CMOS-Compatible Ultrathin Superconducting NbN Thin Films Deposited by Reactive Ion Sputtering on 300 mm Si Wafer
Abstract
:1. Introduction
2. Materials and Methods
3. Results and Discussions
3.1. Full Wafer Analysis
3.2. Structural Properties
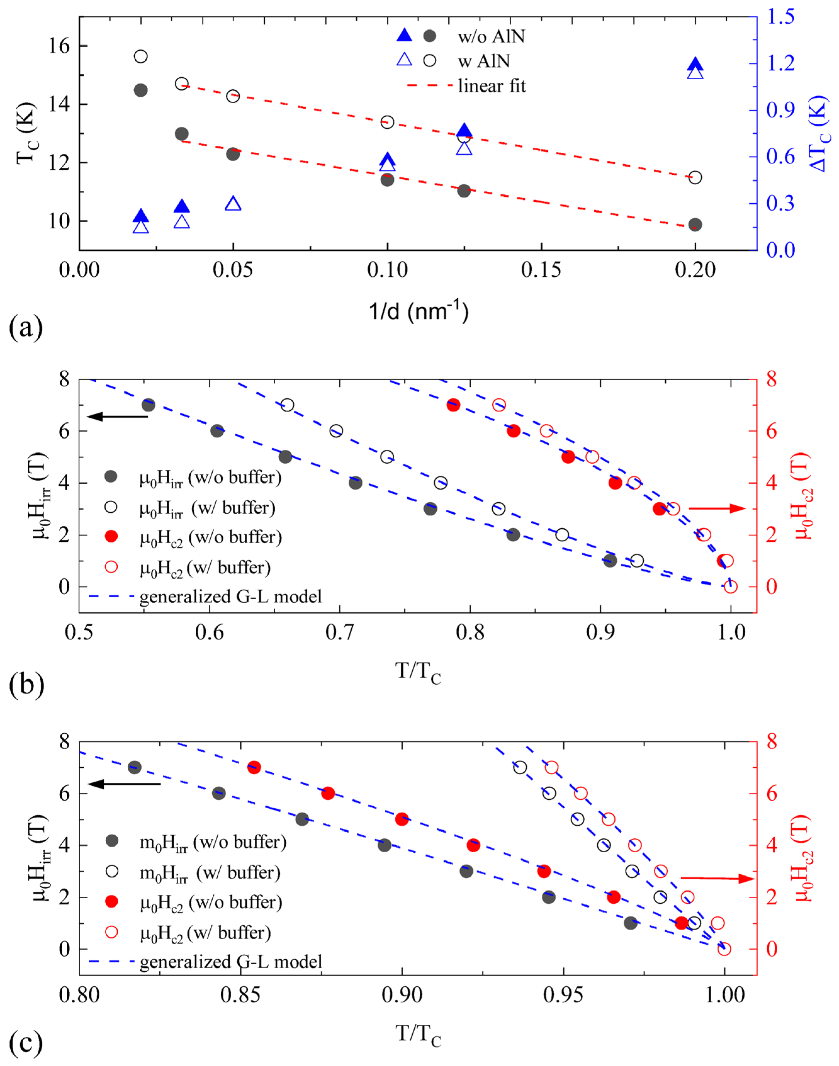
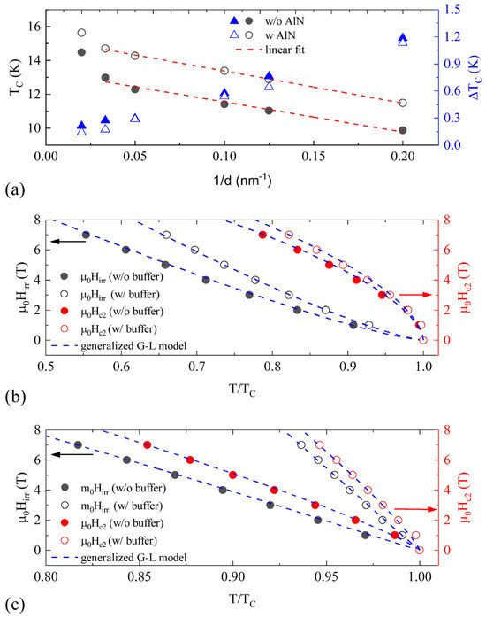
3.3. Superconducting Properties
4. Conclusions
Author Contributions
Funding
Institutional Review Board Statement
Informed Consent Statement
Data Availability Statement
Acknowledgments
Conflicts of Interest
References
- Arute, F.; Arya, K.; Babbush, R.; Bacon, D.; Bardin, J.C.; Barends, R.; Biswas, R.; Boixo, S.; Brandao, F.G.S.L.; Buell, D.A.; et al. Quantum Supremacy Using a Programmable Superconducting Processor. Nature 2019, 574, 505–510. [Google Scholar] [CrossRef] [PubMed]
- Wu, Y.; Bao, W.-S.; Cao, S.; Chen, F.; Chen, M.-C.; Chen, X.; Chung, T.-H.; Deng, H.; Du, Y.; Fan, D.; et al. Strong Quantum Computational Advantage Using a Superconducting Quantum Processor. Phys. Rev. Lett. 2021, 127, 180501. [Google Scholar] [CrossRef] [PubMed]
- Kuwahata, A.; Kitaizumi, T.; Saichi, K.; Sato, T.; Igarashi, R.; Ohshima, T.; Masuyama, Y.; Iwasaki, T.; Hatano, M.; Jelezko, F.; et al. Magnetometer with Nitrogen-Vacancy Center in a Bulk Diamond for Detecting Magnetic Nanoparticles in Biomedical Applications. Sci. Rep. 2020, 10, 2483. [Google Scholar] [CrossRef] [PubMed]
- Wang, J.; Feng, F.; Zhang, J.; Chen, J.; Zheng, Z.; Guo, L.; Zhang, W.; Song, X.; Guo, G.; Fan, L.; et al. High-Sensitivity Temperature Sensing Using an Implanted Single Nitrogen-Vacancy Center Array in Diamond. Phys. Rev. B 2015, 91, 155404. [Google Scholar] [CrossRef]
- Pfaff, W.; Hensen, B.J.; Bernien, H.; van Dam, S.B.; Blok, M.S.; Taminiau, T.H.; Tiggelman, M.J.; Schouten, R.N.; Markham, M.; Twitchen, D.J.; et al. Unconditional Quantum Teleportation between Distant Solid-State Quantum Bits. Science 2014, 345, 532–535. [Google Scholar] [CrossRef] [PubMed]
- Hensen, B.; Bernien, H.; Dréau, A.E.; Reiserer, A.; Kalb, N.; Blok, M.S.; Ruitenberg, J.; Vermeulen, R.F.L.; Schouten, R.N.; Abellán, C.; et al. Loophole-Free Bell Inequality Violation Using Electron Spins Separated by 1.3 Kilometres. Nature 2015, 526, 682–686. [Google Scholar] [CrossRef] [PubMed]
- Natarajan, C.M.; Tanner, M.G.; Hadfield, R.H. Superconducting Nanowire Single-Photon Detectors: Physics and Applications. Supercond. Sci. Technol. 2012, 25, 063001. [Google Scholar] [CrossRef]
