Electrochemical Impedance Spectroscopy (EIS) Explanation of Single Crystal Cu(100)/Cu(111) in Different Corrosion Stages
Abstract
1. Introduction
2. Materials and Experimental
3. Results and Discussion
3.1. Morphologies and Phase Constitution after 24H and 10D OCP
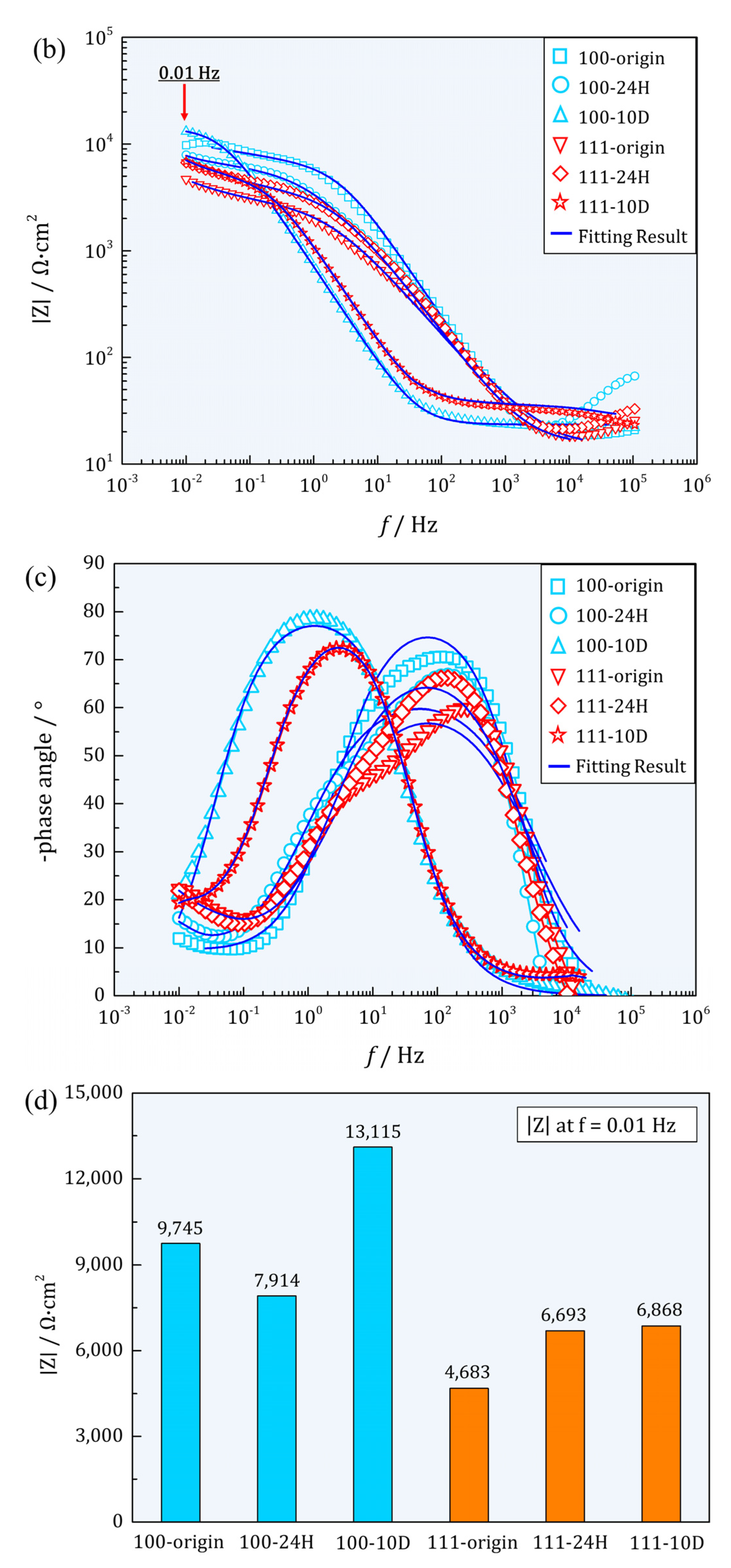
3.2. EIS Explanation in Different Corrosion Stages
3.3. Illustration of Corrosion Mechanism by EEC
4. Conclusions
Author Contributions
Funding
Institutional Review Board Statement
Informed Consent Statement
Data Availability Statement
Conflicts of Interest
References
- Song, Q.N.; Tong, Y.; Xu, N.; Sun, S.Y.; Li, H.L.; Bao, Y.F.; Jiang, Y.F.; Wang, Z.B.; Qiao, Y.X. Synergistic Effect Between Cavitation Erosion and Corrosion for Various Copper Alloys in Sulphide-Containing 3.5% NaCl Solutions. Wear 2020, 450-451, 203258. [Google Scholar] [CrossRef]
- Chen, S.; Zhang, D. Study of Corrosion Behavior of Copper in 3.5 Wt.% NaCl Solution Containing Extracellular Polymeric Substances of an Aerotolerant Sulphate-Reducing Bacteria. Corros. Sci. 2018, 136, 275–284. [Google Scholar] [CrossRef]
- Liao, X.; Cao, F.; Zheng, L.; Liu, W.; Chen, A.; Zhang, J.; Cao, C. Corrosion Behaviour of Copper Under Chloride-Containing Thin Electrolyte Layer. Corros. Sci. 2011, 53, 3289–3298. [Google Scholar] [CrossRef]
- Schindelholz, E.J.; Cong, H.; Jove-Colon, C.F.; Li, S.; Ohlhausen, J.A.; Moffat, H.K. Electrochemical Aspects of Copper Atmospheric Corrosion in the Presence of Sodium Chloride. Electrochim. Acta 2018, 276, 194–206. [Google Scholar] [CrossRef]
- Zhao, Y.; Zhang, T.; Xiong, H.; Wang, F. Bridge for the Thermodynamics and Kinetics of Electrochemical Corrosion: Modeling on Dissolution, Ionization, Diffusion and Deposition in Metal/Solution Interface. Corros. Sci. 2021, 191, 109763. [Google Scholar] [CrossRef]
- Zhang, Z.; Wang, Q.; Wang, X.; Gao, L. The Influence of Crystal Faces on Corrosion Behavior of Copper Surface: First-Principle and Experiment Study. Appl. Surf. Sci. 2017, 396, 746–753. [Google Scholar] [CrossRef]
- Davepon, B.; Schultze, J.W.; König, U.; Rosenkranz, C. Crystallographic Orientation of Single Grains of Polycrystalline Titanium and their Influence on Electrochemical Processes. Surf. Coat. Technol. 2003, 169–170, 85–90. [Google Scholar] [CrossRef]
- Martinez-Lombardia, E.; Gonzalez-Garcia, Y.; Lapeire, L.; De Graeve, I.; Verbeken, K.; Kestens, L.; Mol, J.M.C.; Terryn, H. Scanning Electrochemical Microscopy to Study the Effect of Crystallographic Orientation on the Electrochemical Activity of Pure Copper. Electrochim. Acta 2014, 116, 89–96. [Google Scholar] [CrossRef]
