Synthesis of a Magnetic Nanostructured Composite Sorbent Only from Waste Materials
Abstract
1. Introduction
2. Materials and Methods
2.1. Synthesis of Magnetic Composites 3
2.2. Preliminary Adsorption Tests
2.3. Kinetics Experiments
2.4. pH-Dependence of Adsorption
2.5. Isotherm Determination Studies
2.6. Thermodynamic Parameters
2.7. Reusability Studies
2.8. Characterization
3. Results and Discussion
3.1. Synthesis of the New Materials
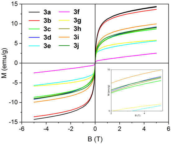
3.2. Magnetization
3.3. Morphology and Composition Analysis by SEM/EDX
3.4. FTIR-Studies
3.5. Preliminary Sorption Tests
3.6. XRD Studies
3.7. XPS Analysis of Composite 3d
3.8. Effect of Contact Time
3.9. pH Dependency of the Sorption Capacity
3.10. Effect of Initial CV Concentration and Isotherms
3.11. Effect of Temperature
3.12. Desorption/Reusability
3.13. Comparison with Other Sorbents
4. Conclusions
Supplementary Materials
Author Contributions
Funding
Institutional Review Board Statement
Informed Consent Statement
Data Availability Statement
Acknowledgments
Conflicts of Interest
References
- Panwar, N.L.; Kaushik, S.C.; Kothari, S. Role of renewable energy sources in environmental protection: A review. Renew. Sustain. Energy Rev. 2011, 15, 1513–1524. [Google Scholar] [CrossRef]
- Pongrácz, E. Through waste prevention towards corporate sustainability: Analysis of the concept of waste and a review of attitudes towards waste prevention. Sustain. Dev. 2009, 17, 92–101. [Google Scholar] [CrossRef]
- Kalmykova, Y.; Sadagopan, M.; Rosado, L. Circular economy—From review of theories and practices to development of implementation tools. Resour. Conserv. Recycl. 2018, 135, 190–201. [Google Scholar] [CrossRef]
- Anastas, P.; Eghbali, N. Green Chemistry: Principles and Practice. Chem. Soc. Rev. 2010, 39, 301–312. [Google Scholar] [CrossRef] [PubMed]
- Suresh, A.; Grygolowicz-Pawlak, E.; Pathak, S.; Poh, L.S.; Abdul Majid, M.b.; Dominiak, D.; Bugge, T.V.; Gao, X.; Ng, W.J. Understanding and optimization of the flocculation process in biological wastewater treatment processes: A review. Chemosphere 2018, 210, 401–416. [Google Scholar] [CrossRef] [PubMed]
- Yang, Z.; Zhou, Y.; Feng, Z.; Rui, X.; Zhang, T.; Zhang, Z. A Review on Reverse Osmosis and Nanofiltration Membranes for Water Purification. Polymers 2019, 11, 1252. [Google Scholar] [CrossRef] [PubMed]
- Cescon, A.; Jiang, J.-Q. Filtration Process and Alternative Filter Media Material in Water Treatment. Water 2020, 12, 3377. [Google Scholar] [CrossRef]
- Ali, I. New Generation Adsorbents for Water Treatment. Chem. Rev. 2012, 112, 5073–5091. [Google Scholar] [CrossRef]
- Chai, W.S.; Cheun, J.Y.; Kumar, P.S.; Mubashir, M.; Majeed, Z.; Banat, F.; Ho, S.-H.; Show, P.L. A review on conventional and novel materials towards heavy metal adsorption in wastewater treatment application. J. Clean. Prod. 2021, 296, 126589. [Google Scholar] [CrossRef]
- Gadore, V.; Ahmaruzzaman, M. Tailored fly ash materials: A recent progress of their properties and applications for remediation of organic and inorganic contaminants from water. J. Water Process Eng. 2021, 41, 101910. [Google Scholar] [CrossRef]
- Mashkoor, F.; Nasar, A. Environmental Application of Agro-waste Derived Materials for the Treatment of Dye-polluted Water: A Review. Curr. Anal. Chem. 2021, 17, 904–916. [Google Scholar] [CrossRef]
- Solangi, N.H.; Kumar, J.; Mazari, S.A.; Ahmed, S.; Fatima, N.; Mubarak, N.M. Development of fruit waste derived bio-adsorbents for wastewater treatment: A review. J. Hazard. Mater. 2021, 416, 125848. [Google Scholar] [CrossRef]