- Pernice, W.H.P.; Schuck, C.; Minaeva, O.; Li, M.; Goltsman, G.N.; Sergienko, A.V.; Tang, H.X. High-Speed and High-Efficiency Travelling Wave Single-Photon Detectors Embedded in Nanophotonic Circuits. Nat. Commun. 2012, 3, 1325. [Google Scholar] [CrossRef]
- Shibata, H.; Shimizu, K.; Takesue, H.; Tokura, Y. Superconducting Nanowire Single-Photon Detector with Ultralow Dark Count Rate Using Cold Optical Filters. Appl. Phys. Express 2013, 6, 072801. [Google Scholar] [CrossRef]
- Wu, J.; You, L.; Chen, S.; Li, H.; He, Y.; Lv, C.; Wang, Z.; Xie, X. Improving the Timing Jitter of a Superconducting Nanowire Single-Photon Detection System. Appl. Opt. 2017, 56, 2195–2200. [Google Scholar] [CrossRef]
- Xu, Y.; Sayem, A.A.; Fan, L.; Zou, C.-L.; Wang, S.; Cheng, R.; Fu, W.; Yang, L.; Xu, M.; Tang, H.X. Bidirectional Interconversion of Microwave and Light with Thin-Film Lithium Niobate. Nat. Commun. 2021, 12, 4453. [Google Scholar] [CrossRef]
- Yamashita, T.; Kim, S.; Kato, H.; Qiu, W.; Semba, K.; Fujimaki, A.; Terai, H. π Phase Shifter Based on NbN-Based Ferromagnetic Josephson Junction on a Silicon Substrate. Sci. Rep. 2020, 10, 13687. [Google Scholar] [CrossRef]
- Allmaras, J.P.; Wollman, E.E.; Beyer, A.D.; Briggs, R.M.; Korzh, B.A.; Bumble, B.; Shaw, M.D. Demonstration of a Thermally Coupled Row-Column SNSPD Imaging Array. Nano Lett. 2020, 20, 2163–2168. [Google Scholar] [CrossRef]
- Kim, S.; Terai, H.; Yamashita, T.; Qiu, W.; Fuse, T.; Yoshihara, F.; Ashhab, S.; Inomata, K.; Semba, K. Enhanced Coherence of All-Nitride Superconducting Qubits Epitaxially Grown on Silicon Substrate. Commun. Mater. 2021, 2, 98. [Google Scholar] [CrossRef]
- Rao, S.S.P.; Hobbs, C.; Olson, S.; Foroozani, N.; Chong, H.; Stamper, H.; Martinick, B.; Ashworth, D.; Bunday, B.; Malloy, M.; et al. (Invited) Materials and Processes for Superconducting Qubits and Superconducting Electronic Circuits on 300 mm Wafers. ECS Trans. 2018, 85, 151. [Google Scholar] [CrossRef]
- Amin, K.R.; Ladner, C.; Jourdan, G.; Hentz, S.; Roch, N.; Renard, J. Loss Mechanisms in TiN High Impedance Superconducting Microwave Circuits. Appl. Phys. Lett. 2022, 120, 164001. [Google Scholar] [CrossRef]
- Rhazi, R.; Machhadani, H.; Bougerol, C.; Lequien, S.; Robin, E.; Rodriguez, G.; Souil, R.; Thomassin, J.-L.; Mollard, N.; Désières, Y.; et al. Improvement of Critical Temperature of Niobium Nitride Deposited on 8-Inch Silicon Wafers Thanks to an AlN Buffer Layer. Supercond. Sci. Technol. 2021, 34, 045002. [Google Scholar] [CrossRef]
