Interpretable Machine Learning for Prediction of Post-Fire Self-Healing of Concrete
Abstract
1. Introduction
2. Research Significance
3. Database Description
4. Methods
4.1. ML Approaches
4.1.1. Support Vector Machines (SVM)
4.1.2. Regression Tree (RT), Ensemble of Trees (ET)
4.1.3. Artificial Neural Networks (ANN)
4.2. Performance Indices of Models
4.3. Monte Carlo Simulations
4.4. Model Interpretation
5. Modeling Sequence
- Stage 1. Data preparation
- Stage 2. Model optimization and performance assessment
- Stage 3: Robustness analysis of the five best-performing models
- Stage 4. Model interpretation
6. Results and Discussion
6.1. Model Selection
6.2. Robustness Analysis
6.3. Model Interpretation
7. Conclusions and Future Research
- All four ML approaches demonstrated higher accuracy than linear regression in terms of MSE, MAE, RMSE, and R2. Optimized ET with boosting achieved the best performance concerning prediction precision (NRMSE of approximately 10% and R2 greater than 0.9) and speed. The model showed a high dependency on the learning rate. The robustness analysis with the use of MCS confirmed the stability of the model’s prediction capacity.
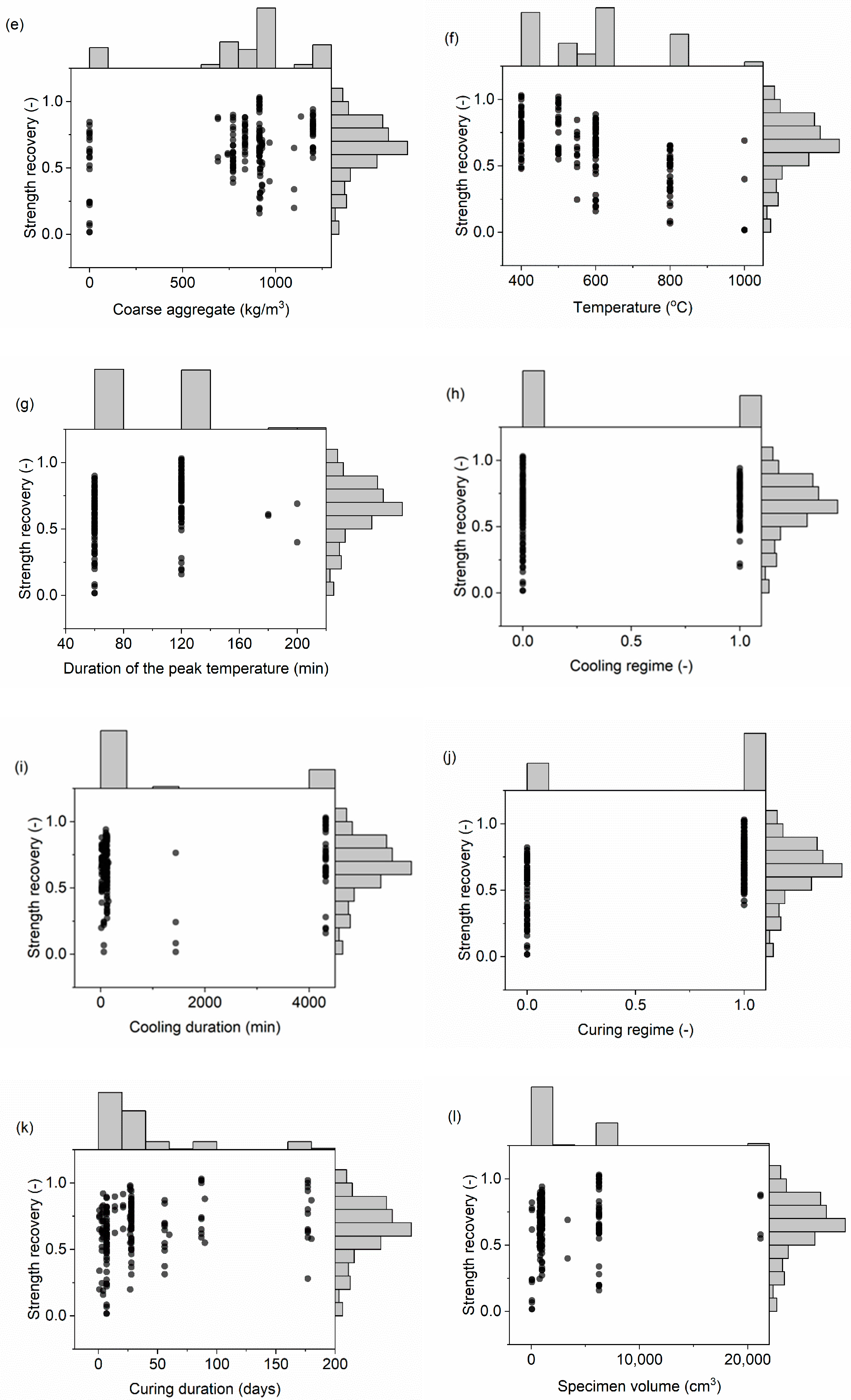
- Prediction analysis revealed that temperature, curing regime and curing time, and aggregates’ amounts are the critical input variables. Mix composition parameters, such as cement amount and w/c ratio, presumably play a secondary role in the healing mechanism. Nevertheless, additional experiments should be performed to confirm this relationship.