- Ngeno, E.C.; Mbuci, K.E.; Necibi, M.C.; Shikuku, V.O.; Olisah, C.; Ongulu, R.; Matovu, H.; Ssebugere, P.; Abushaban, A.; Sillanpää, M. Sustainable re-utilization of waste materials as adsorbents for water and wastewater treatment in Africa: Recent studies, research gaps, and way forward for emerging economies. Environ. Adv. 2022, 9, 100282. [Google Scholar] [CrossRef]
- Chikri, R.; Elhadiri, N.; Benchanaa, M.; El Maguana, Y. Efficiency of Sawdust as Low-Cost Adsorbent for Dyes Removal. J. Chem. 2020, 2020, 8813420. [Google Scholar] [CrossRef]
- Memon, S.Q.; Memon, N.; Shah, S.W.; Khuhawar, M.Y.; Bhanger, M.I. Sawdust—A green and economical sorbent for the removal of cadmium (II) ions. J. Hazard. Mater. 2007, 139, 116–121. [Google Scholar] [CrossRef] [PubMed]
- Memon, S.Q.; Bhanger, M.I.; Khuhawar, M.Y. Preconcentration and separation of Cr(III) and Cr(VI) using sawdust as a sorbent. Anal. Bioanal. Chem. 2005, 383, 619–624. [Google Scholar] [CrossRef] [PubMed]
- Dulman, V.; Cucu-Man, S.M. Sorption of some textile dyes by beech wood sawdust. J. Hazard. Mater. 2009, 162, 1457–1464. [Google Scholar] [CrossRef]
- Ferrero, F. Dye removal by low cost adsorbents: Hazelnut shells in comparison with wood sawdust. J. Hazard. Mater. 2007, 142, 144–152. [Google Scholar] [CrossRef]
- Qureshi, T.; Memon, N.; Memon, S.Q.; Ashraf, M.A. Decontamination of ofloxacin: Optimization of removal process onto sawdust using response surface methodology. Desalination Water Treat. 2016, 57, 221–229. [Google Scholar] [CrossRef]
- Peralta, M.E.; Ocampo, S.; Funes, I.G.; Onaga Medina, F.; Parolo, M.E.; Carlos, L. Nanomaterials with Tailored Magnetic Properties as Adsorbents of Organic Pollutants from Wastewaters. Inorganics 2020, 8, 24. [Google Scholar] [CrossRef]
- Panda, S.K.; Aggarwal, I.; Kumar, H.; Prasad, L.; Kumar, A.; Sharma, A.; Vo, D.-V.N.; Van Thuan, D.; Mishra, V. Magnetite nanoparticles as sorbents for dye removal: A review. Environ. Chem. Lett. 2021, 19, 2487–2525. [Google Scholar] [CrossRef]
- Hassan, M.; Naidu, R.; Du, J.; Liu, Y.; Qi, F. Critical review of magnetic biosorbents: Their preparation, application, and regeneration for wastewater treatment. Sci. Total Environ. 2020, 702, 134893. [Google Scholar] [CrossRef] [PubMed]
- Mehmood, A.; Khan, F.S.A.; Mubarak, N.M.; Tan, Y.H.; Karri, R.R.; Khalid, M.; Walvekar, R.; Abdullah, E.C.; Nizamuddin, S.; Mazari, S.A. Magnetic nanocomposites for sustainable water purification—A comprehensive review. Environ. Sci. Pollut. Res. 2021, 28, 19563–19588. [Google Scholar] [CrossRef] [PubMed]
- Gan, W.; Gao, L.; Zhan, X.; Li, J. Preparation of thiol-functionalized magnetic sawdust composites as an adsorbent to remove heavy metal ions. Rsc. Adv. 2016, 6, 37600–37609. [Google Scholar] [CrossRef]
- Shah, J.; Jan, M.R.; Khan, M.; Amir, S. Removal and recovery of cadmium from aqueous solutions using magnetic nanoparticle-modified sawdust: Kinetics and adsorption isotherm studies. Desalination Water Treat. 2016, 57, 9736–9744. [Google Scholar] [CrossRef]
- Mallakpour, S.; Sirous, F.; Dinari, M. Bio-sorbent alginate/citric acid-sawdust/Fe3O4 nanocomposite beads for highly efficient removal of malachite green from water. Int. J. Biol. Macromol. 2022, 222, 2683–2696. [Google Scholar] [CrossRef]
