Corrosion Resistance of AISI 442 and AISI 446 Ferritic Stainless Steels as a Support for PEMWE Bipolar Plates
Abstract
:1. Introduction
2. Materials and Methods
3. Results and Discussion
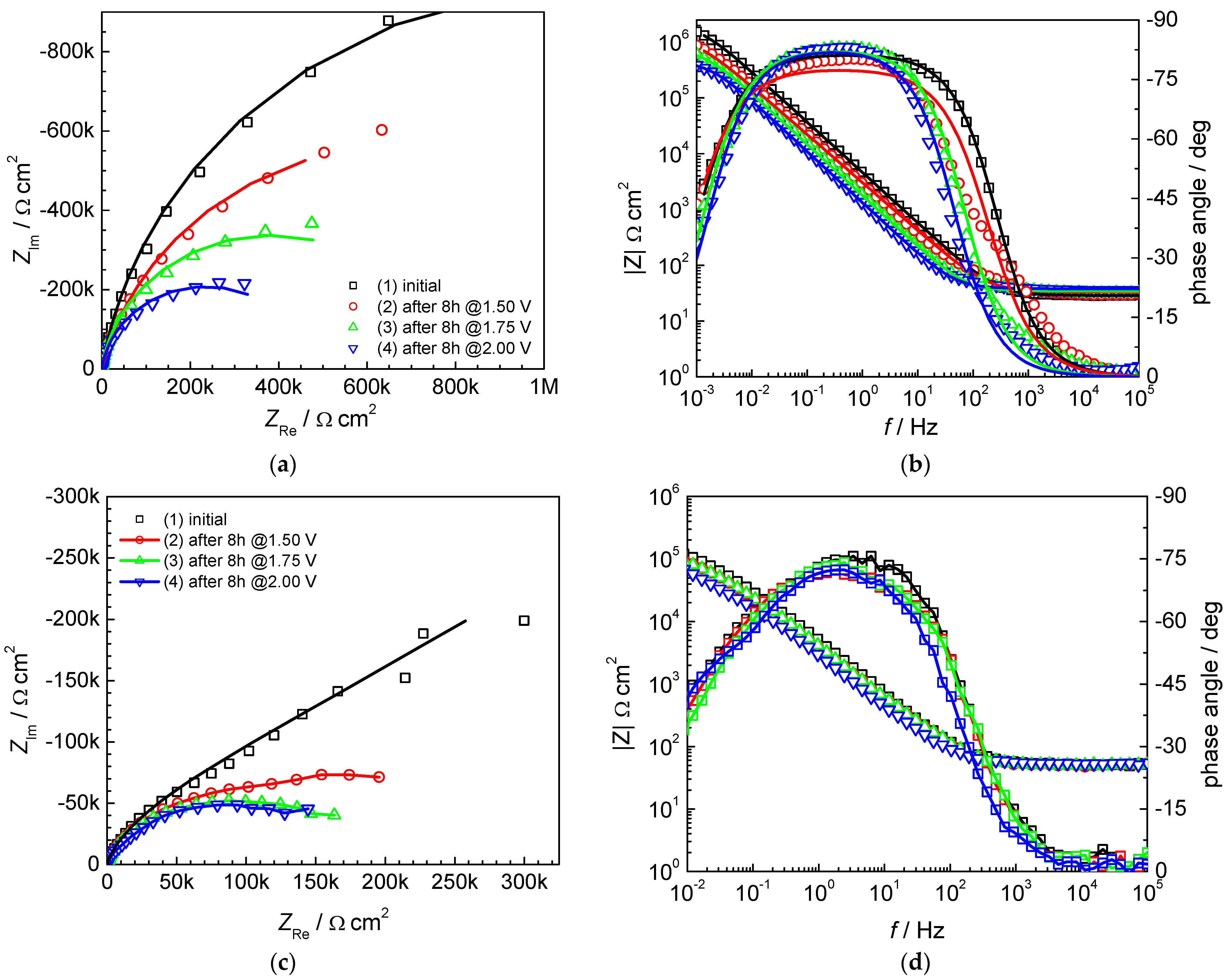
3.1. Electrochemical Characterization
3.2. Surface Morphology Characterization
4. Conclusions
Author Contributions
Funding
Institutional Review Board Statement
Informed Consent Statement
Data Availability Statement
Conflicts of Interest
References
- Mazloomi, K.; Gomes, C. Hydrogen as an energy carrier: Prospects and challenges. Renew. Sustain. Energy Rev. 2012, 16, 3024–3033. [Google Scholar] [CrossRef]
- Yang, G.; Mo, J.; Kang, Z.; List, F.A.; Green, J.B.; Babu, S.S.; Zhang, F.-Y. Additive manufactured bipolar plate for high-efficiency hydrogen production in proton exchange membrane electrolyzer cells. Int. J. Hydrogen Energy 2017, 42, 14734–14740. [Google Scholar] [CrossRef]
- Santhanam, K.S.V.; Press, R.J.; Miri, M.J.; Bailey, A.V.; Takacs, G.A. Introduction to Hydrogen Technology; John Wiley & Sons: Hoboken, NJ, USA, 2009; p. 198. [Google Scholar]
- Wittstadt, U. Electrolysis: Hydrogen production using electricity. In Hydrogen as a Future Energy Carrier; Züttel, A., Borgschulte, A., Schlapbach, L., Eds.; Wiley-VCH: Weinheim, Germany, 2008; p. 155. [Google Scholar]
- Millet, P.; Ngameni, R.; Grigoriev, S.A.; Mbemba, N.; Brisset, F.; Ranjbari, A.; Etiévant, C. PEM water electrolyzers: From electrocatalysis to stack development. Int. J. Hydrogen Energy 2010, 35, 5043–5052. [Google Scholar] [CrossRef]
- Xu, C.; Ma, L.; Li, J.; Zhao, W.; Gan, Z. Synthesis and characterization of novel high-performance composite electrocatalysts for the oxygen evolution in solid polymer electrolyte (SPE) water electrolysis. Int. J. Hydrogen Energy 2012, 37, 2985–2992. [Google Scholar] [CrossRef]