- The model indicated that the optimal amount of fine and coarse aggregate to achieve strength recovery greater than 74% is presumably equal to 600 kg/m3 and 1000–1200 kg/m3, respectively. Water exposure was found to be the most efficient. The curing was significant only during the first 50 days of healing.
- This paper assumes only compressive strength recovery as the post-fire healing response. Analyzing other outputs, such as crack closure and durability recovery, could give further insights into the recovery mechanism. However, there are sparse data regarding these parameters in the literature; therefore, more experimental work should be conducted.
- Performed analysis was limited to only two types of curing and cooling regimes, i.e., air and water. Other types of curing and cooling regimes could be “encoded” with categorical variables, e.g., wet–dry cycles, different levels of RH, etc.; the effect of cement replacement with supplementary cementitious materials should be studied to verify the binder blending importance on the post-fire self-healing. To date, there are limited results on this topic; therefore, the database should be expanded.
- Additional sensitivity analysis could be performed using Monte Carlo simulations with permutation feature importance [63]. Finally, the effect of multicorrelations between input variables should be studied as it might obscure actual relationships between inputs and output. A reduction of the number of predictors should be considered.
Author Contributions
Funding
Institutional Review Board Statement
Informed Consent Statement
Data Availability Statement
Conflicts of Interest
References
- Chalangaran, N.; Farzampour, A.; Paslar, N.; Fatemi, H. Experimental Investigation of Sound Transmission Loss in Concrete Containing Recycled Rubber Crumbs. 2021. Available online: https://vtechworks.lib.vt.edu/handle/10919/103191 (accessed on 19 January 2023).
- Meyer, C. The greening of the concrete industry. Cem. Concr. Compos. 2009, 31, 601–605. [Google Scholar] [CrossRef]
- Aitcin, P.C. Durable Concrete—Current Practice and Future Trends. Int. Concr. Abstr. Portal 1994, 144, 85–104. [Google Scholar] [CrossRef]
- Fu, Y.; Wong, Y.; Tang, C.; Poon, C. Thermal induced stress and associated cracking in cement-based composite at elevated temperatures––Part I: Thermal cracking around single inclusion. Cem. Concr. Compos. 2004, 26, 99–111. [Google Scholar] [CrossRef]
- Rajczakowska, M.; Habermehl-Cwirzen, K.; Hedlund, H.; Cwirzen, A. Autogenous Self-Healing: A Better Solution for Concrete. J. Mater. Civ. Eng. 2019, 31, 03119001. [Google Scholar] [CrossRef]
- Li, L.; Shi, L.; Wang, Q.; Liu, Y.; Dong, J.; Zhang, H.; Zhang, G.K. A review on the recovery of fire-damaged concrete with post-fire-curing. Constr. Build. Mater. 2019, 237, 117564. [Google Scholar] [CrossRef]
- Poon, C.S.; Azhar, S.; Anson, M.; Wong, Y.-L. Strength and durability recovery of fire-damaged concrete after post-fire-curing. Cem. Concr. Res. 2001, 31, 1307–1318. [Google Scholar] [CrossRef]
- Mendes, A.; Sanjayan, J.G.; Collins, F. Effects of slag and cooling method on the progressive deterioration of concrete after exposure to elevated temperatures as in a fire event. Mater. Struct. 2010, 44, 709–718. [Google Scholar] [CrossRef]
- Ming, X.; Cao, M.; Lv, X.; Yin, H.; Li, L.; Liu, Z. Effects of high temperature and post-fire-curing on compressive strength and microstructure of calcium carbonate whisker-fly ash-cement system. Constr. Build. Mater. 2020, 244, 118333. [Google Scholar] [CrossRef]
- Akca, A.H.; Özyurt, N. Effects of re-curing on residual mechanical properties of concrete after high temperature exposure. Constr. Build. Mater. 2018, 159, 540–552. [Google Scholar] [CrossRef]