- Ibrahim, N.A.; Abdellatif, F.H.H.; Hasanin, M.S.; Abdellatif, M.M. Fabrication, characterization, and potential application of modified sawdust sorbents for efficient removal of heavy metal ions and anionic dye from aqueous solutions. J. Clean. Prod. 2022, 332, 130021. [Google Scholar] [CrossRef]
- Fan, S.; Pei, S.; Shen, T.; Xu, G.; Li, Y.; Fan, W. Fabrication of Superhydrophobic Magnetic Sawdust as Effective and Recyclable Oil Sorbents. Materials 2019, 12, 3432. [Google Scholar] [CrossRef]
- Yin, Z.; Li, Y.; Song, T.; Bao, M.; Li, Y.; Lu, J.; Li, Y. Preparation of superhydrophobic magnetic sawdust for effective oil/water separation. J. Clean. Prod. 2020, 253, 120058. [Google Scholar] [CrossRef]
- Briffa, J.; Sinagra, E.; Blundell, R. Heavy metal pollution in the environment and their toxicological effects on humans. Heliyon 2020, 6, e04691. [Google Scholar] [CrossRef]
- Taoufik, N.; Boumya, W.; Janani, F.Z.; Elhalil, A.; Mahjoubi, F.Z.; Barka, N. Removal of emerging pharmaceutical pollutants: A systematic mapping study review. J. Environ. Chem. Eng. 2020, 8, 104251. [Google Scholar] [CrossRef]
- Varjani, S.; Rakholiya, P.; Shindhal, T.; Shah, A.V.; Ngo, H.H. Trends in dye industry effluent treatment and recovery of value added products. J. Water Process Eng. 2021, 39, 101734. [Google Scholar] [CrossRef]
- Tkaczyk, A.; Mitrowska, K.; Posyniak, A. Synthetic organic dyes as contaminants of the aquatic environment and their implications for ecosystems: A review. Sci. Total Environ. 2020, 717, 137222. [Google Scholar] [CrossRef] [PubMed]
- Benkhaya, S.; M’rabet, S.; El Harfi, A. A review on classifications, recent synthesis and applications of textile dyes. Inorg. Chem. Commun. 2020, 115, 107891. [Google Scholar] [CrossRef]
- Saeed, A.; Sharif, M.; Iqbal, M. Application potential of grapefruit peel as dye sorbent: Kinetics, equilibrium and mechanism of crystal violet adsorption. J. Hazard. Mater. 2010, 179, 564–572. [Google Scholar] [CrossRef]
- Dar, M.A.; Anas, M.; Kajal, K.; Kumar, S.; Kaushik, G. Adsorptive removal of crystal violet dye by Azadirachta indica (neem) sawdust: A low-cost bio-sorbent. Acta Ecol. Sin. 2023, 43, 1049–1057. [Google Scholar] [CrossRef]
- Ali, I.; Peng, C.; Khan, Z.M.; Sultan, M.; Naz, I. Green Synthesis of Phytogenic Magnetic Nanoparticles and Their Applications in the Adsorptive Removal of Crystal Violet from Aqueous Solution. Arab. J. Sci. Eng. 2018, 43, 6245–6259. [Google Scholar] [CrossRef]
- Ganea, I.V.; Nan, A.; Baciu, C.; Turcu, R. Effective Removal of Crystal Violet Dye Using Neoteric Magnetic Nanostructures Based on Functionalized Poly(Benzofuran-co-Arylacetic Acid): Investigation of the Adsorption Behaviour and Reusability. Nanomaterials 2021, 11, 679. [Google Scholar] [CrossRef]
- Qu, J.; Shi, J.; Wang, Y.; Tong, H.; Zhu, Y.; Xu, L.; Wang, Y.; Zhang, B.; Tao, Y.; Dai, X.; et al. Applications of functionalized magnetic biochar in environmental remediation: A review. J. Hazard. Mater. 2022, 434, 128841. [Google Scholar] [CrossRef]
- Yu, C.; Dongxu, L.; Hongyu, C.; Suiyi, Z.; Xianze, W.; Jiakuan, Y.; Xinfeng, X.; Eskola, J.; Dejun, B. Review of resource utilization of Fe-rich sludges: Purification, upcycling, and application in wastewater treatment. Environ. Rev. 2022, 30, 460–484. [Google Scholar] [CrossRef]
- Jiang, G.; Li, H.; Cheng, T.; Tian, Y.; Liu, P.; Guo, J.; Cui, K.; Ma, R.; Ma, X.; Cui, F.; et al. Novel preparation of sludge-based spontaneous magnetic biochar combination with red mud for the removal of Cu2+ from wastewater. Chem. Phys. Lett. 2022, 806, 139993. [Google Scholar] [CrossRef]
