An Analysis of the Performance and Comfort Properties of Fire-Protective Material by Using Inherently Fire-Retardant Fibers and Knitting Structures
Abstract
1. Introduction
2. Materials and Methods
2.1. Materials
2.2. Methods
2.3. Chemical Processing
2.4. Physical Properties of Knitted Samples
2.5. Mechanical Properties of Fabric Samples
2.6. Dimensional Stability
2.7. Thermo-Physiological Comfort Properties
2.8. Tactile/Touching Comfort Properties
2.9. Flame Resistance by Vertical Flammability Test
2.10. Thermogravimetric Analysis
2.11. Cone Calorimetry
2.12. Steady-State (Convective and Radiant) Heat Resistance
3. Results and Discussion
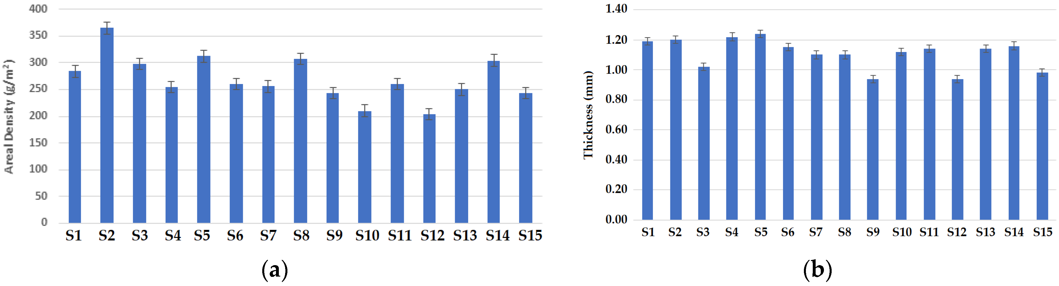
3.1. Physical Properties
3.2. Mechanical Properties and Serviceability
3.2.1. Tensile Performance
3.2.2. Bursting Performance
3.2.3. Pilling Resistance
3.3. Thermo-Physiological Comfort Properties
3.3.1. Air Permeability
3.3.2. Thermal Resistance
3.3.3. Overall Moisture Management Capacity (OMMC)
3.4. Tactile/Touching Comfort Properties
3.5. Dimensional Stability
3.6. Flame Resistance
3.6.1. Vertical Flammability Test
3.6.2. Thermogravimetric Analysis (TGA)
3.6.3. Cone Calorimetry
3.7. Radiant Heat Resistance
3.8. Convective Heat Resistance
4. Conclusions
Author Contributions
Funding
Institutional Review Board Statement
Informed Consent Statement
Data Availability Statement
Conflicts of Interest
References
- White, R.H.; Dietenberger, M.A. Wood Handbook; Chapter 17: Fire Safety; Forest Products Laboratory: Madison, WI, USA, 2009; pp. 7.1–17.10. [Google Scholar] [CrossRef]
- He, H.; Qin, Y.; Zhu, Z.; Jiang, Q.; Ouyang, S.; Wan, Y.; Qu, X.; Xu, J.; Yu, Z. Temperature-Arousing Self-Powered Fire Warning E-Textile Based on p–n Segment Coaxial Aerogel Fibers for Active Fire Protection in Firefighting Clothing. Nano-Micro Lett. 2023, 15, 226. [Google Scholar] [CrossRef] [PubMed]
- Pamuk, O. Clothing comfort properties in textile industry. E-J. New World Sci. Acad. 2008, 3, A0051. [Google Scholar]
- Son, S.Y. Effect of Different Types of Firefighter Station Uniforms on Wearer Mobility using Range of Motion and Electromyography Evidence. Fash. Text. Res. J. 2019, 21, 209–219. [Google Scholar] [CrossRef]
- Morel, A.; Bedek, G.; Salaün, F.; Dupont, D. A review of heat transfer phenomena and the impact of moisture on firefighters’ clothing and protection. Ergonomics 2014, 57, 1078–1089. [Google Scholar] [CrossRef] [PubMed]
- Mcquerry, M.; Riedy, R.; Garringer, B. Evaluation of the Performance of Station Wear Worn under a NFPA 1971 Structural Fire Fighter Protective Ensemble; Report no FPRF-2018-07; Florida State University: Tallahassee, FL, USA, 2018. [Google Scholar]
- Gracia, M.O.; Velazquez, L.M.; Mercado, A.M. Increasing the Burned Time and Mechanical Properties with New Mix as Flame Retardant Based in Hexametaphosphate of Sodium and Borax in Textile 100% Acrylic Fabrics. Adv. Mater. Phy. Chem. 2012, 2, 99–101. [Google Scholar] [CrossRef]
- Bajaj, P. Handbook of Technical Textiles; Chapter 10: Heat and Flame Protection; Woodhead Publishing Limited: New Delhi, India, 2000; pp. 223–263. [Google Scholar]
- Wu, C. Application of A New Firefighter Protective Clothing Material in Fire Rescue Application of a New Firefighter Protective Clothing Material in Fire Rescue. IOP Conf. Ser. Mater. Sci. Eng. 2019, 612, 032009. [Google Scholar] [CrossRef]
- Mansor, A.; Abdul Ghani, S.; Faizul Yahya, M. Knitted Fabric Parameters in Relation to Comfort Properties. Am. J. Mater. Sci. 2016, 6, 147–151. [Google Scholar] [CrossRef]