- Henry, M.; AHN, T.-H.; KATO, Y.; KISHI, T. Evaluation of Re-Curing for the Recovery of High-Strength Mortar Exposed to Fire. Proc. Jpn. Concr. Inst. 2008, 30, 435–440. [Google Scholar]
- Henry, M.; Suzuki, M.; Kato, Y. Behavior of Fire-Damaged Mortar under Variable Re-Curing Conditions. ACI Mater. J. 2011, 108, 281–289. [Google Scholar]
- Albuhairi, D.; di Sarno, L. Low-Carbon Self-Healing Concrete: State-of-the-Art, Challenges and Opportunities. Buildings 2022, 12, 1196. [Google Scholar] [CrossRef]
- Neto, J.A.D.F.; Sombra, T.N.; Haach, V.G.; Corrêa, M.R.S. Effects of post-fire curing on the residual mechanical behavior of cement-lime masonry mortars. Constr. Build. Mater. 2022, 327, 126613. [Google Scholar] [CrossRef]
- Iwama, K.; Maekawa, K. Modeling of carbonation, de-carbonation and re-carbonation processes of structural concrete subjected to high temperature heating. Cem. Concr. Compos. 2022, 129, 104493. [Google Scholar] [CrossRef]
- EN 1992-1-2:2004; Eurocode 2: Design of Concrete Structures-Part 1.2 General Rules-Structural Fire Design. European Standard: Brussels, Belgium, 2004.
- Joint, A.C.I. Code Requirements for Determining Fire Resistance of Concrete and Masonry Construction Assemblies (ACI 216.1-07, TMS-216-07): An ACI/TMS Standard; American Concrete Institute: Farmington Hills, MI, USA, 2007. [Google Scholar]
- Alhamad, A.; Yehia, S.; Lublóy, É.; Elchalakani, M. Performance of Different Concrete Types Exposed to Elevated Temperatures: A Review. Materials 2022, 15, 5032. [Google Scholar] [CrossRef] [PubMed]
- Li, Z.; Yoon, J.; Zhang, R.; Rajabipour, F.; Iii, W.V.S.; Dabo, I.; Radlińska, A. Machine learning in concrete science: Applications, challenges, and best practices. npj Comput. Mater. 2022, 8, 1–17. [Google Scholar] [CrossRef]
- Feng, D.-C.; Liu, Z.-T.; Wang, X.-D.; Chen, Y.; Chang, J.-Q.; Wei, D.-F.; Jiang, Z.-M. Machine learning-based compressive strength prediction for concrete: An adaptive boosting approach. Constr. Build. Mater. 2019, 230, 117000. [Google Scholar] [CrossRef]
- Asteris, P.G.; Skentou, A.D.; Bardhan, A.; Samui, P.; Pilakoutas, K. Predicting concrete compressive strength using hybrid ensembling of surrogate machine learning models. Cem. Concr. Res. 2021, 145, 106449. [Google Scholar] [CrossRef]
- Wu, Y.; Zhou, Y. Splitting tensile strength prediction of sustainable high-performance concrete using machine learning techniques. Environ. Sci. Pollut. Res. 2022, 29, 89198–89209. [Google Scholar] [CrossRef]
- Nguyen, H.; Vu, T.; Vo, T.P.; Thai, H.-T. Efficient machine learning models for prediction of concrete strengths. Constr. Build. Mater. 2020, 266, 120950. [Google Scholar] [CrossRef]
- Zhang, Q.; Afzal, M. Prediction of the elastic modulus of recycled aggregate concrete applying hybrid artificial intelligence and machine learning algorithms. Struct. Concr. 2021, 23, 2477–2495. [Google Scholar] [CrossRef]
- Liu, K.; Dai, Z.; Zhang, R.; Zheng, J.; Zhu, J.; Yang, X. Prediction of the sulfate resistance for recycled aggregate concrete based on ensemble learning algorithms. Constr. Build. Mater. 2021, 317, 125917. [Google Scholar] [CrossRef]
- Cai, R.; Han, T.; Liao, W.; Huang, J.; Li, D.; Kumar, A.; Ma, H. Prediction of surface chloride concentration of marine concrete using ensemble machine learning. Cem. Concr. Res. 2020, 136, 106164. [Google Scholar] [CrossRef]
- Yu, Y.; Nguyen, T.N.; Li, J.; Sanchez, L.F.; Nguyen, A. Predicting elastic modulus degradation of alkali silica reaction affected concrete using soft computing techniques: A comparative study. Constr. Build. Mater. 2020, 274, 122024. [Google Scholar] [CrossRef]