- Chen, C.; Liu, J.; Gen, C.; Liu, Q.; Zhu, X.; Qi, W.; Wang, F. Synthesis of zero-valent iron/biochar by carbothermal reduction from wood waste and iron mud for removing rhodamine B. Environ. Sci. Pollut. Res. 2021, 28, 48556–48568. [Google Scholar] [CrossRef] [PubMed]
- Zhu, S.; Wang, W.; Xu, Y.; Zhu, Z.; Liu, Z.; Cui, F. Iron sludge-derived magnetic Fe0/Fe3C catalyst for oxidation of ciprofloxacin via peroxymonosulfate activation. Chem. Eng. J. 2019, 365, 99–110. [Google Scholar] [CrossRef]
- Wang, Y.; Li, H.; Shao, Y.; Guo, H.; Liu, Z.; Hu, G.; Xiang, H.; Hu, J. Removal of elemental mercury using magnetic Fe-containing carbon prepared from sludge flocculated with ferrous sulfate by zinc chloride activation. J. Energy Inst. 2021, 98, 98–106. [Google Scholar] [CrossRef]
- Zhu, S.; Dong, G.; Yu, Y.; Yang, J.; Yang, W.; Fan, W.; Zhou, D.; Liu, J.; Zhang, L.; Huo, M.; et al. Hydrothermal synthesis of a magnetic adsorbent from wasted iron mud for effective removal of heavy metals from smelting wastewater. Environ. Sci. Pollut. Res. 2018, 25, 22710–22724. [Google Scholar] [CrossRef] [PubMed]
- Shuai, F.; Zhi-quiang, L.; Yu, C.; Ming-xin, H.; De-jun, B.; Xia, Y.; Zhi, G.; Sui-yi, Z. Synthesis of magnetic materials by solvothermal method with iron-mud and adsorption of methylene blue in aqueous solution. Chin. J. Nonferrous Met. 2015, 25, 1109–1115. [Google Scholar]
- Zhu, S.; Fang, S.; Huo, M.; Yu, Y.; Chen, Y.; Yang, X.; Geng, Z.; Wang, Y.; Bian, D.; Huo, H. A novel conversion of the groundwater treatment sludge to magnetic particles for the adsorption of methylene blue. J. Hazard. Mater. 2015, 292, 173–179. [Google Scholar] [CrossRef]
- Zhu, S.; Lin, X.; Dong, G.; Yu, Y.; Yu, H.; Bian, D.; Zhang, L.; Yang, J.; Wang, X.; Huo, M. Valorization of manganese-containing groundwater treatment sludge by preparing magnetic adsorbent for Cu(II) adsorption. J. Environ. Manag. 2019, 236, 446–454. [Google Scholar] [CrossRef]
- Liu, J.; Yu, Y.; Zhu, S.; Yang, J.; Song, J.; Fan, W.; Yu, H.; Bian, D.; Huo, M. Synthesis and characterization of a magnetic adsorbent from negatively-valued iron mud for methylene blue adsorption. PLoS ONE 2018, 13, e0191229. [Google Scholar] [CrossRef]
- Meez, E.; Rahdar, A.; Kyzas, G.Z. Sawdust for the Removal of Heavy Metals from Water: A Review. Molecules 2021, 26, 4318. [Google Scholar] [CrossRef]
- Zeng, H.; Qiao, T.; Zhao, Y.; Yu, Y.; Zhang, J.; Li, D. Characterization and Arsenic Adsorption Behaviors of Water Treatment Residuals from Waterworks for Iron and Manganese Removal. Int. J. Environ. Res. Public Health 2019, 16, 4912. [Google Scholar] [CrossRef] [PubMed]
- Longanesi, L.; Bouxin, F.P.; Fan, J.; Auta, H.; Gammons, R.; Budarin, V.L.; Vriza, A.; Clark, J.H.; Chuck, C.J. Valorisation of sawdust through the combined microwave-assisted hydrothermal pre-treatment and fermentation using an oleaginous yeast. Biomass Convers. Biorefinery 2022, 12, 2487–2499. [Google Scholar] [CrossRef]
- Keerthana, D.S.; Namratha, K.; Byrappa, K.; Yathirajan, H.S. Facile one-step fabrication of magnetite particles under mild hydrothermal conditions. J. Magn. Magn. Mater. 2015, 378, 551–557. [Google Scholar] [CrossRef]
- Bryant, P.S.; Petersen, J.N.; Lee, J.M.; Brouns, T.M. Sorption of heavy metals by untreated red fir sawdust. Appl. Biochem. Biotechnol. 1992, 34, 777–788. [Google Scholar] [CrossRef]
- Özacar, M.; Şengil, İ.A. A kinetic study of metal complex dye sorption onto pine sawdust. Process Biochem. 2005, 40, 565–572. [Google Scholar] [CrossRef]
