Theoretical Nanoarchitectonics of GaN Nanowires for Ultraviolet Irradiation-Dependent Electromechanical Properties
Abstract
1. Introduction
2. Basic Equations for a GaN Nanowire under Light Irradiation
3. Results and Discussion
4. Conclusions
- By incorporating the photoconductive and photothermal effects, a multi-field coupling model is proposed, which can consider photoexcitation nonequilibrium carriers in PSCs.
- Due to the synergy of piezoelectricity, photoconductivity, and photoexcitation induced-pyroelectricity, the physical field distributions in a GaN nanowire are significantly affected by ultraviolet, including the polarization charge, potential, electric field, and carrier concentration.
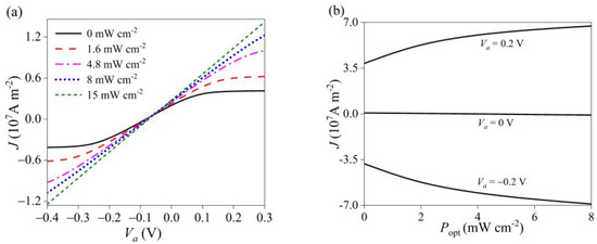
- Ultraviolet light can be applied to regulate the height of the Schottky barrier and even make the rectifying characteristics disappear. That is, the electrical correlation characteristics of a GaN Schottky junction device are highly sensitive to ultraviolet light. This provides a novel, non-contact method for tuning the electrical transport performance of a GaN Schottky junction device.
- Finally, it is worth noting that, as a preliminary study and for simplification, the effects of ultraviolet excitation on the electromechanical properties of nanowires were only investigated by using theoretical and numerical methods in this work. Obviously, further experimental studies need to be done, such as the tests of the photoconductivity and photothermal effects, to verify the regulation of ultraviolet light on the electrical transmission properties and reveal the physical mechanism of such a complex and coupling problem.
Author Contributions
Funding
Institutional Review Board Statement
Informed Consent Statement
Data Availability Statement
Conflicts of Interest
References
- Bai, Z.; Zhang, Q.; Zhang, Y.; Huang, Z.; Gao, Y.; Liu, J.; Wang, X. Enhanced photocurrent of self-powered ultraviolet photodetectors based on Ba1-xSrxTiO3 ceramics via ferroelectric polarization. J. Alloy. Compd. 2021, 885, 161177. [Google Scholar] [CrossRef]
- Ariga, K. Nanoarchitectonics: What’s coming next after nanotechnology? Nanoscale Horiz. 2021, 6, 364–378. [Google Scholar] [CrossRef]
- Nam, C.-Y.; Jaroenapibal, P.; Tham, D.; Luzzi, D.E.; Evoy, S.; Fischer, J.E. Diameter-dependent electromechanical properties of GaN nanowires. Nano Lett. 2006, 6, 153–158. [Google Scholar] [CrossRef] [PubMed]
- Huang, H.; Qian, Z.; Yang, J. IV characteristics of a piezoelectric semiconductor nanofiber under local tensile/compressive stress. J. Appl. Phys. 2019, 126, 164902. [Google Scholar] [CrossRef]
- Guo, M.; Lu, C.; Qin, G.; Zhao, M. Temperature gradient-dominated electrical behaviours in a piezoelectric PN junction. J. Electron. Mater. 2021, 50, 947–953. [Google Scholar] [CrossRef]
- Lu, S.; Qi, J.; Liu, S.; Zhang, Z.; Wang, Z.; Lin, P.; Liao, Q.; Liang, Q.; Zhang, Y. Piezotronic interface engineering on ZnO/Au-based Schottky junction for enhanced photoresponse of a flexible self-powered UV detector. ACS Appl. Mater. Interfaces 2014, 6, 14116–14122. [Google Scholar] [CrossRef] [PubMed]
- Yang, M.; Zhang, X.; Ozkan, C.S. Modeling and optimal design of high-sensitivity piezoresistive microcantilevers within flow channels for biosensing applications. Biomed. Microdevices 2003, 5, 323–332. [Google Scholar] [CrossRef]
- Wu, J.M.; Chen, K.-H.; Zhang, Y.; Wang, Z.L. A self-powered piezotronic strain sensor based on single ZnSnO3 microbelts. RSC Adv. 2013, 3, 25184–25189. [Google Scholar] [CrossRef]