- Ziaei, M.; Ghane, M.; Hasani, H.; Saboonchi, A. Investigation into the effect of fabric structure on surface temperature distribution in weft-knitted fabrics using thermal imaging technique. Therm. Sci. 2018, 2018, 1991–1998. [Google Scholar] [CrossRef]
- Basra, S.A.; Azam, Z.; Asfand, N.; Anas, S.; Iftikhar, K.; Irshad, M.A. Development of interlock knitted seersucker fabric for better comfort properties. J. Eng. Fiber Fab. 2020, 15, 1558925020963009. [Google Scholar] [CrossRef]
- Majumdar, A.; Mukhopadhyay, S.; Yadav, R. Thermal properties of knitted fabrics made from cotton and regenerated bamboo cellulosic fibers. Int. J. Therm. Sci. 2010, 49, 2042–2048. [Google Scholar] [CrossRef]
- Kanakaraj, O.; Ramachandran, R. Influence of knit and miss stitches on Air and water vapour permeability of flat knitted rib fabrics. J. Text. Eng. 2017, 24, 269–274. [Google Scholar] [CrossRef]
- Assefa, A.; Govindan, N. Physical properties of single jersey derivative knitted cotton fabric with tuck and miss stitches. J. Eng. Fiber Fab. 2020, 15, 1558925020928532. [Google Scholar] [CrossRef]
- Newcomb, B.A. Processing, structure, and properties of carbon fibers. Compos. Part A Appl. Sci. Manuf. 2016, 91, 262–282. [Google Scholar] [CrossRef]
- Ince, M.E.; Yildirim, H. Air permeability and bursting strength of weft-knitted fabrics from glass yarn. Part II: Knit architecture effect. J. Text. Inst. 2019, 110, 1072–1084. [Google Scholar] [CrossRef]
- Buzaite, V.; Repon, R.; Milasiene, D.; Mikucioniene, D. Development of multi-layered weft-knitted fabrics for thermal insulation. J. Ind. Text. 2021, 51, 246–257. [Google Scholar] [CrossRef]
- Sekerden, F. Investigation on the unevenness, tenacity and elongation properties of bamboo/cotton blended yarns. Fiber Text. East. Eur. 2011, 86, 26–29. [Google Scholar]
- ASTM D3776/D3776M-20; Standard Test Methods for Mass Per Unit Area (Weight) of Fabric. ASTM International: West Conshohocken, PA, USA, 2020.
- ASTM D1777-96; Standard Test Method for Thickness of Textile Materials. ASTM International: West Conshohocken, PA, USA, 2019.
- ASTM D5034-21; Standard Test Method for Breaking Strength and Elongation of Textile Fabrics. ASTM International: West Conshohocken, PA, USA, 2021.
- ISO 13938-2:2019; Textiles—Bursting Properties of Fabrics—Part 2: Pneumatic Method for Determination of Bursting Strength and Bursting Distension. ISO: Geneva, Switzerland, 2019.
- ISO 12945-2:2000; Textiles—Determination of Fabric Propensity to Surface Fuzzing and to Pilling—Part 2: Modified Martindale Method. ISO: Geneva, Switzerland, 2019.
- ASTM D2594-99a; Standard Test Method for Stretch Properties of Knitted Fabrics Having Low Power. ASTM International: West Conshohocken, PA, USA, 1999.
- ASTM D737-18; Standard Test Method for Air Permeability of Textile Fabrics. ASTM International: West Conshohocken, PA, USA, 2023.
- ISO 11092:2014; Textiles—Physiological Effects—Measurement of Thermal and Water-Vapour Resistance under Steady-State Conditions (Sweating Guarded-Hotplate Test). ISO: Geneva, Switzerland, 2014.
- AATCC Test Method 195-2011; Liquid Moisture Management Properties of Textile Fabrics. American Association of Textile Chemists and Colorists: Research Triangle Park, NC, USA, 2011.
- AATCC TM 202:2014; Test Method for Relative Hand Value of Textiles: Instrumental. American Association of Textile Chemists and Colorists: Research Triangle Park, NC, USA, 2014.