- Cullity, B.D.; Graham, C.D. Ferrimagnetism. In Introduction to Magnetic Materials; Wiley-IEEE Press: Hoboken, NJ, USA, 2008; pp. 175–195. [Google Scholar]
- Zeng, H.; Qiao, T.; Zhai, L.; Zhang, J.; Li, D. Fe3O4@C particles synthesized with iron-containing water treatment residuals and its potential for methylene blue removal. J. Chem. Technol. Biotechnol. 2019, 94, 3970–3980. [Google Scholar] [CrossRef]
- Bunge, A.; Porav, A.S.; Borodi, G.; Radu, T.; Pirnau, A.; Berghian-Grosan, C.; Turcu, R. Correlation between synthesis parameters and properties of magnetite clusters prepared by solvothermal polyol method. J. Mater. Sci. 2019, 54, 2853–2875. [Google Scholar] [CrossRef]
- Zheng, C.; Chen, P.; Bao, S.; Xia, J.; Sun, X. Environmentally Compatible Synthesis of Superparamagnetic Magnetite (Fe3O4) Nanoparticles with Prehydrolysate from Corn Stover. BioResources 2014, 9, 589–601. [Google Scholar] [CrossRef][Green Version]
- Wotton, A.; Yeung, T.; Jennepalli, S.; Teh, Z.L.; Pickford, R.; Huang, S.; Conibeer, G.; Stride, J.A.; Patterson, R.J. Simultaneous Fe3O4 Nanoparticle Formation and Catalyst-Driven Hydrothermal Cellulose Degradation. ACS Omega 2021, 6, 10790–10800. [Google Scholar] [CrossRef]
- Žukauskaitė, Z.; Druteikienė, R.; Tarasiuk, N.; Tautkus, S.; Niaura, G.; Ignatjev, I.; Baltušnikas, A.; Konstantinova, M.; Maceika, E.; Kazakevičiūtė-Jakučiūnienė, L.; et al. Separation of anthropogenic radionuclides from aqueous environment using raw and modified biosorbents. J. Environ. Radioact. 2022, 244–245, 106829. [Google Scholar] [CrossRef]
- Wahab, M.A.; Jellali, S.; Jedidi, N. Ammonium biosorption onto sawdust: FTIR analysis, kinetics and adsorption isotherms modeling. Bioresour. Technol. 2010, 101, 5070–5075. [Google Scholar] [CrossRef] [PubMed]
- Ruiz Cuilty, K.; Ballinas-Casarrubias, L.; Rodríguez de San Miguel, E.; de Gyves, J.; Robles-Venzor, J.C.; González-Sánchez, G. Cellulose recovery from Quercus sp. sawdust using Ethanosolv pretreatment. Biomass Bioenergy 2018, 111, 114–124. [Google Scholar] [CrossRef]
- Wołowiec, M.; Pruss, A.; Komorowska-Kaufman, M.; Lasocka-Gomuła, I.; Rzepa, G.; Bajda, T. The properties of sludge formed as a result of coagulation of backwash water from filters removing iron and manganese from groundwater. SN Appl. Sci. 2019, 1, 639. [Google Scholar] [CrossRef]
- Radu, T.; Petran, A.; Olteanu, D.; Baldea, I.; Potara, M.; Turcu, R. Evaluation of physico-chemical properties and biocompatibility of new surface functionalized Fe3O4 clusters of nanoparticles. Appl. Surf. Sci. 2020, 501, 144267. [Google Scholar] [CrossRef]
- Teterin, Y.A.; Sosulnikov, M.I. X-ray photoelectron study of Ca, Sr and Ba ion chemical states in high-Tc superconductors. Phys. C: Supercond. 1993, 212, 306–316. [Google Scholar] [CrossRef]
- Gomes, G.C.; Borghi, F.F.; Ospina, R.O.; López, E.O.; Borges, F.O.; Mello, A. Nd:YAG (532 nm) pulsed laser deposition produces crystalline hydroxyapatite thin coatings at room temperature. Surf. Coat. Technol. 2017, 329, 174–183. [Google Scholar] [CrossRef]
- Knutsson, P.; Cantatore, V.; Seemann, M.; Tam, P.L.; Panas, I. Role of potassium in the enhancement of the catalytic activity of calcium oxide towards tar reduction. Appl. Catal. B Environ. 2018, 229, 88–95. [Google Scholar] [CrossRef]
- Ebrahimizadeh Abrishami, M.; Mohammadi, M.; Sotoudeh, M. Photocatalytic Dye Decomposition over CaMnO3−δ and Pr0.5Ca0.5MnO3: A Combined XPS and DFT Study. Crystals 2022, 12, 1728. [Google Scholar] [CrossRef]