- Mai, W.; Liang, Z.; Zhang, L.; Yu, X.; Liu, P.; Zhu, H.; Cai, X.; Tan, S. Strain sensing mechanism of the fabricated ZnO nanowire-polymer composite strain sensors. Chem. Phys. Lett. 2012, 538, 99–101. [Google Scholar] [CrossRef]
- Peng, L.; Hu, L.; Fang, X. Energy harvesting for nanostructured self-powered photodetectors. Adv. Funct. Mater. 2014, 24, 2591–2610. [Google Scholar] [CrossRef]
- Lin, P.; Yan, X.; Zhang, Z.; Shen, Y.; Zhao, Y.; Bai, Z.; Zhang, Y. Self-powered UV photosensor based on PEDOT:PSS/ZnO micro/nanowire with strain-modulated photoresponse. ACS Appl. Mater. 2013, 5, 3671–3676. [Google Scholar] [CrossRef] [PubMed]
- Lin, P.; Yan, X.; Liu, Y.; Li, P.; Lu, S.; Zhang, Y. A tunable ZnO/electrolyte heterojunction for a self-powered photodetector. Phys. Chem. Chem. Phys. 2014, 16, 26697–26700. [Google Scholar] [CrossRef] [PubMed]
- Luo, Q.; Tong, L. Constitutive modeling of photostrictive materials and design optimization of microcantilevers. J. Intell. Mater. Syst. Struct. 2009, 20, 1425–1438. [Google Scholar] [CrossRef]
- Grundmann, M. The Physics of Semiconductors; Springer: Berlin/Heidelberg, Germany, 2010. [Google Scholar]
- Wang, Z.L. Progress in Piezotronics and Piezo-Phototronics. Adv. Mater. 2012, 24, 4632–4646. [Google Scholar] [CrossRef]
- Zhang, W.; Jiang, D.; Zhao, M.; Duan, Y.; Zhou, X.; Yang, X.; Shan, C.; Qin, J.; Gao, S.; Liang, Q.; et al. Piezo-phototronic effect for enhanced sensitivity and response range of ZnO thin film flexible UV photodetectors. J. Appl. Phys. 2019, 125, 024502. [Google Scholar] [CrossRef]
- Wallys, J.; Hoffmann, S.; Furtmayr, F.; Teubert, J.; Eickhoff, M. Electrochemical properties of GaN nanowire electrodes-Influence of doping and control by external bias. Nanotechnology 2012, 23, 165701. [Google Scholar] [CrossRef]
- Gao, P.; Wang, Z.Z.; Liu, K.H.; Xu, Z.; Wang, W.L.; Bai, X.D.; Wang, E.G. Photoconducting response on bending of individual ZnO nanowires. J. Mater. Chem. 2009, 19, 1002–1005. [Google Scholar] [CrossRef]
- Guo, W.; Yang, Y.; Qi, J.; Zhao, J.; Zhang, Y. Localized ultraviolet photoresponse in single bent ZnO micro/nanowires. Appl. Phys. Lett. 2010, 97, 133112. [Google Scholar] [CrossRef]
- Yu, J.; Huang, B.; Zheng, X.; Wang, H.; Chen, F.; Xie, S.; Wang, Q.; Li, J. Spatiotemporally correlated imaging of interfacial defects and photocurrents in high efficiency triple-cation mixed-halide perovskites. Small 2022, 18, 2200523. [Google Scholar] [CrossRef]
- Li, Y.-H.; Yu, C.-B.; Li, Z.; Jiang, P.; Zhou, X.-Y.; Gao, C.-F.; Li, J. Layer-dependent and light-tunable surface potential of two-dimensional indium selenide (InSe) flakes. Rare Metals 2020, 39, 1356–1363. [Google Scholar] [CrossRef]
- Hu, Y.; Chang, Y.; Fei, P.; Snyder, R.L.; Wang, Z.L. Designing the Electric Transport Characteristics of ZnO Micro/Nanowire Devices by Coupling Piezoelectric and Photoexcitation Effects. ACS Nano 2010, 4, 1234–1240. [Google Scholar] [CrossRef] [PubMed]
- Wang, Z.; Qi, J.; Lu, S.; Li, P.; Li, X.; Zhang, Y. Enhancing sensitivity of force sensor based on a ZnO tetrapod by piezo-phototronic effect. Appl. Phys. Lett. 2013, 103, 143125. [Google Scholar] [CrossRef]
- Lin, P.; Gu, Y.S.; Yan, X.Q.; Lu, S.N.; Zhang, Z.; Zhang, Y. Illumination-dependent free carrier screening effect on the performance evolution of ZnO piezotronic strain sensor. Nano Res. 2016, 9, 1091–1100. [Google Scholar] [CrossRef]
- Huang, J.H.; Wang, X.J.; Wang, J. A mathematical model for predicting photo-induced voltage and photostriction of PLZT with coupled multi-physics fields and its application. Smart Mater. Struct. 2015, 25, 025002. [Google Scholar] [CrossRef]
