel in Situ. J. Microbiol. Meth. 2010, 81, 166–174. [Google Scholar] [CrossRef] [PubMed]
- Desoutter, A.; Slimani, A.; Tassery, H.; Cuisinier, F.; Sauro, S.; Salehi, H.; Panayotov, I. Confocal Raman Data Analysis of Tufts and Spindles at the Human Dentin-Enamel Junction. Arch. Oral Biol. 2021, 131, 105262. [Google Scholar] [CrossRef]
- Xue, J.; Zavgorodniy, A.V.; Kennedy, B.J.; Swain, M.V.; Li, W. X-ray Microdiffraction, TEM Characterization and Texture Analysis of Human Dentin and Enamel. J. Microsc. 2013, 251, 144–153. [Google Scholar] [CrossRef] [PubMed]
- de Dios Teruel, J.; Alcolea, A.; Hernández, A.; Ruiz AJ, O. Comparison of Chemical Composition of Enamel and Dentine in Human, Bovine, Porcine and Ovine Teeth. Arch. Oral Biol. 2015, 60, 768–775. [Google Scholar] [CrossRef]
- Scholz, K.J.; Bittner, A.; Cieplik, F.; Hiller, K.; Schmalz, G.; Buchalla, W.; Federlin, M. Micromorphology of the Adhesive Interface of Self-Adhesive Resin Cements to Enamel and Dentin. Materials 2021, 14, 492. [Google Scholar] [CrossRef]
- Scholz, K.J.; Federlin, M.; Hiller, K.; Ebensberger, H.; Ferstl, G.; Buchalla, W. EDX-Analysis of Fluoride Precipitation on Human Enamel. Sci. Rep. 2019, 9, 7. [Google Scholar] [CrossRef]
- Kugler, V.; Bean, S.; Spring, M. Quantitative EDX Analysis of Smalt Pigment in Sixteenth and Eighteenth Century Paintings. Microsc. Microanal. 2013, 19, 1428–1429. [Google Scholar] [CrossRef]
- Hua, Y. Estimating Method for Electron Beam Accelerating Voltage Used in Energy-Dispersive X-Ray Microanalysis: Application in Failure Analysis of Wafer Fabrication. Instrum. Sci. Technol. 2004, 32, 115–126. [Google Scholar] [CrossRef]
- Soares, F.Z.M.; Follak, A.; da Rosa, L.S.; Montagner, A.F.; Lenzi, T.L.; Rocha, R.O. Bovine Tooth Is a Substitute for Human Tooth on Bond Strength Studies: A Systematic Review and Meta-Analysis of In Vitro Studies. Dent. Mater. 2016, 32, 1385–1393. [Google Scholar] [CrossRef]
- Culp, D.J.; Quivey, R.Q.; Bowen, W.H.; Fallon, M.A.; Pearson, S.K.; Faustoferri, R. A Mouse Caries Model and Evaluation of Aqp5–/– Knockout Mice. Caries Res. 2005, 39, 448–454. [Google Scholar] [CrossRef] [PubMed]
- Bui, A.T.; Houari, S.; Loiodice, S.; Bazin, D.; Sadoine, J.; Roubier, N.; Vennat, E.; Tran, T.T.; Berdal, A.; Ricort, J.-M.; et al. Use of Dental Defects Associated with Low-Dose Di(2-Ethylhexyl)Phthalate as an Early Marker of Exposure to Environmental Toxicants. Environ. Health Perspect. 2022, 130, 067003. [Google Scholar] [CrossRef] [PubMed]
- Arnold, W.H.; Gaengler, P. Quantitative Analysis of the Calcium and Phosphorus Content of Developing and Permanent Human Teeth. Ann. Anat. Anat. Anz. 2007, 189, 183–190. [Google Scholar] [CrossRef]
- Mao, J.; Wang, L.; Jiang, Y.; Cheng, H.; Li, N.; Shi, S.; Fan, F.; Ma, J.; Huang, S. Nanoscopic Wear Behavior of Dentinogenesis Imperfecta Type II Tooth Dentin. J. Mech. Behav. Biomed. 2021, 120, 104585. [Google Scholar] [CrossRef]