- Cook, R.; Han, T.; Childers, A.; Ryckman, C.; Khayat, K.; Ma, H.; Huang, J.; Kumar, A. Machine learning for high-fidelity prediction of cement hydration kinetics in blended systems. Mater. Des. 2021, 208, 109920. [Google Scholar] [CrossRef]
- Carvalho, D.V.; Pereira, E.M.; Cardoso, J.S. Machine Learning Interpretability: A Survey on Methods and Metrics. Electronics 2019, 8, 832. [Google Scholar] [CrossRef]
- Biecek, P. DALEX: Explainers for Complex Predictive Models in R. J. Mach. Learn. Res. 2018, 19, 3245–3249. [Google Scholar]
- Friedman, J.H. Greedy function approximation: A gradient boosting machine. Ann. Stat. 2001, 29, 1189–1232. [Google Scholar] [CrossRef]
- Goldstein, A.; Kapelner, A.; Bleich, J.; Pitkin, E. Peeking Inside the Black Box: Visualizing Statistical Learning With Plots of Individual Conditional Expectation. J. Comput. Graph. Stat. 2015, 24, 44–65. [Google Scholar] [CrossRef]
- Gupta, S.; Al-Obaidi, S.; Ferrara, L. Meta-Analysis and Machine Learning Models to Optimize the Efficiency of Self-Healing Capacity of Cementitious Material. Materials 2021, 14, 4437. [Google Scholar] [CrossRef]
- Chen, G.; Tang, W.; Chen, S.; Wang, S.; Cui, H. Prediction of Self-Healing of Engineered Cementitious Composite Using Machine Learning Approaches. Appl. Sci. 2022, 12, 3605. [Google Scholar] [CrossRef]
- Huang, X.; Wasouf, M.; Sresakoolchai, J.; Kaewunruen, S. Prediction of Healing Performance of Autogenous Healing Concrete Using Machine Learning. Materials 2021, 14, 4068. [Google Scholar] [CrossRef] [PubMed]
- Alabduljabbar, H.; Khan, K.; Awan, H.H.; Alyousef, R.; Mohamed, A.M.; Eldin, S.M. Modeling the capacity of engineered cementitious composites for self-healing using AI-based ensemble techniques. Case Stud. Constr. Mater. 2022, 27, R713–R715. [Google Scholar] [CrossRef]
- Suleiman, A.R.; Nehdi, M.L. Modeling Self-Healing of Concrete Using Hybrid Genetic Algorithm–Artificial Neural Network. Materials 2017, 10, 135. [Google Scholar] [CrossRef]
- Olson, G.B. Computational Design of Hierarchically Structured Materials. Science 1997, 277, 1237–1242. [Google Scholar] [CrossRef]
- Agrawal, A.; Choudhary, A. Perspective: Materials informatics and big data: Realization of the “fourth paradigm” of science in materials science. APL Mater. 2016, 4, 053208. [Google Scholar] [CrossRef]
- Ke, X.; Duan, Y. A Bayesian machine learning approach for inverse prediction of high-performance concrete ingredients with targeted performance. Constr. Build. Mater. 2020, 270, 121424. [Google Scholar] [CrossRef]
- Scrivener, K.L.; John, V.M.; Gartner, E.M. Eco-Efficient Cements: Potential Economically Viable Solutions for a Low-CO2 Cement-Based Materials Industry; United Nations Environment Program: Nairobi, Kenya, 2016. [Google Scholar]
- Sun, Y.; Gu, Z. Using computer vision to recognize construction material: A Trustworthy Dataset Perspective. Resour. Conserv. Recycl. 2022, 183, 106362. [Google Scholar] [CrossRef]
- Endait, M.; Wagh, S. Effect of elevated temperature on mechanical properties of early-age concrete. Innov. Infrastruct. Solut. 2019, 5, 4. [Google Scholar] [CrossRef]
- Hamad, A.J. Size and shape effect of specimen on the compressive strength of HPLWFC reinforced with glass fibres. J. King Saud Univ.-Eng. Sci. 2017, 29, 373–380. [Google Scholar] [CrossRef]
- Horiguchi, T.; Suhaendi, S.L. Recovery Behavior of Hybrid Fiber Reinforced High Strength Concrete After Fire Exposure. J. Struct. Fire Eng. 2010, 1, 219–229. [Google Scholar] [CrossRef]
- Karahan, O. Residual compressive strength of fire-damaged mortar after post-fire-air-curing. Fire Mater. 2010, 35, 561–567. [Google Scholar] [CrossRef]