- Hernández-Gómez, A.; Ramirez, V.; Guilbert, D. Investigation of PEM electrolyzer modeling: Electrical domain, efficiency, and specific energy consumption. Int. J. Hydrogen Energy 2020, 45, 14625–14639. [Google Scholar] [CrossRef]
- Carmo, M.; Fritz, D.L.; Mergel, J.; Stolten, D. A comprehensive review on PEM water electrolysis. Int. J. Hydrogen Energy 2013, 38, 4901–4934. [Google Scholar] [CrossRef]
- Grigoriev, S.A.; Porembsky, V.I.; Fateev, V.N. Pure hydrogen production by PEM electrolysis for hydrogen energy. Int. J. Hydrogen Energy 2006, 31, 171–175. [Google Scholar] [CrossRef]
- Gago, A.S.; Ansar, S.A.; Saruhan, B.; Schultz, U.; Lettenmeier, P.; Cañas, N.A.; Gazdzicki, P.; Morawietz, T.; Hiesgen, R.; Arnold, J.; et al. Protective coatings on stainless steel bipolar plates for proton exchange membrane (PEM) electrolysers. J. Power Sources 2016, 307, 815–825. [Google Scholar] [CrossRef]
- Lædre, S.; Kongstein, O.E.; Oedegaard, A.; Karoliussen, H.; Seland, F. Materials for Proton Exchange Membrane water electrolyzer bipolar plates. Int. J. Hydrogen Energy 2017, 42, 2713–2723. [Google Scholar] [CrossRef]
- Lettenmeier, P.; Wang, R.; Abouatallah, R.; Saruhan, B.; Freitag, O.; Gazdzicki, P.; Morawietz, T.; Hiesgen, R.; Gago, A.S.; Friedrich, K.A. Low-Cost and Durable Bipolar Plates for Proton Exchange Membrane Electrolyzers. Sci. Rep. 2017, 7, 44035. [Google Scholar] [CrossRef]
- Kellenberger, A.; Vaszilcsin, N.; Duca, D.; Dan, M.L.; Duteanu, N.; Stiber, S.; Morawietz, T.; Biswas, I.; Ansar, S.A.; Gazdzicki, P.; et al. Towards Replacing Titanium with Copper in the Bipolar Plates for Proton Exchange Membrane Water Electrolysis. Materials 2022, 15, 1628. [Google Scholar] [CrossRef]
- US Department of Energy, Hydrogen and Fuel Cell Technologies Office. Multi-Year Research, Development and Demonstration Plan, 2014. Section 3.4. Fuel Cells, p.22. Available online: https://www.energy.gov/sites/default/files/2017/05/f34/fcto_myrdd_fuel_cells.pdf (accessed on 5 December 2022).