- Llena, C.; Esteve, I.; Forner, L. Effects of In-Office Bleaching on Human Enamel and Dentin. Morphological and Mineral Changes. Ann Anat Anat. Anz. 2018, 217, 97–102. [Google Scholar] [CrossRef]
- Hashemi, Z.K.; Oshida, Y.; Deely, J.J.; Ki, Y. Ca/P Mol Ratio of Cries-Affected Dentin Structures. Bio-Med. Mater. Eng. 2005, 15, 251–260. [Google Scholar]
- Wang, R.; Zhao, D.; Wang, Y. Characterization of Elemental Distribution across Human Dentin-enamel Junction by Scanning Electron Microscopy with Energy-dispersive X-ray Spectroscopy. Microsc. Res. Technol. 2021, 84, 881–890. [Google Scholar] [CrossRef]
- Palti, D.G.; Machado, M.A.D.A.M.; Silva, S.M.B.D.; Abdo, R.C.C.; Lima, J.E.D.O. Evaluation of Superficial Microhardness in Dental Enamel with Different Eruptive Ages. Braz. Oral Res. 2008, 22, 311–315. [Google Scholar] [CrossRef] [PubMed]









| Ca | P | O | C | N | F | Na | Mg | Cl | Ca/P-Ratio | Ca/N-Ratio | |||
|---|---|---|---|---|---|---|---|---|---|---|---|---|---|
| Human molar | Enamel | Median | 21.05 | 12.90 | 61.80 | 2.50 | 0.00 | 0.00 | 1.40 | 0.30 | 0.10 | 1.63 | – |
| 25–75 | 20.83–21.25 | 12.70–13.00 | 61.43–62.05 | 2.33–2.78 | 0.00–0.00 | 0.00–0.00 | 1.30–1.40 | 0.30–0.30 | 0.10–0.20 | 1.62–1.65 | – | ||
| Dentin | Median | 13.40 | 9.05 | 53.65 | 17.90 | 4.45 | 0.00 | 1.10 | 0.50 | 0.00 | 1.49 | 3.04 | |
| 25–75 | 12.80–14.13 | 8.58–9.28 | 52.73–55.25 | 16.63–20.10 | 3.30–5.00 | 0.00–0.00 | 1.03–1.10 | 0.40–0.50 | 0.00–0.00 | 1.45–1.53 | 2.53–4.28 | ||
| Bovine incisor | Enamel | Median | 21.00 | 12.85 | 62.20 | 2.45 | 0.00 | 0.00 | 1.20 | 0.30 | 0.10 | 1.63 | – |
| 25–75 | 20.73–21.28 | 12.70–12.98 | 61.73–62.58 | 2.23–2.50 | 0.00–0.00 | 0.00–0.00 | 1.10–1.28 | 0.20–0.30 | 0.10–0.20 | 1.61–1.64 | – | ||
| Dentin | Median | 14.00 | 9.70 | 57.15 | 14.70 | 2.65 | 0.00 | 1.05 | 0.70 | 0.00 | 1.44 | 5.16 | |
| 25–75 | 13.33–14.55 | 9.38–10.13 | 56.30–58.60 | 13.15–15.75 | 2.33–3.23 | 0.00–0.00 | 1.00–1.10 | 0.63–0.70 | 0.00–0.00 | 1.41–1.46 | 4.15–6.34 | ||
| Murine incisor | Enamel | Median | 18.35 | 12.00 | 58.25 | 10.25 | 0.00 | 0.00 | 1.05 | 0.25 | 0.30 | 1.53 | – |
| 25–75 | 18.00–18.75 | 11.83–12.28 | 56.83–59.43 | 8.80–10.88 | 0.00–0.00 | 0.00–0.00 | 0.90–1.18 | 0.20–0.30 | 0.20–0.30 | 1.51–1.54 | – | ||
| Dentin | Median | 15.75 | 11.35 | 60.80 | 9.70 | 0.35 | 0.00 | 1.05 | 0.95 | 0.00 | 1.39 | 34.60 | |
| 25–75 | 15.43–16.08 | 11.13–11.48 | 59.53–62.38 | 8.33–10.45 | 0.00–0.50 | 0.00–0.08 | 0.83–1.33 | 0.80–1.15 | 0.00–0.00 | 1.36–1.42 | 25.41–49.00 | ||
| Murine molar | Enamel | Median | 18.30 | 11.70 | 57.65 | 10.85 | 0.00 | 0.00 | 1.20 | 0.20 | 0.10 | 1.57 | – |
| 25–75 | 17.85–18.88 | 11.50–12.00 | 57.18–58.85 | 9.03–11.60 | 0.00–0.00 | 0.00–0.00 | 1.10–1.20 | 0.20–0.20 | 0.10–0.20 | 1.53–1.57 | – | ||
| Dentin | Median | 16.05 | 10.80 | 58.55 | 12.20 | 0.45 | 0.00 | 1.10 | 0.35 | 0.05 | 1.49 | 27.33 | |
| 25–75 | 14.95–16.73 | 10.33–11.00 | 56.45–60.90 | 9.63–15.68 | 0.08–1.03 | 0.00–0.00 | 1.00–1.20 | 0.30–0.40 | 0.00–0.20 | 1.45–1.50 | 13.17–46.38 |
