Ion-Selective Scattering Studied Using the Variable-Energy Electron Irradiation in the Ba0.2K0.8Fe2As2 Superconductor
Abstract
1. Introduction
2. Materials and Methods
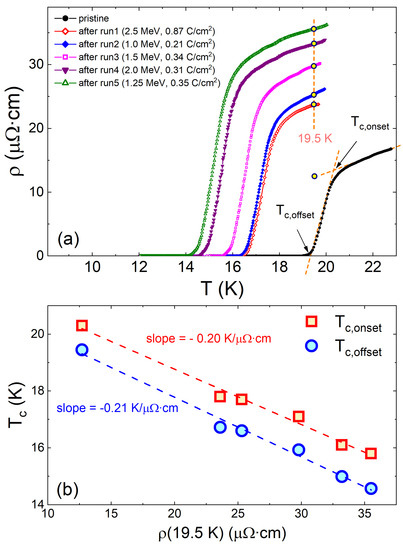
3. Results and Discussion
4. Conclusions
Author Contributions
Funding
Institutional Review Board Statement
Informed Consent Statement
Data Availability Statement
Acknowledgments
Conflicts of Interest
References
- Balatsky, A.V.; Vekhter, I.; Zhu, J.X. Impurity-induced states in conventional and unconventional superconductors. Rev. Mod. Phys. 2006, 78, 373–433. [Google Scholar] [CrossRef]
- Alloul, H.; Bobroff, J.; Gabay, M.; Hirschfeld, P.J. Defects in correlated metals and superconductors. Rev. Mod. Phys. 2009, 81, 45–108. [Google Scholar] [CrossRef]
- Li, J.; Guo, Y.F.; Yang, Z.R.; Yamaura, K.; Takayama-Muromachi, E.; Wang, H.B.; Wu, P.H. Progress in nonmagnetic impurity doping studies on Fe-based superconductors. Supercond. Sci. Technol. 2016, 29, 053001. [Google Scholar] [CrossRef]
- Anderson, P. Theory of dirty superconductors. J. Phys. Chem. Solids 1959, 11, 26–30. [Google Scholar] [CrossRef]
- Abrikosov, A.A.; Gor’kov, L.P. Contribution to the theory of superconducting alloys with paramagnetic impurities. Sov. Phys. JETP-USSR 1961, 12, 1243–1253. [Google Scholar]
- Openov, L.A. Critical temperature of an anisotropic superconductor containing both nonmagnetic and magnetic impurities. Phys. Rev. B 1998, 58, 9468–9478. [Google Scholar] [CrossRef]
- Kogan, V.G.; Prozorov, R.; Mishra, V. London penetration depth and pair breaking. Phys. Rev. B 2013, 88, 224508. [Google Scholar] [CrossRef]
- Finnemore, D.K.; Johnson, D.L.; Ostenson, J.E.; Spedding, F.H.; Beaudry, B.J. Superconductivity in Pure La and La-Gd. Phys. Rev. 1965, 137, A550–A556. [Google Scholar] [CrossRef]
- Giapintzakis, J.; Ginsberg, D.M.; Kirk, M.A.; Ockers, S. Testing models of the symmetry of the superconducting pairing state by low-temperature electron irradiation of an untwinned single crystal of YBa2Cu3O7−δ. Phys. Rev. B 1994, 50, 15967–15973. [Google Scholar] [CrossRef]
- Giapintzakis, J.; Ginsberg, D.M.; Kirk, M.A. Determination of the Symmetry of the Superconducting Pairing State and Formation of a Low-Temperature Normal Metallic State in YBCO by Electron Irradiation; Argonne National Lab. (ANL): Argonne, IL, USA, 1995. [Google Scholar] [CrossRef]
- van der Beek, C.J.; Demirdis, S.; Colson, D.; Rullier-Albenque, F.; Fasano, Y.; Shibauchi, T.; Matsuda, Y.; Kasahara, S.; Gierlowski, P.; Konczykowski, M. Electron irradiation of Co, Ni, and P-doped BaFe2As2 type iron-based superconductors. J. Phys. Conf. Ser. 2013, 449, 012023. [Google Scholar] [CrossRef]
- Mizukami, Y.; Konczykowski, M.; Kawamoto, Y.; Kurata, S.; Kasahara, S.; Hashimoto, K.; Mishra, V.; Kreisel, A.; Wang, Y.; Hirschfeld, P.J.; et al. Disorder-induced topological change of the superconducting gap structure in iron pnictides. Nat. Comm. 2014, 5, 5657. [Google Scholar] [CrossRef]