- ASTM D6413/D6413M-15; Standard Test Method for Flame Resistance of Textiles (Vertical Test). ASTM International: West Conshohocken, PA, USA, 2023.
- ISO 5660-1:2015; Reaction-to-Fire Tests, Heat Release, Smoke Production and Mass Loss Rate, Part 1: Heat Release Rate (Cone Calorimeter Method) and Smoke Production Rate (Dynamic Measurement). ISO: Geneva, Switzerland, 2015.
- ASTM F2700-08; Standard Test Method for Unsteady-State Heat Transfer Evaluation of Flame-Resistant Materials for Clothing with Continuous Heating. ASTM International: West Conshohocken, PA, USA, 2020.
- Rassel, M.A. Effect of Fabric Structure and Design on Knitted Fabric Width, Weight and its Strength. J. ELT Edu. 2019, 1290, 25–30. [Google Scholar]
- Horrocks, A.R. Technical Fibers for Heat and Flame Protection, 2nd ed.; Elsevier Ltd.: Cambridge, MA, USA, 2016. [Google Scholar]
- Uyanik, S.; Topalbekiroglu, M. The effect of knit structures with tuck stitches on fabric properties and pilling resistance. J. Text Inst. 2017, 108, 1584–1589. [Google Scholar] [CrossRef]
- Jamshaid, H.; Mishra, R.K.; Raza, A.; Hussain, U.; Rahman, M.L.; Nazari, S.; Chandan, V.; Muller, M.; Choteborsky, R. Natural Cellulosic Fiber Reinforced Concrete: Influence of Fiber Type and Loading Percentage on Mechanical and Water Absorption Performance. Materials 2022, 15, 874. [Google Scholar] [CrossRef]
- Hossain, M.M.; Rahman, L.; Tumpa, T.R.; Uddin, K.; Sarkar, A.; Hussain, M.H. A Study on the Effect of Weft Knitted Structures and Stitch Length on the Pilling Behavior of Weft Knitted Fabrics. Int. Res. J. Eng. Tech. 2020, 7, 3394–3400. [Google Scholar]
- Rahman, M. Influence of stitch length and structure on selected mechanical properties of single jersey knitted fabrics with varying cotton percentage in the yarn. J. Text. Eng. Fash. Technol. 2018, 4, 189–196. [Google Scholar] [CrossRef][Green Version]
- Gokarneshan, N. Comfort Properties of Textiles: A Review of Some Breakthroughs in Recent Research. J. Mater. Sci. 2019, 5, 2–6. [Google Scholar] [CrossRef]
- El-hady, R.A. Effect of stitch type on air permeability of summer outer wear knitted fabrics. Int. J. Adv. Res. Sci. Eng. Technol. 2016, 5, 1–7. [Google Scholar] [CrossRef]
- Behera, B.K.; Mishra, R.K. Artificial neural network-based prediction of aesthetic and functional properties of worsted suiting fabrics. Int. J. Cloth. Sci. Technol. 2007, 19, 259–276. [Google Scholar] [CrossRef]
- Ogulata, R.T.; Mavruz, S. Investigation of Porosity and Air Permeability Values of Plain Knitted Fabrics. Fiber Text. East. Eur. 2010, 18, 71–75. [Google Scholar]
- Öner, E.; Okur, A. The effect of different knitted fabrics’ structures on the moisture transport properties. J. Text I. 2013, 104, 1164–1177. [Google Scholar] [CrossRef]
- Venkataraman, M.; Mishra, R.; Jasikova, D.; Kotresh, T.M. Thermodynamics of aerogel-treated nonwoven fabrics at subzero temperatures. J. Ind. Text. 2015, 45, 387–404. [Google Scholar] [CrossRef]
- Can, S.; Tan, S. A Study on Thermal and Mechanical Properties of Mechanically Milled HDPE and PP. J. Korean Soc. Dyers Finish. 1992, 11, 42–47. [Google Scholar]
- Cubric, I.S.; Skenderi, Z.; Havenith, G. Impact of raw material, yarn and fabric parameters, and finishing on water vapor resistance. Text. Res. J. 2013, 83, 1215–1228. [Google Scholar] [CrossRef]
- Nayak, R.; Kanesalingam, S.; Houshyar, S.; Vijayan, A.; Wang, L.; Padhye, R. Effect of repeated laundering and dry-cleaning on the thermo-physiological comfort properties of aramid fabrics. Fibers Polym. 2016, 17, 954–962. [Google Scholar] [CrossRef]
- Protex Fiber Information. Technical Guide Available on The Advantages of Kanecaron /Protex|Flame-Retardant Materials|KANEKA CORPORATION (modacrylic.com). Available online: https://www.modacrylic.com/en/about (accessed on 6 September 2023).