- Park, C.J.; Lohrengel, M.M.; Hamelmann, T.; Pilaski, M.; Kwon, H.S. Grain-Dependent Passivation of Surfaces of Polycrystalline Zinc. Electrochim. Acta 2002, 47, 3395–3399. [Google Scholar] [CrossRef]
- Yi, X.; Ma, A.; Zhang, L.; Zheng, Y. Crystallographic Anisotropy of Corrosion Rate and Surface Faceting of Polycrystalline 90Cu-10Ni in Acidic NaCl Solution. Mater. Des. 2022, 215, 110429. [Google Scholar] [CrossRef]
- Ma, A.; Zhang, L.; Engelberg, D.; Hu, Q.; Guan, S.; Zheng, Y. Understanding Crystallographic Orientation Dependent Dissolution Rates of 90Cu-10Ni Alloy: New Insights Based On AFM/SKPFM Measurements and Coordination Number/Electronic Structure Calculations. Corros. Sci. 2020, 164, 108320. [Google Scholar] [CrossRef]
- Ogata, S.; Kobayashi, N.; Kitagawa, T.; Shima, S.; Fukunaga, A.; Takatoh, C.; Fukuma, T. Nanoscale Corrosion Behavior of Polycrystalline Copper Fine Wires in Dilute NaCl Solution Investigated by in-Situ Atomic Force Microscopy. Corros. Sci. 2016, 105, 177–182. [Google Scholar] [CrossRef]
- Bandara, K.N.D.; Jayathilaka, K.M.D.C.; Dissanayake, D.P.; Jayanetti, J.K.D.S. Surface Engineering of Electrodeposited Cuprous Oxide (Cu2O) Thin Films: Effect on Hydrophobicity and LP Gas Sensing. Appl. Surf. Sci. 2021, 561, 150020. [Google Scholar] [CrossRef]
- Mikolasek, M.; Ondrejka, P.; Chymo, F.; Novak, P.; Pavuk, M.; Novotny, I.; Rehacek, V.; Breza, J.; Vincze, A.; Hotovy, I. Potentiostatic Electrodeposition Under Light Irradiation for Preparation of Highly Photoactive Cu2O for Water Splitting Applications. Appl. Surf. Sci. 2018, 461, 196–201. [Google Scholar] [CrossRef]
- Kunze, J.; Maurice, V.; Klein, L.H.; Strehblow, H.-H.; Marcus, P. In Situ STM Study of the Anodic Oxidation of Cu(0 0 1) in 0.1 M Naoh. J. Electroanal. Chem. 2003, 554–555, 113–125. [Google Scholar] [CrossRef]
- Kunze, J.; Maurice, V.; Klein, L.H.; Strehblow, H.; Marcus, P. In Situ STM Study of the Duplex Passive Films Formed On Cu(111) and Cu(001) in 0.1 M NaOH. Corros. Sci. 2004, 46, 245–264. [Google Scholar] [CrossRef]
- Kunze, J.; Maurice, V.; Klein, L.H.; Strehblow, H.; Marcus, P. In Situ STM Study of the Effect of Chlorides On the Initial Stages of Anodic Oxidation of Cu(111) in Alkaline Solutions. Electrochim. Acta 2003, 48, 1157–1167. [Google Scholar] [CrossRef]
- Trdan, U.; Grum, J. Sem/Eds Characterization of Laser Shock Peening Effect on Localized Corrosion of Al Alloy in a Near Natural Chloride Environment. Corros. Sci. 2014, 82, 328–338. [Google Scholar] [CrossRef]