- Cho, K.; Kończykowski, M.; Teknowijoyo, S.; Tanatar, M.A.; Liu, Y.; Lograsso, T.A.; Straszheim, W.E.; Mishra, V.; Maiti, S.; Hirschfeld, P.J.; et al. Energy gap evolution across the superconductivity dome in single crystals of (Ba1−xKx)Fe2As2. Sci. Adv. 2016, 2, e1600807. [Google Scholar] [CrossRef]
- Salem-Sugui, S.; Moseley, D.; Stuard, S.; Alvarenga, A.; Sefat, A.; Cohen, L.; Ghivelder, L. Effects of proton irradiation on flux-pinning properties of underdoped Ba(Fe0.96Co0.04)2As2 pnictide superconductor. J. Alloys Compd. 2017, 694, 1371–1375. [Google Scholar] [CrossRef]
- Mizukami, Y.; Kończykowski, M.; Matsuura, K.; Watashige, T.; Kasahara, S.; Matsuda, Y.; Shibauchi, T. Impact of Disorder on the Superconducting Phase Diagram in BaFe2(As1−xPx)2. J. Phys. Soc. Jpn. 2017, 86, 083706. [Google Scholar] [CrossRef]
- Cho, K.; Kończykowski, M.; Teknowijoyo, S.; Tanatar, M.A.; Prozorov, R. Using electron irradiation to probe iron-based superconductors. Supercond. Sci. Technol. 2018, 31, 064002. [Google Scholar] [CrossRef]
- Cho, K.; Kończykowski, M.; Teknowijoyo, S.; Ghimire, S.; Tanatar, M.A.; Mishra, V.; Prozorov, R. Intermediate scattering potential strength in electron-irradiated YBa2Cu3O7−δ from London penetration depth measurements. Phys. Rev. B 2022, 105, 014514. [Google Scholar] [CrossRef]
- Nakajima, Y.; Taen, T.; Tsuchiya, Y.; Tamegai, T.; Kitamura, H.; Murakami, T. Suppression of the critical temperature of superconducting Ba(Fe1−xCox)2As2 by point defects from proton irradiation. Phys. Rev. B 2010, 82, 220504. [Google Scholar] [CrossRef]
- Taen, T.; Ohtake, F.; Akiyama, H.; Inoue, H.; Sun, Y.; Pyon, S.; Tamegai, T.; Kitamura, H. Pair-breaking effects induced by 3-MeV proton irradiation in Ba1−xKxFe2As2. Phys. Rev. B 2013, 88, 224514. [Google Scholar] [CrossRef]
- Sun, Y.; Pyon, S.; Tamegai, T.; Kobayashi, R.; Watashige, T.; Kasahara, S.; Matsuda, Y.; Shibauchi, T.; Kitamura, H. Enhancement of critical current density and mechanism of vortex pinning in H + -irradiated FeSe single crystal. Appl. Phys. Express 2015, 8, 113102. [Google Scholar] [CrossRef]
- Smylie, M.P.; Leroux, M.; Mishra, V.; Fang, L.; Taddei, K.M.; Chmaissem, O.; Claus, H.; Kayani, A.; Snezhko, A.; Welp, U.; et al. Effect of proton irradiation on superconductivity in optimally doped BaFe2(As1−xPx)2 single crystals. Phys. Rev. B 2016, 93, 115119. [Google Scholar] [CrossRef]
- Schilling, M.B.; Baumgartner, A.; Gorshunov, B.; Zhukova, E.S.; Dravin, V.A.; Mitsen, K.V.; Efremov, D.V.; Dolgov, O.V.; Iida, K.; Dressel, M.; et al. Tracing the s+- symmetry in iron pnictides by controlled disorder. Phys. Rev. B 2016, 93, 174515. [Google Scholar] [CrossRef]
- Moroni, M.; Gozzelino, L.; Ghigo, G.; Tanatar, M.A.; Prozorov, R.; Canfield, P.C.; Carretta, P. Effect of proton irradiation on the normal-state low-energy excitations of Ba(Fe1−xRhx)2As2 superconductors. Phys. Rev. B 2017, 96, 094523. [Google Scholar] [CrossRef]
