Mathematical Model for Estimating the Sound Absorption Coefficient in Grid Network Structures
Abstract
1. Introduction
2. Experimental Validation
2.1. Measurement Samples
2.2. Measurement Equipment
3. Simulated Analysis
3.1. Transfer Matrix of an Acoustic Element
3.2. Propagation Constant and Characteristic Impedance Considering Attenuation
3.3. Mathematical Model of the Grid Network Structure
3.3.1. Analysis Unit Surrounded by Four Rods
3.3.2. Analysis Unit Surrounded by Three Rods and Tube Wall
3.3.3. Analysis Unit Surrounded by Two Rods and Tube Wall
3.4. Transfer Matrix of the Grid Network Structure
3.4.1. Transfer Matrix of Analysis Units
3.4.2. Transmission Matrix of the Whole Sample
3.5. Derivation of the Sound Absorption Coefficient
4. Results
4.1. Experimental and Simulated Values of Sound Absorption Coefficient
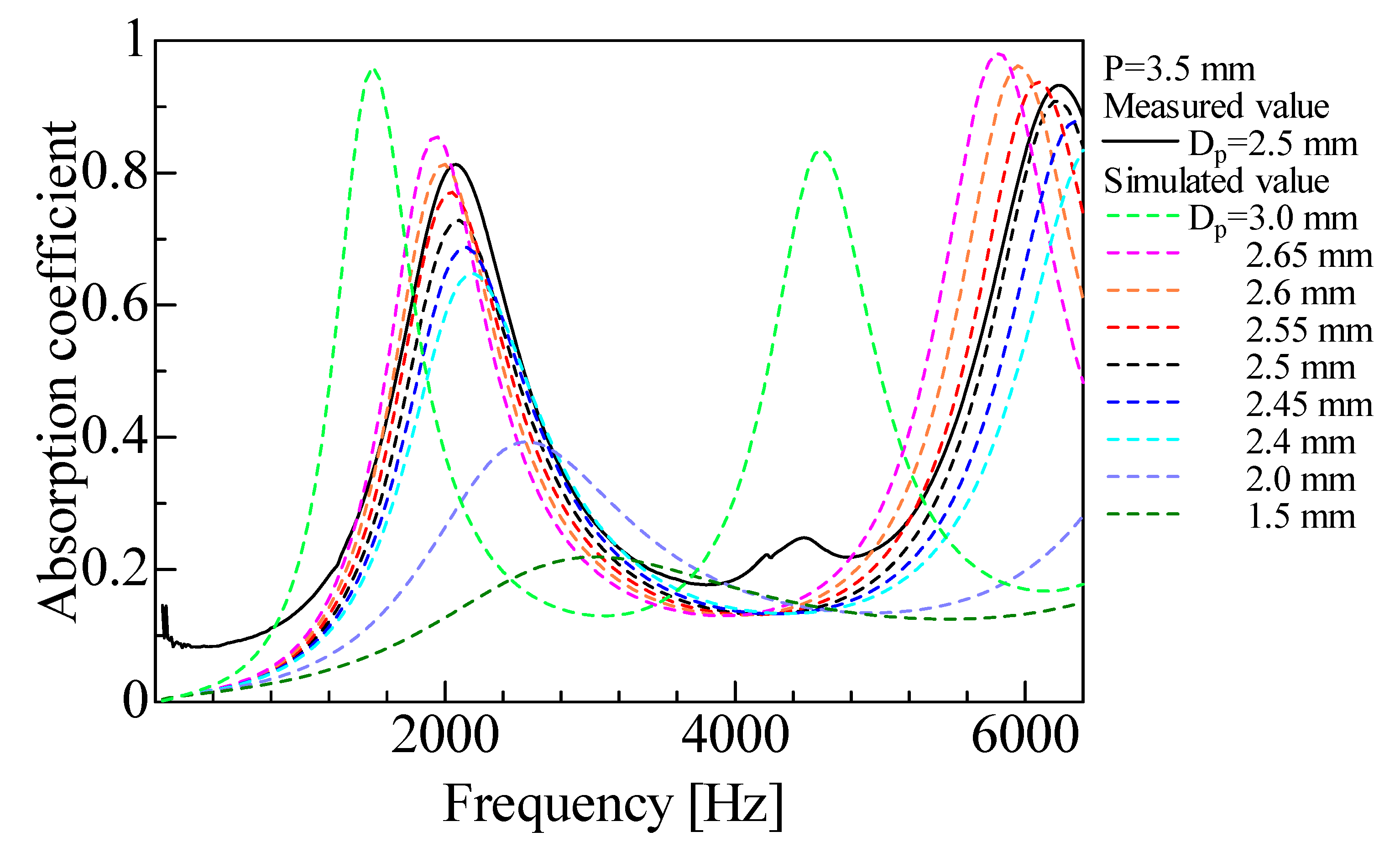
4.2. Sensitivity Analysis
5. Conclusions
Author Contributions
Funding
Institutional Review Board Statement
Informed Consent Statement
Data Availability Statement
Acknowledgments
Conflicts of Interest
References
- Zhao, T.S.; Cheng, P. Oscillatory pressure drops through a woven-screen packed column subjected to a cyclic flow. Cryogenics 1996, 36, 333–341. [Google Scholar] [CrossRef]
- Banús, E.D.; Sanz, O.; Milt, V.G.; Miró, E.E.; Montes, M. Development of a stacked wire-mesh structure for diesel soot combustion. Chem. Eng. J. 2014, 246, 353–365. [Google Scholar] [CrossRef]
- Sun, H.; Bu, S.; Luan, Y. A high-precision method for calculating the pressure drop across wire mesh filters. Chem. Eng. Sci. 2015, 127, 143–150. [Google Scholar] [CrossRef]
- Yamamoto, T.; Maruyama, S.; Terada, K.; Izui, K.; Nishiwaki, S. A generalized macroscopic model for sound-absorbing poroelastic media using the homogenization method. Comput. Methods Appl. Mech. Eng. 2011, 200, 251–264. [Google Scholar] [CrossRef]