- Zhao, M.; Wang, Y.; Guo, C.; Lu, C.; Xu, G.; Qin, G. Temperature-dependent bending strength in piezoelectric semiconductive ceramics. Ceram. Int. 2021, 48, 2771–2775. [Google Scholar] [CrossRef]
- Zhao, M.; Pan, Y.; Fan, C.; Xu, G. Extended displacement discontinuity method for analysis of cracks in 2D thermal piezoelectric semiconductors. Smart Mater. Struct. 2017, 26, 085029. [Google Scholar] [CrossRef]
- Fan, C.Y.; Yan, Y.; Xu, G.T.; Zhao, M.H. Piezoelectric-conductor iterative method for analysis of cracks in piezoelectric semiconductors via the finite element method. Eng. Fract. Mech. 2016, 165, 183–196. [Google Scholar] [CrossRef]
- Vasileska, D.; Goodnick, S.M.; Klimeck, G. Computational Electronics: Semiclassical and Quantum Device Modeling and Simulation; CRC Press: Boca Raton, FL, USA, 2017. [Google Scholar]
- Cheng, R.; Zhang, C.; Yang, J. Thermally induced carrier distribution in a piezoelectric semiconductor fiber. J. Electron. Mater. 2019, 48, 4939–4946. [Google Scholar] [CrossRef]
- Dai, X.; Zhu, F.; Qian, Z.; Yang, J. Electric potential and carrier distribution in a piezoelectric semiconductor nanowire in time-harmonic bending vibration. Nano Energy 2018, 43, 22–28. [Google Scholar] [CrossRef]
- Holzapfel, G.A. Nonlinear solid mechanics: A continuum approach for engineering science. Meccanica 2002, 37, 489–490. [Google Scholar] [CrossRef]
- Bykhovski, A.; Gelmont, B.; Shur, M.; Khan, A. Current-voltage characteristics of strained piezoelectric structures. J. Appl. Phys. 1995, 77, 1616–1620. [Google Scholar] [CrossRef]
- Araneo, R.; Bini, F.; Pea, M.; Notargiacomo, A.; Rinaldi, A.; Lovat, G.; Celozzi, S. Current–voltage characteristics of ZnO nanowires under uniaxial loading. IEEE Trans. Nanotechnol. 2014, 13, 724–735. [Google Scholar] [CrossRef]
- Sze, S.M.; Li, Y.; Ng, K.K. Physics of Semiconductor Devices; John Wiley & Sons: Hoboken, NJ, USA, 2021. [Google Scholar]
- Qin, G.S.; Ma, S.J.; Lu, C.S.; Wang, G.; Zhao, M.H. Influence of electric field and current on the strength of depoled GaN piezoelectric semiconductive ceramics. Ceram. Int. 2018, 44, 4169–4175. [Google Scholar] [CrossRef]
- Qin, G.S.; Zhou, X.P.; Wang, Y.; Lu, C.S.; Zhao, M.H. Polarization-dominated thermal-electric-mechanical behaviours in GaN ceramics. Ceram. Int. 2022, 48, 29816–29821. [Google Scholar] [CrossRef]
- Levinshtein, M.E.; Rumyantsev, S.L.; Shur, M.S. Properties of Advanced Semiconductor Materials: GaN, AIN, InN, BN, SiC, SiGe; John Wiley & Sons: Hoboken, NJ, USA, 2001. [Google Scholar]
- Jayaprakash, R.; Ajagunna, D.; Germanis, S.; Androulidaki, M.; Tsagaraki, K.; Georgakilas, A.; Pelekanos, N.T. Extraction of absorption coefficients from as-grown GaN nanowires on opaque substrates using all-optical method. Opt. Express 2014, 22, 19555–19566. [Google Scholar] [CrossRef]
- Kremer, R.K.; Cardona, M.; Schmitt, E.; Blumm, J.; Estreicher, S.K.; Sanati, M.; Bockowski, M.; Grzegory, I.; Suski, T.; Jezowski, A. Heat capacity of α−GaN: Isotope effects. Phys. Rev. B 2005, 72, 075209. [Google Scholar] [CrossRef]
- Guo, M.K.; Qin, G.S.; Lu, C.; Zhao, M.H. Nonlinear solution of a piezoelectric PN junction under temperature gradient. Int. J. Appl. Mech. 2022, 14, 2150125. [Google Scholar] [CrossRef]
- Cheng, R.; Zhang, C.; Chen, W.; Yang, J. Temperature effects on PN junctions in piezoelectric semiconductor fibers with thermoelastic and pyroelectric couplings. J. Electron. Mater. 2020, 49, 3140–3148. [Google Scholar] [CrossRef]
- Araneo, R.; Lovat, G.; Falconi, C.; Notargiacomo, A.; Rinaldi, A. Accurate models for the current-voltage characteristics of vertically compressed piezo-semiconductive quasi-1D NWs. MRS Online Proc. Libr. 2013, 1556, 803. [Google Scholar] [CrossRef]