- Simonin, J.-P. On the comparison of pseudo-first order and pseudo-second order rate laws in the modeling of adsorption kinetics. Chem. Eng. J. 2016, 300, 254–263. [Google Scholar] [CrossRef]
- Benjelloun, M.; Miyah, Y.; Akdemir Evrendilek, G.; Zerrouq, F.; Lairini, S. Recent Advances in Adsorption Kinetic Models: Their Application to Dye Types. Arab. J. Chem. 2021, 14, 103031. [Google Scholar] [CrossRef]
- Ho, Y.S.; McKay, G. Pseudo-second order model for sorption processes. Process Biochem. 1999, 34, 451–465. [Google Scholar] [CrossRef]
- Keereerak, A.; Chinpa, W. A potential biosorbent from Moringa oleifera pod husk for crystal violet adsorption: Kinetics, isotherms, thermodynamic and desorption studies. ScienceAsia 2020, 46, 186–194. [Google Scholar] [CrossRef]
- Putri, K.N.A.; Keereerak, A.; Chinpa, W. Novel cellulose-based biosorbent from lemongrass leaf combined with cellulose acetate for adsorption of crystal violet. Int. J. Biol. Macromol. 2020, 156, 762–772. [Google Scholar] [CrossRef] [PubMed]
- Tahir, N.; Bhatti, H.N.; Iqbal, M.; Noreen, S. Biopolymers composites with peanut hull waste biomass and application for Crystal Violet adsorption. Int. J. Biol. Macromol. 2017, 94, 210–220. [Google Scholar] [CrossRef] [PubMed]
- Machado, F.M.; Bergmann, C.P.; Fernandes, T.H.M.; Lima, E.C.; Royer, B.; Calvete, T.; Fagan, S.B. Adsorption of Reactive Red M-2BE dye from water solutions by multi-walled carbon nanotubes and activated carbon. J. Hazard. Mater. 2011, 192, 1122–1131. [Google Scholar] [CrossRef] [PubMed]
- Wathukarage, A.; Herath, I.; Iqbal, M.C.M.; Vithanage, M. Mechanistic understanding of crystal violet dye sorption by woody biochar: Implications for wastewater treatment. Environ. Geochem. Health 2019, 41, 1647–1661. [Google Scholar] [CrossRef]
- Li, X.; Nie, X.-J.; Zhu, Y.-N.; Ye, W.-C.; Jiang, Y.-L.; Su, S.-L.; Yan, B.-T. Adsorption behaviour of Eriochrome Black T from water onto a cross-linked β-cyclodextrin polymer. Colloids Surf. A Physicochem. Eng. Asp. 2019, 578, 123582. [Google Scholar] [CrossRef]
- Smoczyński, L.; Pierożyński, B.; Mikołajczyk, T. The Effect of Temperature on the Biosorption of Dyes from Aqueous Solutions. Processes 2020, 8, 636. [Google Scholar] [CrossRef]
- Pal, A.; Pan, S.; Saha, S. Synergistically improved adsorption of anionic surfactant and crystal violet on chitosan hydrogel beads. Chem. Eng. J. 2013, 217, 426–434. [Google Scholar] [CrossRef]
- Ahmad, R. Studies on adsorption of crystal violet dye from aqueous solution onto coniferous pinus bark powder (CPBP). J. Hazard. Mater. 2009, 171, 767–773. [Google Scholar] [CrossRef]
- Karimi, K.; Tabatabaei, M.; Sárvári Horváth, I.; Kumar, R. Recent trends in acetone, butanol, and ethanol (ABE) production. Biofuel Res. J. 2015, 2, 301–308. [Google Scholar] [CrossRef]
- Fida, T.T.; Gassara, F.; Voordouw, G. Biodegradation of isopropanol and acetone under denitrifying conditions by Thauera sp. TK001 for nitrate-mediated microbially enhanced oil recovery. J. Hazard. Mater. 2017, 334, 68–75. [Google Scholar] [CrossRef] [PubMed]
- Mashkoor, F.; Nasar, A. Magnetized Tectona grandis sawdust as a novel adsorbent: Preparation, characterization, and utilization for the removal of methylene blue from aqueous solution. Cellulose 2020, 27, 2613–2635. [Google Scholar] [CrossRef]