- Satoh, T.; Sakamoto, S.; Unai, S.; Isobe, T.; Iizuka, K.; Tasaki, K.; Nitta, I.; Shintani, T. Sound-absorption coefficient of a pin-holder structure for sound waves incident in the direction perpendicular to the cylinder’s axis. Noise Control Eng. J. 2022, 70, 136–149. [Google Scholar] [CrossRef]
- Iizuka, K.; Sakamoto, S.; Sato, T.; Tasaki, K.; Nitta, I.; Mizuno, C. Theoretical Estimation and Experiment of Sound Absorption Coefficient for Mesh Structure. In Proceedings of the JSME, No.227-1, Paper No. C032, Kanazawa, Japan, 5 March 2022; 4p. [Google Scholar]
- Dias, T.; Monaragala, R. Sound absorption in knitted structures for interior noise reduction in automobiles. Meas. Sci. Technol. 2006, 17, 2499. [Google Scholar] [CrossRef]
- Gao, N.; Tang, L.; Deng, J.; Lu, K.; Hou, H.; Chen, K. Design, fabrication and sound absorption test of composite porous metamaterial with embedding I-plates into porous polyurethane sponge. Appl. Acoust. 2021, 175, 107845. [Google Scholar] [CrossRef]
- Gao, N.; Wu, J.; Lu, K.; Zhong, H. Hybrid composite meta-porous structure for improving and broadening sound absorption. Mech. Syst. Signal Process. 2021, 154, 107504. [Google Scholar] [CrossRef]
- Gao, N.; Wang, B.; Lu, K.; Hou, H. Teaching-learning-based optimization of an ultra-broadband parallel sound absorber. Appl. Acoust. 2021, 178, 107969. [Google Scholar] [CrossRef]
- Yang, F.; Wang, E.; Shen, X.; Zhang, X.; Yin, Q.; Wang, X.; Yang, X.; Shen, C.; Peng, W. Optimal Design of Acoustic Metamaterial of Multiple Parallel Hexagonal Helmholtz Resonators by Combination of Finite Element Simulation and Cuckoo Search Algorithm. Materials 2022, 15, 6450. [Google Scholar] [CrossRef] [PubMed]
- Yang, X.; Yang, F.; Shen, X.; Wang, E.; Zhang, X.; Shen, C.; Peng, W. Development of Adjustable Parallel Helmholtz Acoustic Metamaterial for Broad Low-Frequency Sound Absorption Band. Materials 2022, 15, 5938. [Google Scholar] [CrossRef] [PubMed]
- ISO 10534-2; Acoustics−Determination of Sound Absorption Coefficient and Impedance in Impedance Tubes−Part 2: Transfer-Function Method. International Organization for Standardization: Geneva, Switzerland, 1998.