- Yusen, H.; Tao, Y.; Zhengyang, X.; Yongbin, Z. Electrochemical Micromachining of ZrCu-Based Amorphous Alloy in Ethylene Glycol Solution. Intermetallics 2021, 132, 107155. [Google Scholar] [CrossRef]
- Liu, C.; Bi, Q.; Leyland, A.; Matthews, A. An Electrochemical Impedance Spectroscopy Study of the Corrosion Behaviour of PVD Coated Steels in 0.5 M NaCl Aqueous Solution: Part I. Establishment of Equivalent Circuits for EIS Data Modelling. Corros. Sci. 2003, 45, 1257–1273. [Google Scholar] [CrossRef]
- Dasquet, J.P.; Caillard, D.; Conforto, E.; Bonino, J.P.; Bes, R. Investigation of the Anodic Oxide Layer On 1050 and 2024T3 Aluminium Alloys by Electron Microscopy and Electrochemical Impedance Spectroscopy. Thin Solid Film. 2000, 371, 183–190. [Google Scholar] [CrossRef]
- García-Rodríguez, S.; Torres, B.; Pulido-González, N.; Otero, E.; Rams, J. Corrosion Behavior of 316L Stainless Steel Coatings on Ze41 Magnesium Alloy in Chloride Environments. Surf. Coat. Technol. 2019, 378, 124994. [Google Scholar] [CrossRef]
- Usman, B.J.; Scenini, F.; Curioni, M. The Effect of Exposure Conditions on Performance Evaluation of Post-Treated Anodic Oxides on an Aerospace Aluminium Alloy: Comparison Between Salt Spray and Immersion Testing. Surf. Coat. Technol. 2020, 399, 126157. [Google Scholar] [CrossRef]
- Feng, X.; Xie, J.; Huang, M.; Kuang, W. The Intergranular Oxidation Behavior of Low-Angle Grain Boundary of Alloy 600 in Simulated Pressurized Water Reactor Primary Water. Acta Mater. 2022, 224, 117533. [Google Scholar] [CrossRef]
- Shao-Pu, T.; Surendra Kumar, M.; Baptiste, G.; Kaori, K.-M.; Akira, T.; Stefan, Z. Precipitation Formation on Σ5 and Σ7 Grain Boundaries in 316L Stainless Steel and their Roles on Intergranular Corrosion. Acta Mater. 2021, 210, 116822. [Google Scholar]
- Barr, C.M.; Thomas, S.; Hart, J.L.; Harlow, W.; Anber, E.; Taheri, M.L. Tracking the Evolution of Intergranular Corrosion through Twin-Related Domains in Grain Boundary Networks. Npj Mater. Degrad. 2018, 2, 14. [Google Scholar] [CrossRef]
- Zhao, Y.; Cheng, I.C.; Kassner, M.E.; Hodge, A.M. The Effect of Nanotwins On the Corrosion Behavior of Copper. Acta Mater. 2014, 67, 181–188. [Google Scholar] [CrossRef]
- Luo, Y.; Deng, Y.; Guan, L.; Ye, L.; Guo, X.; Luo, A. Effect of Grain Size and Crystal Orientation on the Corrosion Behavior of as-Extruded Mg-6Gd-2Y-0.2Zr Alloy. Corros. Sci. 2020, 164, 108338. [Google Scholar] [CrossRef]
- Orłowska, M.; Ura-Bińczyk, E.; Olejnik, L.; Lewandowska, M. The Effect of Grain Size and Grain Boundary Misorientation on the Corrosion Resistance of Commercially Pure Aluminium. Corros. Sci. 2019, 148, 57–70. [Google Scholar] [CrossRef]