- Pooladi, H.; Foroutan, R.; Esmaeili, H. Synthesis of wheat bran sawdust/Fe3O4 composite for the removal of methylene blue and methyl violet. Environ. Monit. Assess. 2021, 193, 276. [Google Scholar] [CrossRef] [PubMed]
- Chen, C.; Mi, S.; Lao, D.; Shi, P.; Tong, Z.; Li, Z.; Hu, H. Single-step synthesis of eucalyptus sawdust magnetic activated carbon and its adsorption behavior for methylene blue. Rsc. Adv. 2019, 9, 22248–22262. [Google Scholar] [CrossRef] [PubMed]
- Deniz, F. Usage Potential of Sawdust as a Forest Industry Waste For Treatment of Colored Effluents. Acad. Perspect. Procedia 2019, 2, 815–822. [Google Scholar] [CrossRef]
- Baek, S.; Lee, D.; Ki, S.; Byeon, W.; Lee, Y.-G.; Chon, K. Fe-impregnated walnut shell biochars using iron mine tailing wastes as an efficient adsorbent for removal of synthetic dyes. Desalination Water Treat. 2023, 292, 216–232. [Google Scholar] [CrossRef]
- Gong, R.; Ding, Y.; Li, M.; Yang, C.; Liu, H.; Sun, Y. Utilization of powdered peanut hull as biosorbent for removal of anionic dyes from aqueous solution. Dye. Pigment. 2005, 64, 187–192. [Google Scholar] [CrossRef]
- Akkaya Sayğılı, G. Synthesis, characterization and adsorption properties of a novel biomagnetic composite for the removal of Congo red from aqueous medium. J. Mol. Liq. 2015, 211, 515–526. [Google Scholar] [CrossRef]
- Dong, L.; Zhipeng, Z.; Yigang, D. A Simple Method to Prepare Magnetic Modified Corncobs and its Application for Congo Red Adsorption. J. Dispers. Sci. Technol. 2016, 37, 73–79. [Google Scholar] [CrossRef]
- Aryee, A.A.; Dovi, E.; Han, R.; Li, Z.; Qu, L. One novel composite based on functionalized magnetic peanut husk as adsorbent for efficient sequestration of phosphate and Congo red from solution: Characterization, equilibrium, kinetic and mechanism studies. J. Colloid Interface Sci. 2021, 598, 69–82. [Google Scholar] [CrossRef] [PubMed]
- Ahamad, Z.; Nasar, A. Utilization of Azadirachta indica Sawdust as a Potential Adsorbent for the Removal of Crystal Violet Dye. Sustain. Chem. 2023, 4, 110–126. [Google Scholar] [CrossRef]
- Safarik, I.; Lunackova, P.; Mosiniewicz-Szablewska, E.; Weyda, F.; Safarikova, M. Adsorption of water-soluble organic dyes on ferrofluid-modified sawdust. Holzforschung 2007, 61, 247–253. [Google Scholar] [CrossRef]
- Foroutan, R.; Peighambardoust, S.J.; Ghojavand, S.; Foroughi, M.; Ahmadi, A.; Bahador, F.; Ramavandi, B. Development of a magnetic orange seed/Fe3O4 composite for the removal of methylene blue and crystal violet from aqueous media. Biomass Convers. Biorefinery 2023. [Google Scholar] [CrossRef]
- Boudraa, I.; Ustun Odabasi, S.; Bareera, M.; Ayadi, H.; Kebabi, B.; Büyükgüngör, H. Magnetization of a Biochar Derived from Orange Peel and Its Application for the Removal of Crystal Violet. Appl. Environ. Res. 2022, 44, 88–100. [Google Scholar] [CrossRef]
- Basavaiah, K.; Kahsay, M.H.; RamaDevi, D. Green synthesis of magnetite nanoparticles using aqueous pod extract of Dolichos lablab L for an efficient adsorption of crystal violet. Emergent Mater. 2018, 1, 121–132. [Google Scholar] [CrossRef]
- Wu, F.-C.; Tseng, R.-L.; Juang, R.-S. Initial behavior of intraparticle diffusion model used in the description of adsorption kinetics. Chem. Eng. J. 2009, 153, 1–8. [Google Scholar] [CrossRef]
- Chen, T.; Da, T.; Ma, Y. Reasonable calculation of the thermodynamic parameters from adsorption equilibrium constant. J. Mol. Liq. 2021, 322, 114980. [Google Scholar] [CrossRef]













| Sample | msawdust [g] | miron mud [g] | T [K] | t [h] |