| Species, Tooth | Ca | P | O | C | N | F | Na | Mg | Fe | Cl | S | Ca/P-Ratio |
|---|---|---|---|---|---|---|---|---|---|---|---|---|
| human molar | <0.001 | <0.001 | <0.001 | <0.001 | <0.001 | NS § | <0.001 | <0.001 | NS | <0.001 | NS | <0.001 |
| bovine incisor | <0.001 | <0.001 | <0.001 | <0.001 | <0.001 | NS | 0.012 | <0.001 | NS | <0.001 | NS | <0.001 |
| murine incisor | <0.001 | <0.001 | 0.001 | NS | 0.005 | NS | NS | <0.001 | NS | <0.001 | NS | <0.001 |
| murine molar | <0.001 | <0.001 | NS | NS | 0.001 | NS | NS | <0.001 | NS | NS | NS | <0.001 |
| Species, Tooth | area | Ca | P | O | C | N | F | Na | Mg | Fe | Cl | S | Ca/P-Ratio |
|---|---|---|---|---|---|---|---|---|---|---|---|---|---|
| human molar | approximal | 0.002 | 0.002 | 0.002 | 0.002 | 0.002 | NS § | 0.002 | 0.015 | NS | 0.002 | NS | 0.002 |
| fissure | 0.002 | 0.002 | 0.002 | 0.002 | 0.002 | NS | 0.002 | 0.015 | NS | 0.002 | NS | 0.002 | |
| bovine incisor | incisal crown | 0.002 | 0.002 | 0.002 | 0.002 | 0.002 | NS | NS | 0.002 | NS | 0.002 | NS | 0.002 |
| cervical crown | 0.002 | 0.002 | 0.002 | 0.002 | 0.002 | NS | 0.026 | 0.002 | NS | 0.002 | NS | 0.002 | |
| murine incisor | post-eruptive | 0.002 | 0.002 | 0.009 | NS | NS | NS | NS | 0.002 | NS | 0.002 | NS | 0.002 |
| pre-eruptive | 0.002 | 0.002 | NS | NS | NS | NS | NS | 0.002 | NS | 0.002 | NS | 0.004 | |
| murine molar | approximal | 0.002 | 0.002 | NS | NS | 0.015 | NS | NS | 0.004 | NS | NS | NS | 0.002 |
| fissure | 0.002 | 0.002 | NS | NS | NS | NS | NS | 0.002 | NS | NS | NS | 0.009 |
| Compared Species | Tissue | Ca | P | O | C | N | F | Na | Mg | Fe | Cl | S | Ca/P-Ratio | Ca/N-Ratio |
|---|---|---|---|---|---|---|---|---|---|---|---|---|---|---|
| Human molar vs. bovine incisor | Enamel | NS § | NS | NS | NS | NS | NS | <0.001 | NS | NS | NS | NS | NS | - |
| Dentin | NS | <0.001 | <0.001 | <0.001 | <0.001 | NS | NS | <0.001 | NS | NS | NS | 0.005 | <0.001 | |
| Human molar vs. murine incisor | Enamel | <0.001 | <0.001 | <0.001 | <0.001 | NS | NS | <0.001 | 0.014 | NS | <0.001 | NS | <0.001 | - |
| Dentin | <0.001 | <0.001 | <0.001 | <0.001 | <0.001 | NS | NS | <0.001 | NS | NS | NS | <0.001 | <0.001 | |
| Human molar vs. murine molar | Enamel | <0.001 | <0.001 | <0.001 | <0.001 | NS | NS | <0.001 | <0.001 | NS | NS | NS | <0.001 | - |
| Dentin | <0.001 | <0.001 | <0.001 | <0.001 | <0.001 | NS | NS | 0.006 | NS | 0.039 | NS | NS | <0.001 | |
| Bovine incisor vs. murine Incisor | Enamel | <0.001 | <0.001 | <0.001 | <0.001 | NS | NS | 0.01 | NS | NS | 0.006 | NS | <0.001 | - |
| Dentin | <0.001 | <0.001 | <0.001 | <0.001 | <0.001 | NS | NS | <0.001 | NS | NS | NS | 0.006 | <0.001 | |
| Bovine incisor vs. murine molar | Enamel | <0.001 | <0.001 | <0.001 | <0.001 | NS | NS | NS | 0.014 | NS | NS | NS | <0.001 | - |
| Dentin | <0.001 | <0.001 | NS | <0.001 | <0.001 | NS | NS | <0.001 | NS | 0.039 | NS | 0.007 | <0.001 | |
| murine incisor vs. murine molar | Enamel | NS | 0.017 | NS | NS | NS | NS | NS | NS | NS | 0.024 | NS | 0.007 | - |