- Giewont, K.; Nummy, K.; Anderson, F.A.; Ayala, J.; Barwicz, T.; Bian, Y.; Dezfulian, K.K.; Gill, D.M.; Houghton, T.; Hu, S.; et al. 300-Mm Monolithic Silicon Photonics Foundry Technology. IEEE J. Sel. Top. Quantum Electron. 2019, 25, 1–11. [Google Scholar] [CrossRef]
- Wan, D.; Couet, S.; Piao, X.; Souriau, L.; Canvel, Y.; Tsvetanova, D.; Vangoidsenhoven, D.; Thiam, A.; Pacco, A.; Potočnik, A.; et al. Fabrication and Room Temperature Characterization of Trilayer Junctions for the Development of Superconducting Qubits on 300 mm Wafers. Jpn. J. Appl. Phys. 2021, 60, SBBI04. [Google Scholar] [CrossRef]
- Schmidt, E.; Ilin, K.; Siegel, M. AlN-Buffered Superconducting NbN Nanowire Single-Photon Detector on GaAs. IEEE Trans. Appl. Supercond. 2017, 27, 1–5. [Google Scholar] [CrossRef]
- Wang, Z.; Terai, H.; Qiu, W.; Makise, K.; Uzawa, Y.; Kimoto, K.; Nakamura, Y. High-Quality Epitaxial NbN/AlN/NbN Tunnel Junctions with a Wide Range of Current Density. Appl. Phys. Lett. 2013, 102, 142604. [Google Scholar] [CrossRef]
- Shiino, T.; Shiba, S.; Sakai, N.; Yamakura, T.; Jiang, L.; Uzawa, Y.; Maezawa, H.; Yamamoto, S. Improvement of the Critical Temperature of Superconducting NbTiN and NbN Thin Films Using the AlN Buffer Layer. Supercond. Sci. Technol. 2010, 23, 045004. [Google Scholar] [CrossRef]
- Kobayashi, A.; Ueno, K.; Fujioka, H. Coherent Epitaxial Growth of Superconducting NbN Ultrathin Films on AlN by Sputtering. Appl. Phys. Express 2020, 13, 061006. [Google Scholar] [CrossRef]
- Villegier, J.-C.; Bouat, S.; Cavalier, P.; Setzi, R.; Espiau de Lamaëstre, R.; Jorel, C.; Odier, P.; Buillet, B.; Mechin, L.; Chauvat, M.P.; et al. Epitaxial Growth of Sputtered Ultra-Thin NbN Layers and Junctions on Sapphire. IEEE Trans. Appl. Supercond. 2009, 19, 3375. [Google Scholar] [CrossRef]
- Cucciniello, N.; Lee, D.; Feng, H.; Yang, Z.; Patibandla, N.; Zeng, H.; Zhu, M.; Jia, Q.X. Superconducting Niobium Nitride: A Perspective from Processing, Microstructure, and Superconducting Property for Single Photon Detector. J. Phys. Cond. Matter 2022, 34, 374003. [Google Scholar] [CrossRef]
- Marsili, F.; Gaggero, A.; Li, L.H.; Surrente, A.; Leoni, R.; Lévy, F.; Fiore, A. High Quality Superconducting NbN Thin Films on GaAs. Supercond. Sci. Technol. 2009, 22, 095013. [Google Scholar] [CrossRef]
- Semenov, A.; Günther, B.; Böttger, U.; Hübers, H.-W.; Bartolf, H.; Engel, A.; Schilling, A.; Ilin, K.; Siegel, M.; Schneider, R.; et al. Optical and Transport Properties of Ultrathin NbN Films and Nanostructures. Phys. Rev. B 2009, 80, 054510. [Google Scholar] [CrossRef]