- Colinge, J.P.; Colinge, C.A. Physics of Semiconductor Devices; Springer: New York, NY, USA, 2005. [Google Scholar]
- Khusayfan, N.M.; Qasrawi, A.F.; Khanfar, H.K. Impact of Yb, In, Ag and Au thin film substrates on the crystalline nature, Schottky barrier formation and microwave trapping properties of Bi2O3 films. Mater. Sci. Semicond. Process. 2017, 64, 63–70. [Google Scholar] [CrossRef]
- Zhou, L. Development and Characterization of Ohmic and Schottky Contacts for Gallium N and Aluminum Gallium Nitride Devices. Ph.D. Thesis, University of Illinois at Urbana-Champaign, Champaign, IL, USA, 2002. [Google Scholar]
- Guo, P.; Jiang, J.; Shen, S.; Guo, L. ZnS/ZnO heterojunction as photoelectrode: Type II band alignment towards enhanced photoelectrochemical performance. Int. J. Hydrog. Energy 2013, 38, 13097–13103. [Google Scholar] [CrossRef]
- Lin, P.; Chen, X.; Yan, X.; Zhang, Z.; Yuan, H.; Li, P.; Zhao, Y.; Zhang, Y. Enhanced photoresponse of Cu2O/ZnO heterojunction with piezo-modulated interface engineering. Nano Res. 2014, 7, 860–868. [Google Scholar] [CrossRef]





| Property | Parameter | Value | Unit |
|---|---|---|---|
| Elastic constant | c33 | 289.2 | GPa |
| Piezoelectric constant | e33 | 0.61 | C m−2 |
| Dielectric constant | κ33 | 9.39 × 10−11 | F m−1 |
| Hole mobility constant | μ p 33 | 192 | cm2 V−1 s−1 |
| Hole diffusion constant | d p 33 | 5 | cm2 s−1 |
| Electron mobility constant | 560 | cm2 V−1 s−1 | |
| Electron diffusion constant | 25 | cm2 s−1 | |
| Thermal expansion coefficient | λ33 | 1.69 × 106 | N m−2 K−1 |
| Pyroelectric constant | p33 | −3.8 × 10−6 | C m−2 K−1 |
| Intrinsic carrier concentration | Ni | 3.43 × 10−4 | m−3 |
| Photogenic electron lifetime | τn | 1.67 × 10−5 | s |
| Photogenic hole lifetime | τp | 1.67 × 10−5 | s |
| Optical absorption coefficient | α | 1 × 105 | cm−1 |
| Heat capacity at constant pressure | Cp | 490 | J kg−1 K−1 |
Disclaimer/Publisher’s Note: The statements, opinions and data contained in all publications are solely those of the individual author(s) and contributor(s) and not of MDPI and/or the editor(s). MDPI and/or the editor(s) disclaim responsibility for any injury to people or property resulting from any ideas, methods, instructions or products referred to in the content. |
© 2023 by the authors. Licensee MDPI, Basel, Switzerland. This article is an open access article distributed under the terms and conditions of the Creative Commons Attribution (CC BY) license (https://creativecommons.org/licenses/by/4.0/).
Share and Cite
Yang, K.; Qin, G.; Wang, L.; Zhao, M.; Lu, C. Theoretical Nanoarchitectonics of GaN Nanowires for Ultraviolet Irradiation-Dependent Electromechanical Properties. Materials 2023, 16, 1080. https://doi.org/10.3390/ma16031080
Yang K, Qin G, Wang L, Zhao M, Lu C. Theoretical Nanoarchitectonics of GaN Nanowires for Ultraviolet Irradiation-Dependent Electromechanical Properties. Materials. 2023; 16(3):1080. https://doi.org/10.3390/ma16031080
Chicago/Turabian StyleYang, Kun, Guoshuai Qin, Lei Wang, Minghao Zhao, and Chunsheng Lu. 2023. "Theoretical Nanoarchitectonics of GaN Nanowires for Ultraviolet Irradiation-Dependent Electromechanical Properties" Materials 16, no. 3: 1080. https://doi.org/10.3390/ma16031080
APA StyleYang, K., Qin, G., Wang, L., Zhao, M., & Lu, C. (2023). Theoretical Nanoarchitectonics of GaN Nanowires for Ultraviolet Irradiation-Dependent Electromechanical Properties. Materials, 16(3), 1080. https://doi.org/10.3390/ma16031080