- Lin, Y.; Hsiao, C.; Yang, H.; Lin, Y.-F. The effect of post-fire-curing on strength–velocity relationship for nondestructive assessment of fire-damaged concrete strength. Fire Saf. J. 2011, 46, 178–185. [Google Scholar] [CrossRef]
- Poon, C.-S.; Azhar, S. Deterioration and Recovery of Metakaolin Blended Concrete Subjected to High Temperature. Fire Technol. 2003, 39, 35–45. [Google Scholar] [CrossRef]
- Suresh, N.; Rao, V.; Akshay, B. Evaluation of mechanical properties and post-fire cured strength recovery of recycled aggregate concrete. J. Struct. Fire Eng. 2022, 13, 491–505. [Google Scholar] [CrossRef]
- Yaragal, S.C.; Kittur, M.M.; Narayan, K.S.B. Recuring Studies on Concretes Subjected to Elevated Temperatures and Suddenly Cooled by Water Quenching. J. Struct. Fire Eng. 2015, 6, 67–76. [Google Scholar] [CrossRef]
- Ly, H.-B.; Nguyen, T.-A.; Mai, H.-V.T.; Tran, V.Q. Development of deep neural network model to predict the compressive strength of rubber concrete. Constr. Build. Mater. 2021, 301, 124081. [Google Scholar] [CrossRef]
- Van Dao, D.; Ly, H.-B.; Vu, H.-L.T.; Le, T.-T.; Pham, B.T. Investigation and Optimization of the C-ANN Structure in Predicting the Compressive Strength of Foamed Concrete. Materials 2020, 13, 1072. [Google Scholar] [CrossRef]
- Sage, A.J.; Liu, Y.; Sato, J. From Black Box to Shining Spotlight: Using Random Forest Prediction Intervals to Illuminate the Impact of Assumptions in Linear Regression. Am. Stat. 2022, 76, 414–429. [Google Scholar] [CrossRef]
- Vapnik, V. The Nature of Statistical Learning Theory; Springer Science & Business Media: Berlin/Heidelberg, Germany, 1999; ISBN 0387987800. [Google Scholar]
- Asteris, P.G.; Koopialipoor, M.; Armaghani, D.J.; Kotsonis, E.A.; Lourenço, P.B. Prediction of cement-based mortars compressive strength using machine learning techniques. Neural Comput. Appl. 2021, 33, 13089–13121. [Google Scholar] [CrossRef]
- Strieth-Kalthoff, F.; Sandfort, F.; Segler, M.H.S.; Glorius, F. Machine learning the ropes: Principles, applications and directions in synthetic chemistry. Chem. Soc. Rev. 2020, 49, 6154–6168. [Google Scholar] [CrossRef] [PubMed]
- Vapnik, V.N. An overview of statistical learning theory. IEEE Trans. Neural Netw. 1999, 10, 988–999. [Google Scholar] [CrossRef]
- Yang, L.; Liu, S.; Tsoka, S.; Papageorgiou, L.G. A regression tree approach using mathematical programming. Expert Syst. Appl. 2017, 78, 347–357. [Google Scholar] [CrossRef]
- Alajmi, M.; Almeshal, A. Least Squares Boosting Ensemble and Quantum-Behaved Particle Swarm Optimization for Predicting the Surface Roughness in Face Milling Process of Aluminum Material. Appl. Sci. 2021, 11, 2126. [Google Scholar] [CrossRef]
- Freund, R.M.; Grigas, P.; Mazumder, R. A new perspective on boosting in linear regression via subgradient optimization and relatives. Ann. Stat. 2017, 45, 2328–2364. [Google Scholar] [CrossRef]
- Paruelo, J.M.; Tomasel, F. Prediction of functional characteristics of ecosystems: A comparison of artificial neural networks and regression models. Ecol. Model. 1997, 98, 173–186. [Google Scholar] [CrossRef]
- Metropolis, N.; Ulam, S. The Monte Carlo Method. J. Am. Stat. Assoc. 1949, 44, 335–341. [Google Scholar] [CrossRef] [PubMed]
- Dao, D.V.; Adeli, H.; Ly, H.-B.; Le, L.M.; Le, V.M.; Le, T.-T.; Pham, B.T. A Sensitivity and Robustness Analysis of GPR and ANN for High-Performance Concrete Compressive Strength Prediction Using a Monte Carlo Simulation. Sustainability 2020, 12, 830. [Google Scholar] [CrossRef]
- Zhao, Q.; Hastie, T. Causal Interpretations of Black-Box Models. J. Bus. Econ. Stat. 2021, 39, 272–281. [Google Scholar] [CrossRef]