- Kang, L.; Jin, B.B.; Liu, X.Y.; Jia, X.Q.; Chen, J.; Ji, Z.M.; Xu, W.W.; Wu, P.H.; Mi, S.B.; Pimenov, A.; et al. Suppression of Superconductivity in Epitaxial NbN Ultrathin Films. J. Appl. Phys. 2011, 109, 033908. [Google Scholar] [CrossRef]
- Wei, X.; Roy, P.; Yang, Z.; Zhang, D.; He, Z.; Lu, P.; Licata, O.; Wang, H.; Mazumder, B.; Patibandla, N.; et al. Ultrathin Epitaxial NbN Superconducting Films with High Upper Critical Field Grown at Low Temperature. Mater. Res. Lett. 2021, 9, 336–342. [Google Scholar] [CrossRef]
- Licata, O.G.; Sarker, J.; Bachhav, M.; Roy, P.; Wei, X.; Yang, Z.; Patibandla, N.; Zeng, H.; Zhu, M.; Jia, Q.; et al. Correlation between Thickness Dependent Nanoscale Structural Chemistry and Superconducting Properties of Ultrathin Epitaxial NbN Films. Mater. Chem. Phys. 2022, 282, 125962. [Google Scholar] [CrossRef]
- Kalal, S.; Gupta, M.; Rawat, R. N Concentration Effects on Structure and Superconductivity of NbN Thin Films. J. Alloys Compd. 2021, 851, 155925. [Google Scholar] [CrossRef]
- Sahu, B.P.; Roy, M.; Mitra, R. Structure and Properties of Ni1-xTixN Thin Films Processed by Reactive Magnetron Co-sputtering. Mater. Charact. 2020, 169, 110604. [Google Scholar] [CrossRef]
- Simonin, J. Surface Term in the Superconductive Ginzburg-Landau Free Energy: Application to Thin Films. Phys. Rev. B 1986, 33, 7830–7832. [Google Scholar] [CrossRef]
- Banerjee, A.; Baker, L.J.; Doye, A.; Nord, M.; Heath, R.M.; Erotokritou, K.; Bosworth, D.; Barber, Z.H.; MacLaren, I.; Hadfield, R.H. Characterisation of Amorphous Molybdenum Silicide (MoSi) Superconducting Thin Films and Nanowires. Supercond. Sci. Technol. 2017, 30, 084010. [Google Scholar] [CrossRef]
- Polakovic, T.; Lendinez, S.; Pearson, J.E.; Hoffmann, A.; Yefremenko, V.; Chang, C.L.; Armstrong, W.; Hafidi, K.; Karapetrov, G.; Novosad, V. Room Temperature Deposition of Superconducting Niobium Nitride Films by Ion Beam Assisted Sputtering. APL Mater. 2018, 6, 076107. [Google Scholar] [CrossRef]
- Zehetmayer, M.; Weber, H.W. Experimental Evidence for a Two-Band Superconducting State of NbSe2 Single Crystals. Phys. Rev. B 2010, 82, 014524. [Google Scholar] [CrossRef]
- Yan, R.; Khalsa, G.; Vishwanath, S.; Han, Y.; Wright, J.; Rouvimov, S.; Katzer, D.S.; Nepal, N.; Downey, B.P.; Muller, D.A.; et al. GaN/NbN Epitaxial Semiconductor/Superconductor Heterostructures. Nature 2018, 555, 183–189. [Google Scholar] [CrossRef]