- Sasao, H. A guide to acoustic analysis by Excel-Analysis of an acoustic structural characteristic-(4) Analysis of the duct system silencer by Excel. J. Soc. Heat. Air-Cond. Sanit. Eng. Jpn. 2007, 81, 51–58. (In Japanese) [Google Scholar]
- Suyama, E.; Hirata, M. Attenuation Constant of Plane Wave in a Tube: Acoustic Characteristic Analysis of Silencing Systems Based on Assuming of Plane Wave Propagation with Frictional Dissipation Part 1. J. Acoust. Soc. Jpn. 1979, 35, 165–170. (In Japanese) [Google Scholar]
- Sakamoto, S.; Hoshino, A.; Sutou, K.; Sato, T. Estimating Sound-Absorption Coefficient and Transmission Loss by the Di-mentions of Bundle of Narrow Holes (Comparison between Theoretical Analysis and Experiments). Trans. Jpn. Soc. Mech. Eng. Ser. C 2013, 79, 4164–4176. (In Japanese) [Google Scholar] [CrossRef]
- Tijdeman, H. On the propagation of sound waves in cylindrical tubes. J. Sound Vib. 1975, 39, 1–33. [Google Scholar] [CrossRef]
- Stinson, M.R. The propagation of plane sound waves in narrow and wide circular tubes, and generalization to uniform tubes of arbitrary cross—Sectional shape. J. Acoust. Soc. Am. 1991, 89, 550–558. [Google Scholar] [CrossRef]
- Stinson, M.R.; Champou, Y. Propagation of sound and the assignment of shape factors in model porous materials having simple pore geometries. J. Acoust. Soc. Am. 1992, 91, 685–695. [Google Scholar] [CrossRef]
- Allard, J.F.; Atalla, N. Propagation of Sound in Porous Media: Modeling Sound Absorbing Materials, 2nd ed.; Wiley: Hoboken, NJ, USA, 2009; pp. 45–54. [Google Scholar]
- Bolt, H.R.; Labate, S.; Ingård, U. The acoustic reactance of small circular orifices. J. Acoust. Soc. Am. 1949, 21, 94–97. [Google Scholar] [CrossRef]
- Benade, A.H. Measured End Corrections for Woodwind Tone—Holes. J. Acoust. Soc. Am. 1967, 41, 1609. [Google Scholar] [CrossRef]
- Sakamoto, S.; Higuchi, K.; Saito, K.; Koseki, S. Theoretical analysis for sound-absorbing materials using layered narrow clearances between two planes. J. Adv. Mech. Des. Syst. Manuf. 2014, 8, JAMDSM0036. [Google Scholar] [CrossRef]
























Disclaimer/Publisher’s Note: The statements, opinions and data contained in all publications are solely those of the individual author(s) and contributor(s) and not of MDPI and/or the editor(s). MDPI and/or the editor(s) disclaim responsibility for any injury to people or property resulting from any ideas, methods, instructions or products referred to in the content. |
© 2023 by the authors. Licensee MDPI, Basel, Switzerland. This article is an open access article distributed under the terms and conditions of the Creative Commons Attribution (CC BY) license (https://creativecommons.org/licenses/by/4.0/).
Share and Cite
Satoh, T.; Sakamoto, S.; Isobe, T.; Iizuka, K.; Tasaki, K. Mathematical Model for Estimating the Sound Absorption Coefficient in Grid Network Structures. Materials 2023, 16, 1124. https://doi.org/10.3390/ma16031124
Satoh T, Sakamoto S, Isobe T, Iizuka K, Tasaki K. Mathematical Model for Estimating the Sound Absorption Coefficient in Grid Network Structures. Materials. 2023; 16(3):1124. https://doi.org/10.3390/ma16031124
Chicago/Turabian StyleSatoh, Takamasa, Shuichi Sakamoto, Takunari Isobe, Kenta Iizuka, and Kastsuhiko Tasaki. 2023. "Mathematical Model for Estimating the Sound Absorption Coefficient in Grid Network Structures" Materials 16, no. 3: 1124. https://doi.org/10.3390/ma16031124
APA StyleSatoh, T., Sakamoto, S., Isobe, T., Iizuka, K., & Tasaki, K. (2023). Mathematical Model for Estimating the Sound Absorption Coefficient in Grid Network Structures. Materials, 16(3), 1124. https://doi.org/10.3390/ma16031124