|---|---|---|---|---|
| 3a | 2.17 | 2.17 | 473.15 | 17 |
| 3b | 2.17 | 2.17 | 473.15 | 30 |
| 3c | 2.17 | 2.17 | 473.15 | 6 |
| 3d | 2.17 | 2.17 | 453.15 | 17 |
| 3e | 2.17 | 2.17 | 433.15 | 17 |
| 3f | 2.17 | 2.17 | 413.15 | 17 |
| 3g | 1.08 | 2.17 | 453.15 | 17 |
| 3h | 3.25 | 2.17 | 453.15 | 17 |
| 3i | 1.08 | 1.08 | 453.15 | 17 |
| 3j | 3.25 | 3.25 | 453.15 | 17 |
| Sample | mproduct [g] | Ms [emu/g] |
|---|---|---|
| 3a | 2.517 | 14.8 |
| 3b | 2.545 | 14.2 |
| 3c | 2.435 | 9.2 |
| 3d | 2.054 | 9.9 |
| 3e | 1.845 | 6.6 |
| 3f | 1.410 | 3.3 |
| 3g | 1.478 | 6.2 |
| 3h | 2.888 | 9.3 |
| 3i | 1.228 | 10.6 |
| 3j | 4.148 | 9.7 |
| T [K] | ΔG° [kJ/mol] |
|---|---|
| 276.15 | −25.7 |
| 294.15 | −25.3 |
| 323.15 | −23.9 |
| Sorbent Type | Pollutant | Sorption Capacity [mg/g] | Literature |
|---|---|---|---|
| magnetic sawdust composite | methylene blue | 172.41 | [84] |
| magnetic sawdust composite | methylene blue | 51.28 | [85] |
| magnetic char composite from sawdust | methylene blue | 228.22 | [86] |
| magnetic sawdust composite 3d | methylene blue | 149.8 | this publication |
| sawdust | fast green FCF | 26.83 | [87] |
| walnut shell/iron tailings composite char | fast green FCF | 7.903 | [88] |
| powdered peanut hull | fast green FCF | 15.60 | [89] |
| magnetic sawdust composite 3d | fast green FCF | 52.2 | this publication |
| magnetic pomegranate biosorbent | congo red | 86.96 | [90] |
| magnetic corncobs | congo red | 198.2 | [91] |
| magnetic peanut husk | congo red | 79.0 | [92] |
| magnetic sawdust composite 3d | congo red | 10.5 | this publication |
| iron mud 2 | congo red | 173.4 | this publication |
| sawdust | crystal violet | 270.3 | [93] |
| magnetic sawdust | crystal violet | 51.1 | [94] |
| orange seed/magnetite | crystal violet | 46.4 | [95] |
| magnetic polymer PAAA-FA | crystal violet | 19.5 | [38] |
| magnetic orange peel biochar | crystal violet | 113.6 | [96] |
| magnetite nanoparticles | crystal violet | 56 | [97] |
| magnetic sawdust composite 3d | crystal violet | 97.9 | this publication |
Disclaimer/Publisher’s Note: The statements, opinions and data contained in all publications are solely those of the individual author(s) and contributor(s) and not of MDPI and/or the editor(s). MDPI and/or the editor(s) disclaim responsibility for any injury to people or property resulting from any ideas, methods, instructions or products referred to in the content. |
© 2023 by the authors. Licensee MDPI, Basel, Switzerland. This article is an open access article distributed under the terms and conditions of the Creative Commons Attribution (CC BY) license (https://creativecommons.org/licenses/by/4.0/).
Share and Cite
Bunge, A.; Leoștean, C.; Turcu, R. Synthesis of a Magnetic Nanostructured Composite Sorbent Only from Waste Materials. Materials 2023, 16, 7696. https://doi.org/10.3390/ma16247696
Bunge A, Leoștean C, Turcu R. Synthesis of a Magnetic Nanostructured Composite Sorbent Only from Waste Materials. Materials. 2023; 16(24):7696. https://doi.org/10.3390/ma16247696
Chicago/Turabian StyleBunge, Alexander, Cristian Leoștean, and Rodica Turcu. 2023. "Synthesis of a Magnetic Nanostructured Composite Sorbent Only from Waste Materials" Materials 16, no. 24: 7696. https://doi.org/10.3390/ma16247696
APA StyleBunge, A., Leoștean, C., & Turcu, R. (2023). Synthesis of a Magnetic Nanostructured Composite Sorbent Only from Waste Materials. Materials, 16(24), 7696. https://doi.org/10.3390/ma16247696