- Sylva, G.; Bellingeri, E.; Ferdeghini, C.; Martinelli, A.; Pallecchi, I.; Pellegrino, L.; Putti, M.; Ghigo, G.; Gozzelino, L.; Torsello, D.; et al. Effects of high-energy proton irradiation on the superconducting properties of Fe(Se,Te) thin films. Supercond. Sci. Technol. 2018, 31, 054001. [Google Scholar] [CrossRef]
- Haberkorn, N.; Xu, M.; Meier, W.R.; Suárez, S.; Bud’ko, S.L.; Canfield, P.C. Enhancement of critical current density in CaKFe4As4 single crystals through 3 MeV proton irradiation. Supercond. Sci. Technol. 2020, 33, 025008. [Google Scholar] [CrossRef]
- Torsello, D.; Fracasso, M.; Gerbaldo, R.; Ghigo, G.; Laviano, F.; Napolitano, A.; Iebole, M.; Cialone, M.; Manca, N.; Martinelli, A.; et al. Proton Irradiation Effects on the Superconducting Properties of Fe(Se,Te) Thin Films. IEEE Trans. Appl. Supercond. 2022, 32, 1–5. [Google Scholar] [CrossRef]
- Li, W.; Pyon, S.; Yagi, A.; Ren, T.; Suyama, M.; Wang, J.; Matsumae, T.; Kobayashi, Y.; Takahashi, A.; Miyawaki, D.; et al. Effects of 3 MeV Proton Irradiation on Superconductivity and CDW in 2H-NbSe2 Single Crystals. J. Phys. Soc. Jpn. 2023, 92, 064701. [Google Scholar] [CrossRef]
- Park, A.; Veshchunov, I.; Mine, A.; Pyon, S.; Tamegai, T.; Kitamura, H. Effects of 6 MeV proton irradiation on the vortex ensemble in BaFe2(As0.67P0.33)2 revealed through magnetization measurements and real-space vortex imaging. Phys. Rev. B 2020, 101, 224507. [Google Scholar] [CrossRef]
- Civale, L.; Marwick, A.D.; Worthington, T.K.; Kirk, M.A.; Thompson, J.R.; Krusin-Elbaum, L.; Sun, Y.; Clem, J.R.; Holtzberg, F. Vortex confinement by columnar defects in YBa2Cu3O7 crystals: Enhanced pinning at high fields and temperatures. Phys. Rev. Lett. 1991, 67, 648–651. [Google Scholar] [CrossRef] [PubMed]
- Konczykowski, M.; Rullier-Albenque, F.; Yacoby, E.R.; Shaulov, A.; Yeshurun, Y.; Lejay, P. Effect of 5.3-GeV Pb-ion irradiation on irreversible magnetization in Y-Ba-Cu-O crystals. Phys. Rev. B 1991, 44, 7167–7170. [Google Scholar] [CrossRef]
- Nakajima, Y.; Tsuchiya, Y.; Taen, T.; Tamegai, T.; Okayasu, S.; Sasase, M. Enhancement of critical current density in Co-doped BaFe2As2 with columnar defects introduced by heavy-ion irradiation. Phys. Rev. B 2009, 80, 012510. [Google Scholar] [CrossRef]
- Radovan, H.; Behne, E.; Zieve, R.; Kim, J.; Stewart, G.; Kwok, W.K.; Field, R. Heavy-ion irradiation of UBe13 superconductors. J. Phys. Chem. Solids 2003, 64, 1015–1020. [Google Scholar] [CrossRef]
- Prozorov, R.; Tanatar, M.A.; Roy, B.; Ni, N.; Bud’ko, S.L.; Canfield, P.C.; Hua, J.; Welp, U.; Kwok, W.K. Magneto-optical study of Ba(Fe1−xMx)2As2(M = Co and Ni) single crystals irradiated with heavy ions. Phys. Rev. B 2010, 81, 094509. [Google Scholar] [CrossRef]