- Lapeire, L.; Martinez Lombardia, E.; Verbeken, K.; De Graeve, I.; Kestens, L.A.I.; Terryn, H. Effect of Neighboring Grains on the Microscopic Corrosion Behavior of a Grain in Polycrystalline Copper. Corros. Sci. 2013, 67, 179–183. [Google Scholar] [CrossRef]
- Hagihara, K.; Okubo, M.; Yamasaki, M.; Nakano, T. Crystal-Orientation-Dependent Corrosion Behaviour of Single Crystals of a Pure Mg and Mg-Al and Mg-Cu Solid Solutions. Corros. Sci. 2016, 109, 68–85. [Google Scholar] [CrossRef]
- Monteroa, X.; Ishida, A.; Meißner, T.M.; Murakami, H.; Galetz, M.C. Effect of Surface Treatment and Crystal Orientation on Hot Corrosion of a Nibased Single-Crystal Superalloy. Corros. Sci. 2020, 166, 108472. [Google Scholar] [CrossRef]
- Zhang, L.N.; Zhang, L.N.; Ojo, O.A. Crystallographic Orientation Dependence of Corrosion Behavior of a Single Crystal Nickel-Based Alloy. Metall. Mater. Trans. A Phys. Metall. Mater. Sci. 2018, 49, 295–304. [Google Scholar] [CrossRef]
- Brito, P.; Schuller, É.; Silva, J.; Campos, T.R.; de Araújo, C.R.; Carneiro, J.R. Electrochemical Corrosion Behaviour of (100), (110) and (111) Fe3Al Single Crystals in Sulphuric Acid. Corros. Sci. 2017, 126, 366–373. [Google Scholar] [CrossRef]
- Li, S.; Teague, M.T.; Doll, G.L.; Schindelholz, E.J.; Cong, H. Interfacial Corrosion of Copper in Concentrated Chloride Solution and the Formation of Copper Hydroxychloride. Corros. Sci. 2018, 141, 243–254. [Google Scholar] [CrossRef]
- Badawya, W.A.; El-Rabiee, M.M.; Helal, N.H.; Nady, H. Effect of Nickel Content on the Electrochemical Behavior of Cu–Al–Ni Alloys in Chloride Free Neutral Solutions. Electrochim. Acta 2010, 56, 913–918. [Google Scholar] [CrossRef]
- Zhao, H.; Chang, J.; Boika, A.; Bard, A.J. Electrochemistry of High Concentration Copper Chloride Complexes. Anal. Chem. 2013, 85, 7696–7703. [Google Scholar] [CrossRef] [PubMed]
- Daroonparvar, M.; Farooq Khan, M.U.; Saadeh, Y.; Kay, C.M.; Gupta, R.K.; Kasar, A.K.; Kumar, P.; Misra, M.; Menezes, P.L.; Bakhsheshi-Rad, H.R. Enhanced Corrosion Resistance and Surface Bioactivity of Az31B Mg Alloy by High Pressure Cold Sprayed Monolayer Ti and Bilayer Ta/Ti Coatings in Simulated Body Fluid. Mater. Chem. Phys. 2020, 256, 123627. [Google Scholar] [CrossRef]
- Ralls, A.M.; Daroonparvar, M.; Kasar, A.K.; Misra, M.; Menezes, P.L. Influence of Friction Stir Processing on the Friction, Wear and Corrosion Mechanisms of Solid-State Additively Manufactured 316L Duplex Stainless Steel. Tribol. Int. 2023, 178, 108033. [Google Scholar] [CrossRef]