- Lædre, S.; Kongstein, O.E.; Oedegaard, A.; Seland, F.; Karoliussen, H. Measuring In Situ Interfacial Contact Resistance in a Proton Exchange Membrane Fuel Cell. J. Electrochem. Soc. 2019, 166, F853. [Google Scholar] [CrossRef]
- Langemann, M.; Fritz, D.L.; Müller, M.; Stolten, D. Validation and characterization of suitable materials for bipolar plates in PEM water electrolysis. Int. J. Hydrogen Energy 2015, 40, 11385–11391. [Google Scholar] [CrossRef]
- Becker, H.; Castanheira, L.; Hinds, G. Local measurement of current collector potential in a polymer electrolyte membrane water electrolyser. J. Power Sources 2020, 448, 227563. [Google Scholar] [CrossRef]
- Mo, J.; Steen, S.M.; Zhang, F.-Y.; Toops, T.J.; Brady, M.P.; Green, J.B. Electrochemical investigation of stainless steel corrosion in a proton exchange membrane electrolyzer cell. Int. J. Hydrogen Energy 2015, 40, 12506–12511. [Google Scholar] [CrossRef]
- Mo, J.; Steen, S.; Kang, Z.; Yang, G.; Taylor, D.A.; Li, Y.; Toops, T.J.; Brady, M.P.; Retterer, S.T.; Cullen, D.A.; et al. Study on corrosion migrations within catalyst-coated membranes of proton exchange membrane electrolyzer cells. International Int. J. Hydrogen Energy 2017, 42, 27343–27349. [Google Scholar] [CrossRef]
- Wilberforce, T.; Ijaodola, O.; Ogungbemi, E.; Khatib, F.N.; Leslie, T.; El-Hassan, Z.; Thomposon, J.; Olabi, A.G. Technical evaluation of proton exchange membrane (PEM) fuel cell performance–A review of the effects of bipolar plates coating. Renew. Sustain. Energy Rev. 2019, 113, 109286. [Google Scholar] [CrossRef]
- Song, Y.; Zhang, C.; Ling, C.-Y.; Han, M.; Yong, R.-Y.; Sun, D.; Chen, J. Review on current research of materials, fabrication and application for bipolar plate in proton exchange membrane fuel cell. Int. J. Hydrogen Energy 2020, 45, 29832–29847. [Google Scholar] [CrossRef]
- Tawfik, H.; Hung, Y.; Mahajan, D. Metal bipolar plates for PEM fuel cell—A review. J. Power Sources 2007, 163, 755–767. [Google Scholar] [CrossRef]
- Antunes, R.A.; Oliveira, M.C.L.; Ett, G.; Ett, V. Corrosion of metal bipolar plates for PEM fuel cells: A review. Int. J. Hydrogen Energy 2010, 35, 3632–3647. [Google Scholar] [CrossRef]
- Iversen, A.K. Stainless steels in bipolar plates—Surface resistive properties of corrosion resistant steel grades during current loads. Corros. Sci. 2006, 48, 1036–1058. [Google Scholar] [CrossRef]
- Yang, G.; Yu, S.; Mo, J.; Kang, Z.; Dohrmann, Y.; List, F.A.; Green, J.B.; Babu, S.S.; Zhang, F.Y. Bipolar plate development with additive manufacturing and protective coating for durable and high-efficiency hydrogen production. J. Power Sources 2018, 396, 590–598. [Google Scholar] [CrossRef]
- Ju, P.; Zuo, Y.; Tang, Y.; Zhao, X. The enhanced passivation of 316L stainless steel in a simulated fuel cell environment by surface plating with palladium. Corros. Sci. 2013, 66, 330–336. [Google Scholar] [CrossRef]
- Wang, Y.; Zhang, S.; Lu, Z.; Wang, L.; Li, W. Preparation and performances of electrically conductive Nb-doped TiO2 coatings for 316 stainless steel bipolar plates of proton-exchange membrane fuel cells. Corros. Sci. 2018, 142, 249–257. [Google Scholar] [CrossRef]