- Tran, V.Q.; Dang, V.Q.; Ho, L.S. Evaluating compressive strength of concrete made with recycled concrete aggregates using machine learning approach. Constr. Build. Mater. 2022, 323, 126578. [Google Scholar] [CrossRef]
- Casalicchio, G.; Molnar, C.; Bischl, B. Visualizing the Feature Importance for Black Box Models. In Proceedings of the Joint European Conference on Machine Learning and Knowledge Discovery in Databases, Dublin, Ireland, 10–14 September 2018; Springer: Berlin/Heidelberg, Germany, 2018; pp. 655–670. [Google Scholar]
- Crameri, F.; Shephard, G.E.; Heron, P.J. The misuse of colour in science communication. Nat. Commun. 2020, 11, 1–10. [Google Scholar] [CrossRef] [PubMed]
- Crameri, F. Geodynamic diagnostics, scientific visualisation and StagLab 3.0. Geosci. Model Dev. 2018, 11, 2541–2562. [Google Scholar] [CrossRef]
- Ming, X.; Cao, M. Development of eco-efficient cementitious composites with high fire resistance and self-healing abilities-a review. Resour. Conserv. Recycl. 2020, 162, 105017. [Google Scholar] [CrossRef]
- Reinhardt, H.-W.; Jooss, M. Permeability and self-healing of cracked concrete as a function of temperature and crack width. Cem. Concr. Res. 2003, 33, 981–985. [Google Scholar] [CrossRef]
- Li, L.; Jia, P.; Dong, J.; Shi, L.; Zhang, G.; Wang, Q. Effects of cement dosage and cooling regimes on the compressive strength of concrete after post-fire-curing from 800 °C. Constr. Build. Mater. 2017, 142, 208–220. [Google Scholar] [CrossRef]
- Rajczakowska, M.; Nilsson, L.; Habermehl-Cwirzen, K.; Hedlund, H.; Cwirzen, A. Does a High Amount of Unhydrated Portland Cement Ensure an Effective Autogenous Self-Healing of Mortar? Materials 2019, 12, 3298. [Google Scholar] [CrossRef] [PubMed]
- Zabihi, N.; Eren, O. Compressive Strength Conversion Factors of Concrete as Affected by Specimen Shape and Size. Res. J. Appl. Sci. Eng. Technol. 2014, 7, 4251–4257. [Google Scholar] [CrossRef]
- Schneider, U. Concrete at High Temperatures—A General Review. Fire Saf. J. 1988, 13, 55–68. [Google Scholar] [CrossRef]
- The MathWorks, Inc. Deep Learning Toolbox: User’s Guide (R2022b). 2022. Available online: https://se.mathworks.com/help/deeplearning/ (accessed on 16 December 2022).





















| References | ML Algorithm | Database Size | Inputs | Outputs | Accuracy | Pros | Cons |
|---|---|---|---|---|---|---|---|
| [36] | Ensemble methods: AdaBoost regressor, Decision Tree, and bagging regressor | 617 | Fly ash, limestone powder, silica fume, and initial crack width | Crack width after healing | R2 = 0.974 for bagging | Good prediction accuracy Parameter importance analysis performed | Applied only to engineered cementitious composites A small number of inputs Output does not consider durability/mechanical performance Self-healing exposure is not considered |
| [37] | Artificial Neural Network with hybrid genetic algorithm | 1462 | Cement content, w/c, type and dosage of supplementary cementitious materials, bio-healing materials, expansive and crystalline additives | Crack width after healing | R2 > 0.99 | Excellent accuracy Many inputs Large database | Output does not consider durability/mechanical performance Self-healing exposure is not considered |
| [33] | Artificial Neural Network with | 2786 | Cement content, w/c, supplementary cementitious materials content, fiber content, initial crack width, age of treatment | Self-healing index, including a combination of crack size, permeability, ultrasonic pulse velocity, and mechanical strength changes before and after healing | R2 = 0.78 (validation and testing dataset) | Model analysis Comparison with meta-analysis results Extensive database Output includes several parameters | Relatively low accuracy Self-healing exposure is not considered |