- Chockalingam, S.P.; Chand, M.; Jesudasan, J.; Tripathi, V.; Raychaudhuri, P. Superconducting Properties and Hall Effect of Epitaxial NbN Thin Films. Phys. Rev. B 2008, 77, 214503. [Google Scholar] [CrossRef]




| Location | TC (K) | ΔTC (K) | (111) FWHM (°) * | Grain Size (nm) |
|---|---|---|---|---|
| R = 0 mm | 16.66 | 0.104 | 0.224 | 38.9 |
| R ~ 72.5 mm | 16.62 | 0.105 | 0.237 | 36.8 |
| R ~ 145 mm | 16.41 | 0.075 | 0.266 | 32.8 |
| d (nm) | AlN Buffer | μ0Hc2 (T) | μ0Hirr (T) |
|---|---|---|---|
| 5 | Yes | 14.70 ± 0.123 * | 14.00 ± 0.091 * |
| 5 | No | 12.61 ± 0.078 * | 8.89 ± 0.078 * |
| 50 | Yes | 59.19 ± 0.411 ** | 58.41 ± 0.459 ** |
| 50 | No | 25.13 ± 0.242 ** | 20.74 ± 0.223 ** |
Disclaimer/Publisher’s Note: The statements, opinions and data contained in all publications are solely those of the individual author(s) and contributor(s) and not of MDPI and/or the editor(s). MDPI and/or the editor(s) disclaim responsibility for any injury to people or property resulting from any ideas, methods, instructions or products referred to in the content. |
© 2023 by the authors. Licensee MDPI, Basel, Switzerland. This article is an open access article distributed under the terms and conditions of the Creative Commons Attribution (CC BY) license (https://creativecommons.org/licenses/by/4.0/).
Share and Cite
Yang, Z.; Wei, X.; Roy, P.; Zhang, D.; Lu, P.; Dhole, S.; Wang, H.; Cucciniello, N.; Patibandla, N.; Chen, Z.; et al. CMOS-Compatible Ultrathin Superconducting NbN Thin Films Deposited by Reactive Ion Sputtering on 300 mm Si Wafer. Materials 2023, 16, 7468. https://doi.org/10.3390/ma16237468
Yang Z, Wei X, Roy P, Zhang D, Lu P, Dhole S, Wang H, Cucciniello N, Patibandla N, Chen Z, et al. CMOS-Compatible Ultrathin Superconducting NbN Thin Films Deposited by Reactive Ion Sputtering on 300 mm Si Wafer. Materials. 2023; 16(23):7468. https://doi.org/10.3390/ma16237468
Chicago/Turabian StyleYang, Zihao, Xiucheng Wei, Pinku Roy, Di Zhang, Ping Lu, Samyak Dhole, Haiyan Wang, Nicholas Cucciniello, Nag Patibandla, Zhebo Chen, and et al. 2023. "CMOS-Compatible Ultrathin Superconducting NbN Thin Films Deposited by Reactive Ion Sputtering on 300 mm Si Wafer" Materials 16, no. 23: 7468. https://doi.org/10.3390/ma16237468
APA StyleYang, Z., Wei, X., Roy, P., Zhang, D., Lu, P., Dhole, S., Wang, H., Cucciniello, N., Patibandla, N., Chen, Z., Zeng, H., Jia, Q., & Zhu, M. (2023). CMOS-Compatible Ultrathin Superconducting NbN Thin Films Deposited by Reactive Ion Sputtering on 300 mm Si Wafer. Materials, 16(23), 7468. https://doi.org/10.3390/ma16237468