- Kumagai, M.; Myung, S.-T.; Kuwata, S.; Asaishi, R.; Katada, Y.; Yashiro, H. Application of Ni-free high nitrogen stainless steel for bipolar plates of proton exchange membrane fuel cells. Electrochim. Acta 2009, 54, 1127–1133. [Google Scholar] [CrossRef]
- He, R.Y.; Jiang, J.; Wang, R.F.; Yue, Y.; Chen, Y.; Pan, T.J. Anti-corrosion and conductivity of titanium diboride coating on metallic bipolar plates. Corros. Sci. 2020, 170, 108646. [Google Scholar] [CrossRef]
- Wang, Y.; Northwood, D.O. An investigation of the electrochemical properties of PVDTiN-coated SS410 in simulated PEM fuel cell environments. Int. J. Hydrogen Energy 2007, 32, 895–902. [Google Scholar] [CrossRef]
- Wen, T.-M.; Hou, K.-H.; Bai, C.-Y.; Ger, M.-D.; Chien, P.-H.; Lee, S.-J. Corrosion behaviour and characteristics of reforming chromized coatings on SS 420 steel in the simulated environment of proton exchange membrane fuel cells. Corros. Sci. 2010, 52, 3599–3608. [Google Scholar] [CrossRef]
- Yang, L.X.; Wang, Y.; Liu, R.J.; Liu, H.J.; Zeng, C.L.; Fu, C. Preparation and characterization of nanocrystalline β-Nb2N coating on 430 ferritic stainless steel by disproportionation of Nb(IV) ions in molten salt. Ceram. Int. 2020, 46, 9319–9327. [Google Scholar] [CrossRef]
- Wang, L.; Li, L.; Liu, H.; Wang, S.; Fang, H.; Gao, H.; Gao, K.; Zhang, Y.; Sun, J.; Yan, J. Polylaminate TaN/Ta coating modified ferritic stainless steel bipolar plate for high temperature proton exchange membrane fuel cell. J. Power Sources 2018, 399, 343–349. [Google Scholar] [CrossRef]
- Bianco, M.; Poitel, S.; Hong, J.-E.; Yang, S.; Wang, Z.-J.; Willinger, M.; Steinberger-Wilckens, R.; van Herle, J. Corrosion behaviour of nitrided ferritic stainless steels for use in solid oxide fuel cell devices. Corros. Sci. 2020, 165, 108414. [Google Scholar] [CrossRef]
- Kong, D.; Dong, C.; Ni, X.; Zhang, L.; Luo, H.; Li, R.; Wang, L.; Man, C.; Li, X. Superior resistance to hydrogen damage for selective laser melted 316L stainless steel in a proton exchange membrane fuel cell environment. Corros. Sci. 2020, 166, 108425. [Google Scholar] [CrossRef]
- Zhou, C.; Hu, S.; Shi, Q.; Tao, H.; Song, Y.; Zheng, J.; Xu, P.; Zhang, L. Improvement of corrosion resistance of SS316L manufactured by selective laser melting through subcritical annealing. Corros. Sci. 2020, 164, 108353. [Google Scholar] [CrossRef]
- Iversen, A.; Leffler, B. 3.04–Aqueous Corrosion of Stainless Steels. In Shreir’s Corrosion, 4th ed.; Cottis, B., Graham, M., Lindsay, R., Lyon, S., Richardson, T., Scantlebury, D., Stott, H., Eds.; Elsevier, B.V.: Amsterdam, The Netherlands, 2010; Volume 3, pp. 1802–1878. [Google Scholar] [CrossRef]
- Hashimoto, K.; Asami, K.; Kawashima, A.; Habazaki, H.; Akiyama, E. The role of corrosion-resistant alloying elements in passivity. Corros. Sci. 2007, 49, 42–52. [Google Scholar] [CrossRef]
- Roberge, P.R. Corrosion Engineering: Principles and Practice; McGraw Hill: New York, NY, USA, 2008; p. 112. [Google Scholar]