- Tamegai, T.; Taen, T.; Yagyuda, H.; Tsuchiya, Y.; Mohan, S.; Taniguchi, T.; Nakajima, Y.; Okayasu, S.; Sasase, M.; Kitamura, H.; et al. Effects of particle irradiations on vortex states in iron-based superconductors. Supercond. Sci. Technol. 2012, 25, 084008. [Google Scholar] [CrossRef]
- Murphy, J.; Tanatar, M.A.; Kim, H.; Kwok, W.; Welp, U.; Graf, D.; Brooks, J.S.; Bud’ko, S.L.; Canfield, P.C.; Prozorov, R. Effect of heavy-ion irradiation on London penetration depth in overdoped Ba(Fe,Co)2As2. Phys. Rev. B 2013, 88, 054514. [Google Scholar] [CrossRef]
- Massee, F.; Sprau, P.O.; Wang, Y.L.; Davis, J.C.S.; Ghigo, G.; Gu, G.D.; Kwok, W.K. Imaging atomic-scale effects of high-energy ion irradiation on superconductivity and vortex pinning in Fe(Se,Te). Sci. Adv. 2015, 1, e1500033. [Google Scholar] [CrossRef]
- Torsello, D.; Gozzelino, L.; Gerbaldo, R.; Tamegai, T.; Ghigo, G. Scaling laws for ion irradiation effects in iron-based superconductors. Sci. Rep. 2021, 11, 5818. [Google Scholar] [CrossRef]
- Tamegai, T.; Li, W.; Wang, J.; Zu, Y.; Takahashi, A.; Pyon, S.; Okayasu, S.; Ichinose, A. Anomalous Peak Effects in Superconductors with Columnar Defects. In Proceedings of the 29th International Conference on Low Temperature Physics (LT29), Sapporo, Japan, 18–24 August 2022. [Google Scholar] [CrossRef]
- Damask, A.C.; Dienes, G.J. Point Defects in Metals; Gordon & Breach Science Publishers Ltd.: London, UK, 1963. [Google Scholar]
- Thompson, M.W. Defects and Radiation Damage in Metals, revised 27 September 1974 ed.; Cambridge Monographs on Physics; Cambridge University Press: Cambridge, UK, 1969. [Google Scholar]
- Dai, P. Antiferromagnetic order and spin dynamics in iron-based superconductors. Rev. Mod. Phys. 2015, 87, 855–896. [Google Scholar] [CrossRef]
- Fernandes, R.M.; Chubukov, A.V. Low-energy microscopic models for iron-based superconductors: A review. Rep. Prog. Phys. 2016, 80, 014503. [Google Scholar] [CrossRef] [PubMed]
- Xu, N.; Richard, P.; Shi, X.; van Roekeghem, A.; Qian, T.; Razzoli, E.; Rienks, E.; Chen, G.F.; Ieki, E.; Nakayama, K.; et al. Possible nodal superconducting gap and Lifshitz transition in heavily hole-doped Ba0.1K0.9Fe2As2. Phys. Rev. B 2013, 88, 220508. [Google Scholar] [CrossRef]
- Richard, P.; Qian, T.; Ding, H. ARPES measurements of the superconducting gap of Fe-based superconductors and their implications to the pairing mechanism. J. Phys. Condens. Matter 2015, 27, 293203. [Google Scholar] [CrossRef]
- Avci, S.; Chmaissem, O.; Chung, D.Y.; Rosenkranz, S.; Goremychkin, E.A.; Castellan, J.P.; Todorov, I.S.; Schlueter, J.A.; Claus, H.; Daoud-Aladine, A.; et al. Phase diagram of (Ba,K)Fe2As2. Phys. Rev. B 2012, 85, 184507. [Google Scholar] [CrossRef]
- Liu, Y.; Tanatar, M.A.; Kogan, V.G.; Kim, H.; Lograsso, T.A.; Prozorov, R. Upper critical field of high-quality single crystals of KFe2As2. Phys. Rev. B 2013, 87, 134513. [Google Scholar] [CrossRef]