- Malevich, D.; Halliop, E.; Peppley, B.A.; Pharoah, J.G.; Karan, K. Investigation of Charge-Transfer and Mass-Transport Resistances in PEMFCs with Microporous Layer Using Electrochemical Impedance Spectroscopy. J. Electrochem. Soc. 2009, 156, B216. [Google Scholar] [CrossRef]
- Amin, M.A.; Khaled, K.F. Copper Corrosion Inhibition in O2-Saturated H2SO4 Solutions. Corros. Sci. 2010, 52, 1194–1204. [Google Scholar] [CrossRef]
- Huang, J. Diffusion Impedance of Electroactive Materials, Electrolytic Solutions and Porous Electrodes: Warburg Impedance and Beyond. Electrochim. Acta 2018, 281, 170–188. [Google Scholar] [CrossRef]
- Gustinčič, D.; Kokalj, A. A DFT Study of Adsorption of Imidazole, Triazole, and Tetrazole On Oxidized Copper Surfaces: Cu2O(111) and Cu2O(111)-W/O-Cucus. Phys. Chem. Chem. Phys. 2015, 17, 28602–28615. [Google Scholar] [CrossRef] [PubMed]
- Gustinčič, D.; Kokalj, A. DFT Study of Azole Corrosion Inhibitors on Cu2O Model of Oxidized Copper Surfaces: I. Molecule–Surface and Cl–Surface Bonding. Metals 2018, 8, 310. [Google Scholar] [CrossRef]
- Daroonparvar, M.; Yajid, M.A.M.; Gupta, R.K.; Yusof, N.M.; Bakhsheshi-Rad, H.R.; Ghandvar, H. Investigation of Corrosion Protection Performance of Multiphase Peo (Mg2SiO4, MgO, MgAl2O4) Coatings on Mg Alloy Formed in Aluminate-Silicate- Based Mixture Electrolyte. Prot. Met. Phys. Chem. 2018, 54, 425–441. [Google Scholar] [CrossRef]
- Bajat, J.B.; Milošev, I.; Jovanović; Jančić-Heinemann, R.M.; Dimitrijević, M.; Mišković-Stanković, V.B. Corrosion Protection of Aluminium Pretreated by Vinyltriethoxysilane in Sodium Chloride Solution. Corros. Sci. 2010, 52, 1060–1069. [Google Scholar] [CrossRef]
- Trdan, U.; Sano, T.; Klobčar, D.; Sano, Y.; Grum, J.; Šturm, R. Improvement of Corrosion Resistance of Aa2024-T3 Using Femtosecond Laser Peening without Protective and Confining Medium. Corros. Sci. 2018, 143, 46–55. [Google Scholar] [CrossRef]
- Wei, Y.; Li, Y.; Zhang, Y.; Luo, X.; Li, C. Corrosion Resistant Nickel Coating with Strong Adhesion on Az31B Magnesium Alloy Prepared by an in-Situ Shot-Peening-Assisted Cold Spray. Corros. Sci. 2018, 138, 105–115. [Google Scholar] [CrossRef]
- Maia, F.; Tedim, J.; Lisenkov, A.D.; Salak, A.N.; Zheludkevich, M.L.; Ferreira, M.G.S. Silica Nanocontainers for Active Corrosion Protection. Nanoscale 2012, 4, 1287–1298. [Google Scholar] [CrossRef]
- Yanqiu, Y.; Zhixun, W.; Yanchao, Z.; Jiapo, W.; Zhenwei, L.; Zhufeng, Y. Effect of Crystallographic Orientation on the Corrosion Resistance of Ni-Based Single Crystal Superalloys. Corros. Sci. 2020, 170, 108643. [Google Scholar] [CrossRef]