- Kumar, A.; Ricketts, M.; Hirano, S. Ex situ evaluation of nanometer range gold coating on stainless steel substrate for automotive polymer electrolyte membrane fuel cell bipolar plate. J. Power Sources 2010, 195, 1401–1407. [Google Scholar] [CrossRef]
- Barakat, N.A.M.; Abdelkareem, M.A.; Shin, G.; Yong Kim, H. Pd-doped Co nanofibers immobilized on a chemically stable metallic bipolar plate as novel strategy for direct formic acid fuel cells. Int. J. Hydrogen Energy 2013, 38, 7438–7447. [Google Scholar] [CrossRef]
- Mendizabal, L.; Oedegaard, A.; Kongstein, O.E.; Lædre, S.; Walmsley, J.; Barriga, J.; Gonzalez, J.J. TaNX coatings deposited by HPPMS on SS316L bipolar plates for polymer electrolyte membrane fuel cells: Correlation between corrosion current, contact resistance and barrier oxide film formation. Int. J. Hydrogen Energy 2017, 42, 3259–3270. [Google Scholar] [CrossRef]
- Fornaciari, J.C.; Weng, L.-C.; Alia, S.M.; Zhan, C.; Pham, T.A.; Bell, A.T.; Ogitsu, T.; Danilovic, N.; Weber, A.Z. Mechanistic understanding of pH effects on the oxygen evolution reaction. Electrochim. Acta 2022, 405, 138910. [Google Scholar] [CrossRef]
- Gago, A.S.; Ansar, A.S.; Gazdzicki, P.; Wagner, N.; Arnold, J.; Friedrich, K.A. Low Cost Bipolar Plates for Large Scale PEM Electrolyzers. ECS Trans. 2014, 64, 1039–1048. [Google Scholar] [CrossRef]
- Rojas, N.; Sánchez-Molina, M.; Sevilla, G.; Amores, E.; Almandoz, E.; Esparza, J.; Cruz Vivas, M.R.; Colominas, C. Coated stainless steels evaluation for bipolar plates in PEM water electrolysis conditions. Int. J. Hydrogen Energy 2021, 46, 25929–25943. [Google Scholar] [CrossRef]
- Wang, H.; Turner, J.A. Ferritic stainless steels as bipolar plate material for polymer electrolyte membrane fuel cells. J. Power Sources 2004, 128, 193–200. [Google Scholar] [CrossRef]
- Yu, Y.; Shironita, S.; Souma, K.; Umeda, M. Effect of chromium content on the corrosion resistance of ferritic stainless steels in sulfuric acid solution. Heliyon 2018, 4, e00958. [Google Scholar] [CrossRef] [PubMed]






| Element (wt%) | C | Cr | Mn | Si | Al | P | S | N | Fe |
|---|---|---|---|---|---|---|---|---|---|
| AISI 442 | 0.12 | 22.10 | 0.79 | 0.82 | 0.72 | 0.031 | 0.028 | - | balance |
| AISI 442 standard | ≤0.12 | 17.00–19.00 | ≤1.00 | 0.70–1.40 | 0.70–1.20 | ≤0.040 | <0.030 | - | balance |
| AISI 446 | 0.14 | 24.90 | 1.08 | 0.72 | - | 0.032 | 0.026 | 0.18 | balance |
| AISI 446 standard | ≤0.20 | 23.00–27.00 | ≤1.50 | ≤1.00 | - | ≤0.040 | ≤0.030 | ≤0.25 | balance |
| Corrosion Parameters | AISI 442 | AISI 446 | ||||||
|---|---|---|---|---|---|---|---|---|
| 1 | 2 | 3 | Mean (SD) | 1 | 2 | 3 | Mean (SD) | |
| icorr (µA cm−2) | 0.170 | 0.151 | 0.162 | 0.161 (0.009) | 0.304 | 0.317 | 0.325 | 0.315 (0.011) |
| Ecorr (VSHE) | −0.045 | −0.034 | −0.030 | −0.036 (0.008) | 0.066 | 0.069 | 0.055 | 0.063 (0.007) |
| −bc (mV decade−1) | 178 | 156 | 156 | 161.3 (12.7) | 147 | 153 | 157 | 152.3 (5.0) |
| ba (mV decade−1) | 232 | 301 | 311 | 281.3 (43.0) | 289 | 288 | 287 | 288.0 (1.0) |
| Rp (kΩ cm2) | 257 | 295 | 278 | 276.6 (19.0) | 139 | 137 | 136 | 137.3 (1.5) |
| Conditions | RS (Ω cm2) | CPE-T (F cm−2 sn−1) | n | Rp (kΩ cm2) | Cdl (µF cm−2) | Chi2 |