| [35] | Artificial Neural Network, k-nearest neighbors, gradient boosting regression, decision tree regression, Support Vector Regression, and a Random Forest | 1417 | Type and dosage of healing materials, fiber diameter, length and tensile strength, initial crack width, the time for healing, cracking age, the healing condition, cement type and content, superplasticizer, fine aggregates, fly ash and slag content, w/b | Crack width after healing and resonance frequency | R2 = 0.958 | Good prediction accuracy Many inputs Large database Parameter importance analysis performed Includes exposure conditions | Output does not consider durability/mechanical performance |
| [34] | Artificial Neural Network, Support Vector Machines, Classification and Regression Tree, with ensemble: bagging, AdaBoost, and stacking | 617 | Fly ash, limestone powder, silica fume, and initial crack width | Crack width after healing | R2 = 0.90 for bagging | Training on consistent experimental data Comparison of ensemble and individual models | Applied only to engineered cementitious composites A small number of inputs Output does not consider durability/mechanical performance Self-healing exposure is not considered |
| No. | References | Samples in Dataset |
|---|---|---|
| 1 | [10] | 2 |
| 2 | [43] | 56 |
| 3 | [44] | 3 |
| 4 | [11] | 4 |
| 5 | [12] | 8 |
| 6 | [45] | 4 |
| 7 | [46] | 11 |
| 8 | [47] | 48 |
| 9 | [8] | 5 |
| 10 | [48] | 24 |
| 11 | [49] | 4 |
| 12 | [50] | 28 |
| Total | 197 |
| Input/ Output | Name | Unit | Min | Max | Median | Mean | Std | Sk |
|---|---|---|---|---|---|---|---|---|
| I1 | w/c | - | 0.3 | 0.68 | 0.5 | 0.51 | 0.11 | 0.37 |
| I2 | Age | days | 3 | 90 | 28 | 43.65 | 30.70 | 0.45 |
| I3 | Cement | kg/m3 | 300 | 767 | 392 | 422.80 | 84.87 | 2.24 |
| I4 | Fine aggregate | kg/m3 | 638.04 | 1620 | 768 | 896.20 | 257.66 | 1.42 |
| I5 | Coarse aggregate | kg/m3 | 0 | 1201.59 | 914 | 818.98 | 329.04 | −1.56 |
| I6 | Peak loading temperature | °C | 400 | 1000 | 600 | 569.04 | 148.65 | 0.70 |
| I7 | Duration of peak loading temperature | min | 60 | 200 | 120 | 92.49 | 33.51 | 0.44 |
| I8 | Cooling regime | - | 0 | 1 | - | - | - | - |
| I9 | Duration of cooling | min | 10 | 4320 | 120 | 1146.50 | 1816.16 | 1.17 |
| I10 | Curing regime | - | 0 | 1 | - | - | - | - |
| I11 | Duration of curing | days | 1 | 180 | 27 | 34.33 | 45.72 | 2.22 |
| I12 | Specimen volume | cm3 | 64 | 21,205.8 | 1000.0 | 2823.5 | 3616.9 | 2.8 |
| O | Recovered compressive strength | - | 0.018 | 1.03 | 0.66 | 0.65 | 0.22 | 0.74 |
| Algorithm | Support Vector Machine | Regression Tree | Ensemble of Regression Trees | Artificial Neural Network |
|---|---|---|---|---|
| Parameters of the algorithm | Kernel function (Gaussian, linear, cubic, quadratic) Kernel scale (1–15) Box constraint—constant Epsilon—constant | Minimum leaf size (1–15) | Boosted/Bagged Minimum leaf size (1–10) Number of learners (20–100) Learning rate (0.01–1) | Number of layers (1–3) Number of neurons in the layer (2–12) Activation function (ReLu, tansig, sigmoid) |
| ML Approach | Best Model Parameters | Dataset | MSE (-) | MAE (-) | R2 (-) | RMSE (-) | NRMSE (%) |
|---|---|---|---|---|---|---|---|
| RT | Min. Leaf size 2 | Validation | 0.0079 * | 0.0651 * | 0.826 * | 0.0889 * | 13.7 * |
| Testing | 0.0067 | 0.0667 | 0.892 | 0.0821 | 12.6 | ||
| SVM | Cubic kernel, Kernel size 3 | Validation | 0.0078 * | 0.0672 * | 0.827 * | 0.0886 * | 13.6 * |
| Testing | 0.0092 | 0.0731 | 0.852 | 0.0960 | 14.8 | ||
| ET | LSBoost algorithm, Min. Leaf size 3, Number of learners 40, Learning rate 0.5 | Validation | 0.0044 * | 0.0448 * | 0.903 * | 0.0664 * | 10.2 * |