| Sample | Cu | O | Cl | |
|---|---|---|---|---|
| 100 | Position 1 | 95.9153 | 3.9486 | 0.1361 |
| Position 2 | 78.7958 | 20.9565 | 0.2477 | |
| 111 | Position 3 | 98.2529 | 1.6706 | 0.0765 |
| Position 4 | 69.6481 | 29.6041 | 0.7478 | |
| Position 5 | 93.8035 | 6.1203 | 0.0763 | |
| Parameters | 100 | 111 | ||||
|---|---|---|---|---|---|---|
| 0H | 24H | 10D | 0H | 24H | 10D | |
| RS (Ω·cm2) | 18.15 | 15.96 | 21.91 | 15.74 | 15.87 | 22.31 |
| Cdl (μF·cm−2) | 5.89 × 10−5 | 2.04 × 10−5 | 2.67 × 10−4 | 6.09 × 10−5 | 3.55 × 10−5 | 3.2 × 10−3 |
| ndl | 0.62 | 0.75 | 0.91 | 0.71 | 0.79 | 0.89 |
| Rct (Ω·cm2) | 4548 | 6028 | 14,274 | 2832 | 3070 | 4117 |
| Co (μF·cm−2) | 1.26 × 10−5 | 1.83 × 10−5 | 1.75 × 10−4 | |||
| no | 0.9 | 0.65 | 0.89 | |||
| Ro (Ω·cm2) | 5306 | |||||
| Zw (Ω·cm2·s−1/2) | 5417 | 7071 | ||||
| Chi-Square | 0.0074 | 0.0387 | 0.0090 | 0.0188 | 0.0203 | 0.0104 |
| SC | 0H | 24H | 10D |
|---|---|---|---|
| 100 | |||
| 111 |
Disclaimer/Publisher’s Note: The statements, opinions and data contained in all publications are solely those of the individual author(s) and contributor(s) and not of MDPI and/or the editor(s). MDPI and/or the editor(s) disclaim responsibility for any injury to people or property resulting from any ideas, methods, instructions or products referred to in the content. |
© 2023 by the authors. Licensee MDPI, Basel, Switzerland. This article is an open access article distributed under the terms and conditions of the Creative Commons Attribution (CC BY) license (https://creativecommons.org/licenses/by/4.0/).
Share and Cite
Lin, Q.; Chen, G.; Zou, S.; Zhou, W.; Fu, X.; Shi, S. Electrochemical Impedance Spectroscopy (EIS) Explanation of Single Crystal Cu(100)/Cu(111) in Different Corrosion Stages. Materials 2023, 16, 1740. https://doi.org/10.3390/ma16041740
Lin Q, Chen G, Zou S, Zhou W, Fu X, Shi S. Electrochemical Impedance Spectroscopy (EIS) Explanation of Single Crystal Cu(100)/Cu(111) in Different Corrosion Stages. Materials. 2023; 16(4):1740. https://doi.org/10.3390/ma16041740
Chicago/Turabian StyleLin, Qihao, Guoqing Chen, Shiwen Zou, Wenlong Zhou, Xuesong Fu, and Shuyan Shi. 2023. "Electrochemical Impedance Spectroscopy (EIS) Explanation of Single Crystal Cu(100)/Cu(111) in Different Corrosion Stages" Materials 16, no. 4: 1740. https://doi.org/10.3390/ma16041740
APA StyleLin, Q., Chen, G., Zou, S., Zhou, W., Fu, X., & Shi, S. (2023). Electrochemical Impedance Spectroscopy (EIS) Explanation of Single Crystal Cu(100)/Cu(111) in Different Corrosion Stages. Materials, 16(4), 1740. https://doi.org/10.3390/ma16041740