- Tanatar, M.A.; Ni, N.; Bud’ko, S.L.; Canfield, P.C.; Prozorov, R. Field-dependent transport critical current in single crystals of Ba(Fe1−xTMx)2As2 (TM = Co, Ni) superconductors. Supercond. Sci. Technol. 2010, 23, 054002. [Google Scholar] [CrossRef]
- Blöchl, P.E. Projector augmented-wave method. Phys. Rev. B 1994, 50, 17953–17979. [Google Scholar] [CrossRef]
- Kresse, G.; Furthmüller, J. Efficient iterative schemes for ab initio total-energy calculations using a plane-wave basis set. Phys. Rev. B 1996, 54, 11169–11186. [Google Scholar] [CrossRef]
- Perdew, J.P.; Burke, K.; Ernzerhof, M. Generalized Gradient Approximation Made Simple. Phys. Rev. Lett. 1996, 77, 3865–3868. [Google Scholar] [CrossRef] [PubMed]
- Kresse, G.; Hafner, J. Ab initio molecular dynamics for liquid metals. Phys. Rev. B 1993, 47, 558–561. [Google Scholar] [CrossRef] [PubMed]
- Oen, O.S. Cross Sections for Atomic Displacements in Solids by Fast Electrons; Technical report, Office of Scientific and Technical Information (OSTI), ID: 4457758, Report Num.: ORNL-4897; Oak Ridge National Lab. (ORNL): Oak Ridge, TN, USA, 1973. [Google Scholar] [CrossRef]




Disclaimer/Publisher’s Note: The statements, opinions and data contained in all publications are solely those of the individual author(s) and contributor(s) and not of MDPI and/or the editor(s). MDPI and/or the editor(s) disclaim responsibility for any injury to people or property resulting from any ideas, methods, instructions or products referred to in the content. |
© 2023 by the authors. Licensee MDPI, Basel, Switzerland. This article is an open access article distributed under the terms and conditions of the Creative Commons Attribution (CC BY) license (https://creativecommons.org/licenses/by/4.0/).
Share and Cite
Cho, K.; Kończykowski, M.; Tanatar, M.A.; Mazin, I.I.; Liu, Y.; Lograsso, T.A.; Prozorov, R. Ion-Selective Scattering Studied Using the Variable-Energy Electron Irradiation in the Ba0.2K0.8Fe2As2 Superconductor. Materials 2023, 16, 4520. https://doi.org/10.3390/ma16134520
Cho K, Kończykowski M, Tanatar MA, Mazin II, Liu Y, Lograsso TA, Prozorov R. Ion-Selective Scattering Studied Using the Variable-Energy Electron Irradiation in the Ba0.2K0.8Fe2As2 Superconductor. Materials. 2023; 16(13):4520. https://doi.org/10.3390/ma16134520
Chicago/Turabian StyleCho, Kyuil, Marcin Kończykowski, Makariy A. Tanatar, Igor I. Mazin, Yong Liu, Thomas A. Lograsso, and Ruslan Prozorov. 2023. "Ion-Selective Scattering Studied Using the Variable-Energy Electron Irradiation in the Ba0.2K0.8Fe2As2 Superconductor" Materials 16, no. 13: 4520. https://doi.org/10.3390/ma16134520
APA StyleCho, K., Kończykowski, M., Tanatar, M. A., Mazin, I. I., Liu, Y., Lograsso, T. A., & Prozorov, R. (2023). Ion-Selective Scattering Studied Using the Variable-Energy Electron Irradiation in the Ba0.2K0.8Fe2As2 Superconductor. Materials, 16(13), 4520. https://doi.org/10.3390/ma16134520