| Testing | 0.0031 | 0.0424 | 0.950 | 0.0557 | 8.6 | ||
| ANN | Layers 8:12:12, Activation function: sigmoid | Validation | 0.0084 * | 0.0617 * | 0.815 * | 0.0915 * | 14.1 * |
| Testing | 0.0063 | 0.0598 | 0.899 | 0.0795 | 12.2 | ||
| LR | - | Validation | 0.0149 * | 0.0914 * | 0.672 * | 0.1219 * | 18.8 * |
| Testing | 0.0232 | 0.1119 | 0.628 | 0.1524 | 23.4 |
| Model | Model Parameters | Dataset | MSE (-) | MAE (-) | R2 (-) | RMSE (-) | NRMSE (%) |
|---|---|---|---|---|---|---|---|
| ET1 | LSBoost algorithm, Min. Leaf size 3, Number of learners 40, Learning rate 0.5 | Validation | 0.0044 * | 0.0448 * | 0.903 * | 0.0664 * | 10.2 * |
| Testing | 0.0031 | 0.0424 | 0.950 | 0.0557 | 8.6 | ||
| ET2 | LSBoost algorithm, Min. Leaf size 5, Number of learners 100, Learning rate 0.1 | Validation | 0.0044 * | 0.0483 * | 0.903 * | 0.0662 * | 10.2 * |
| Testing | 0.0048 | 0.0519 | 0.923 | 0.0692 | 10.6 | ||
| ET3 | LSBoost algorithm, Min. Leaf size 3, Number of learners 20, Learning rate 0.5 | Validation | 0.0044 * | 0.0463 * | 0.902 * | 0.0666 * | 10.2 * |
| Testing | 0.0043 | 0.0476 | 0.931 | 0.0657 | 10.1 | ||
| ET4 | LSBoost algorithm, Min. Leaf size 2, Number of learners 100, Learning rate 0.1 | Validation | 0.0045 * | 0.0485 * | 0.901 * | 0.0669 * | 10.3 * |
| Testing | 0.0045 | 0.0491 | 0.928 | 0.0669 | 10.3 | ||
| ET5 | LSBoost algorithm, Min. Leaf size 5, Number of learners 80, Learning rate 0.1 | Validation | 0.0045 * | 0.0492 * | 0.901 * | 0.0671 * | 10.3 * |
| Testing | 0.0053 | 0.0543 | 0.915 | 0.0728 | 11.2 |
| Model | R2 (-) | MSE (-) | ||||||
|---|---|---|---|---|---|---|---|---|
| Min | Max | Mean | Std | Min | Max | Mean | Std | |
| ET1 | 0.437 | 0.979 | 0.907 | 0.049 | 0.0012 | 0.013 | 0.0042 | 0.0018 |
| ET2 | 0.690 | 0.974 | 0.901 | 0.043 | 0.0010 | 0.012 | 0.0045 | 0.0016 |
| ET3 | 0.537 | 0.977 | 0.900 | 0.047 | 0.0012 | 0.012 | 0.0045 | 0.0017 |
| ET4 | 0.585 | 0.970 | 0.901 | 0.046 | 0.0016 | 0.015 | 0.0044 | 0.0017 |
| ET5 | 0.512 | 0.972 | 0.895 | 0.048 | 0.0016 | 0.012 | 0.0047 | 0.0017 |
Disclaimer/Publisher’s Note: The statements, opinions and data contained in all publications are solely those of the individual author(s) and contributor(s) and not of MDPI and/or the editor(s). MDPI and/or the editor(s) disclaim responsibility for any injury to people or property resulting from any ideas, methods, instructions or products referred to in the content. |
© 2023 by the authors. Licensee MDPI, Basel, Switzerland. This article is an open access article distributed under the terms and conditions of the Creative Commons Attribution (CC BY) license (https://creativecommons.org/licenses/by/4.0/).
Share and Cite
Rajczakowska, M.; Szeląg, M.; Habermehl-Cwirzen, K.; Hedlund, H.; Cwirzen, A. Interpretable Machine Learning for Prediction of Post-Fire Self-Healing of Concrete. Materials 2023, 16, 1273. https://doi.org/10.3390/ma16031273
Rajczakowska M, Szeląg M, Habermehl-Cwirzen K, Hedlund H, Cwirzen A. Interpretable Machine Learning for Prediction of Post-Fire Self-Healing of Concrete. Materials. 2023; 16(3):1273. https://doi.org/10.3390/ma16031273
Chicago/Turabian StyleRajczakowska, Magdalena, Maciej Szeląg, Karin Habermehl-Cwirzen, Hans Hedlund, and Andrzej Cwirzen. 2023. "Interpretable Machine Learning for Prediction of Post-Fire Self-Healing of Concrete" Materials 16, no. 3: 1273. https://doi.org/10.3390/ma16031273
APA StyleRajczakowska, M., Szeląg, M., Habermehl-Cwirzen, K., Hedlund, H., & Cwirzen, A. (2023). Interpretable Machine Learning for Prediction of Post-Fire Self-Healing of Concrete. Materials, 16(3), 1273. https://doi.org/10.3390/ma16031273