|---|---|---|---|---|---|---|
| Initial | 28.9 (0.3%) | 4.11 × 10−5 (0.19%) | 0.90 (0.05%) | 2240 (1.1%) | 20.3 | 8.0 × 10−4 |
| after PST 8 h at 1.50 VSHE | 32.9 (1.9%) | 6.73 × 10−5 (1.64%) | 0.86 (0.49%) | 1410 (1.6%) | 25.8 | 5.3 × 10−2 |
| after PST 8 h at 1.75 VSHE | 34.1 (1.1%) | 1.04 × 10−4 (0.90%) | 0.92 (0.28%) | 760 (2.8%) | 63.3 | 2.4 × 10−2 |
| after PST 8 h at 2.00 VSHE | 38.1 (1.0%) | 1.40 × 10−4 (0.83%) | 0.92 (0.29%) | 410 (1.9%) | 88.7 | 2.4 × 10−2 |
| Conditions | RS (Ω cm2) | CPE-T (F cm−2 sn−1) | n | Rp (kΩ cm2) | Cdl (µF cm−2) | Chi2 |
|---|---|---|---|---|---|---|
| Initial | 31.1 (2.0%) | 4.23 × 10−5 (1.61%) | 0.86 (0.47%) | 1470 (6.6%) | 14.3 | 3.6 × 10−2 |
| after PST 8 h at 1.50 VSHE | 33.2 (1.7%) | 6.38 × 10−5 (1.23%) | 0.81 (0.38%) | 980 (6.1%) | 14.8 | 2.1 × 10−2 |
| after PST 8 h at 1.75 VSHE | 39.7 (1.3%) | 1.97 × 10−4 (1.29%) | 0.82 (0.51%) | 775 (3.4%) | 68.2 | 2.5 × 10−2 |
| after PST 8 h at 2.00 VSHE | 41.6 (0.7%) | 3.67 × 10−4 (0.79%) | 0.87 (0.33%) | 395 (1.5%) | 182.0 | 1.3 × 10−2 |
| Property | Rm (MPa) | Rp0.2 (MPa) | A5 (%) | HB |
|---|---|---|---|---|
| AISI 442 | 564 ± 1% | 345 ± 1.5% | 21 | 194 ± 3% |
| AISI 446 | 581 ± 1% | 352 ± 1.5% | 19 | 198 ± 3% |
Disclaimer/Publisher’s Note: The statements, opinions and data contained in all publications are solely those of the individual author(s) and contributor(s) and not of MDPI and/or the editor(s). MDPI and/or the editor(s) disclaim responsibility for any injury to people or property resulting from any ideas, methods, instructions or products referred to in the content. |
© 2023 by the authors. Licensee MDPI, Basel, Switzerland. This article is an open access article distributed under the terms and conditions of the Creative Commons Attribution (CC BY) license (https://creativecommons.org/licenses/by/4.0/).
Share and Cite
Dan, M.L.; Kellenberger, A.; Duca, D.; Vaszilcsin, N.; Craciunescu, C.M.; Mitelea, I.; Ercuta, A.; Lædre, S.; Khoza, T. Corrosion Resistance of AISI 442 and AISI 446 Ferritic Stainless Steels as a Support for PEMWE Bipolar Plates. Materials 2023, 16, 1501. https://doi.org/10.3390/ma16041501
Dan ML, Kellenberger A, Duca D, Vaszilcsin N, Craciunescu CM, Mitelea I, Ercuta A, Lædre S, Khoza T. Corrosion Resistance of AISI 442 and AISI 446 Ferritic Stainless Steels as a Support for PEMWE Bipolar Plates. Materials. 2023; 16(4):1501. https://doi.org/10.3390/ma16041501
Chicago/Turabian StyleDan, Mircea Laurentiu, Andrea Kellenberger, Delia Duca, Nicolae Vaszilcsin, Corneliu Marius Craciunescu, Ion Mitelea, Aurel Ercuta, Sigrid Lædre, and Thulile Khoza. 2023. "Corrosion Resistance of AISI 442 and AISI 446 Ferritic Stainless Steels as a Support for PEMWE Bipolar Plates" Materials 16, no. 4: 1501. https://doi.org/10.3390/ma16041501
APA StyleDan, M. L., Kellenberger, A., Duca, D., Vaszilcsin, N., Craciunescu, C. M., Mitelea, I., Ercuta, A., Lædre, S., & Khoza, T. (2023). Corrosion Resistance of AISI 442 and AISI 446 Ferritic Stainless Steels as a Support for PEMWE Bipolar Plates. Materials, 16(4), 1501. https://doi.org/10.3390/ma16041501