| Dentin | NS | 0.001 | NS | NS | NS | NS | NS | <0.001 | NS | NS | NS | <0.001 | NS |
| Compared Areas | Tissue | Ca | P | O | C | N | F | Na | Mg | Fe | Cl | S | Ca/P-Ratio | Ca/N-Ratio |
|---|---|---|---|---|---|---|---|---|---|---|---|---|---|---|
| human approx. vs. fissure | Enamel | NS § | NS | NS | NS | NS | NS | NS | NS | NS | NS | NS | NS | - |
| Dentin | NS | NS | NS | NS | NS | NS | NS | NS | NS | NS | NS | NS | NS | |
| bovine incisal crown vs. cervical crown | Enamel | NS | NS | NS | NS | NS | NS | 0.015 | NS | NS | NS | NS | NS | - |
| Dentin | 0.041 | NS | NS | 0.026 | 0.026 | NS | NS | NS | NS | NS | NS | NS | 0.015 | |
| murine incisor post- vs. pre-eruptive | Enamel | 0.041 | 0.026 | NS | NS | NS | NS | NS | NS | NS | NS | NS | NS | - |
| Dentin | NS | NS | NS | NS | NS | NS | NS | NS | NS | NS | NS | NS | NS | |
| murine molar approx. vs. fissure | Enamel | 0.041 | NS | NS | 0.009 | NS | NS | NS | NS | NS | NS | NS | NS | - |
| Dentin | 0.015 | 0.009 | NS | 0.041 | NS | NS | NS | NS | NS | NS | NS | NS | NS |
Disclaimer/Publisher’s Note: The statements, opinions and data contained in all publications are solely those of the individual author(s) and contributor(s) and not of MDPI and/or the editor(s). MDPI and/or the editor(s) disclaim responsibility for any injury to people or property resulting from any ideas, methods, instructions or products referred to in the content. |
© 2023 by the authors. Licensee MDPI, Basel, Switzerland. This article is an open access article distributed under the terms and conditions of the Creative Commons Attribution (CC BY) license (https://creativecommons.org/licenses/by/4.0/).
Share and Cite
Möhring, S.; Cieplik, F.; Hiller, K.-A.; Ebensberger, H.; Ferstl, G.; Hermens, J.; Zaparty, M.; Witzgall, R.; Mansfeld, U.; Buchalla, W.; et al. Elemental Compositions of Enamel or Dentin in Human and Bovine Teeth Differ from Murine Teeth. Materials 2023, 16, 1514. https://doi.org/10.3390/ma16041514
Möhring S, Cieplik F, Hiller K-A, Ebensberger H, Ferstl G, Hermens J, Zaparty M, Witzgall R, Mansfeld U, Buchalla W, et al. Elemental Compositions of Enamel or Dentin in Human and Bovine Teeth Differ from Murine Teeth. Materials. 2023; 16(4):1514. https://doi.org/10.3390/ma16041514
Chicago/Turabian StyleMöhring, Steffen, Fabian Cieplik, Karl-Anton Hiller, Helga Ebensberger, Gerlinde Ferstl, Joshua Hermens, Melanie Zaparty, Ralph Witzgall, Ulrich Mansfeld, Wolfgang Buchalla, and et al. 2023. "Elemental Compositions of Enamel or Dentin in Human and Bovine Teeth Differ from Murine Teeth" Materials 16, no. 4: 1514. https://doi.org/10.3390/ma16041514
APA StyleMöhring, S., Cieplik, F., Hiller, K.-A., Ebensberger, H., Ferstl, G., Hermens, J., Zaparty, M., Witzgall, R., Mansfeld, U., Buchalla, W., & Scholz, K. J. (2023). Elemental Compositions of Enamel or Dentin in Human and Bovine Teeth Differ from Murine Teeth. Materials, 16(4), 1514. https://doi.org/10.3390/ma16041514