- Asano, K.; Zainuddin, M.F. Wear behavior of PAN-and pitch-based carbon fiber reinforced aluminum alloy composites under dry sliding condition. Mater. Trans. 2017, 58, 898–905. [Google Scholar] [CrossRef]
- Kopitar, D.; Pavlovic, Z.; Skenderi, Z.; Vrljicak, Z. Thermal resistance of double jersey fabric knitted by different yarn raw material. IOP Conf. Ser. Mater. Sci. Eng. 2020, 827, 012061. [Google Scholar] [CrossRef]
- Patil, U.J.; Kane, C.D.; Ramesh, P. Wickability behaviour of single-knit structures. J. Text. I. 2009, 100, 457–465. [Google Scholar] [CrossRef]
- Mishra, R. Novelities in Fibrous Material Science; Mishra, R., Ed.; Technical University of Liberec: Liberec, Czech Republic, 2017; Volume 5, ISBN 978-80-7494-390-4. [Google Scholar]
- Tirilmasi, A. Investigation of Air Permeability and Moisture Management Properties of the Commercial Single Jersey and Rib Knitted Fabrics. Tekst. Konfeksiyon 2017, 27, 27–31. [Google Scholar]
- Yanılmaz, M.; Kalaog, F. Investigation of wicking, wetting and drying properties of acrylic knitted fabrics. Text. Res. J. 2012, 82, 820–831. [Google Scholar] [CrossRef]
- Masood, R.; Jamshaid, H.; Khubaib, M.A. Development of knitted vest fabrics for human body thermoregulation. J. Therm. Anal. Calorim. 2020, 139, 159–167. [Google Scholar] [CrossRef]
- Yoo, S.; Barker, R.L. Comfort Properties of Heat-Resistant Protective Workwear in Varying Conditions of Physical Activity and Environment. Part I: Thermophysical and Sensorial Properties of Fabrics. Text. Res. J. 2005, 75, 523–530. [Google Scholar] [CrossRef]
- Elmogahzy, Y.E. Engineering Textiles; Chapter 8: Fibers; Elsevier: Berkeley, CA, USA, 2020; pp. 192–220. ISBN 9780081024881. [Google Scholar]
- Petrusic, S.; Onofrei, E.; Bedek, G.; Codau, C.; Dupont, D.; Soulat, D. Moisture management of underwear fabrics and linings of firefighter protective clothing assemblies. J. Text. I. 2015, 106, 1270–1281. [Google Scholar] [CrossRef]
- Cauich-Cupul, J.I.; Pérez-Pacheco, E.; Valadez-González, A.; Herrera-Franco, P.J. Effect of moisture absorption on the micromechanical behavior of carbon fiber/epoxy matrix composites. J. Mater. Sci. 2011, 46, 6664–6672. [Google Scholar] [CrossRef]
- Obispo, S.L. Moisture Characterization of Thermoplastics and Thermosets for use as Matrices in Fiber Reinforced Composites. In Senior Project BS Material Engineering; California PolyTechnic State University: San Luis Obispo, CA, USA, 2019. [Google Scholar]
- Nazir, A.; Hussain, T.; Ahmad, F.; Faheem, S. Effect of knitting parameters on moisture management and air permeability of interlock fabrics. Autex Res. J. 2014, 14, 39–46. [Google Scholar] [CrossRef]
- Kilic, G.B.; Okur, A. Effect of yarn characteristics on surface properties of knitted fabrics. Text. Res. J. 2019, 89, 2476–2489. [Google Scholar] [CrossRef]
- Kilinc-Balci, F.S. Testing, Analyzing and Predicting the Comfort Properties of Textiles; Chapter 6: Improving Comfort in Clothing; Elsevier Masson SAS: Gainesville, FL, USA, 2011; pp. 138–162. [Google Scholar]
- Behera, B.K.; Pattanayak, A.K.; Mishra, R. Prediction of fabric drape behavior using finite element method. J. Text. Eng. 2008, 54, 103–110. [Google Scholar] [CrossRef]
- Tamanna, T.A.; Shibly, M.A.; Nurunnabi, M.; Suruj-Zaman, M.; Mondal, B.V.; Saha, P.K. Investigation of Stretch and Recovery Property of Weft Knitted Regular Rib Fabric. Eur. Sci. J. 2017, 13, 2017. [Google Scholar] [CrossRef][Green Version]
- Emirhanova, N.; Kavusturan, Y. Effects of Knit Structure on the Dimensional and Physical Properties of Winter Outerwear Knitted Fabrics. Fibers Text. East. Eur. 2008, 16, 69–74. [Google Scholar]
- Gu, H. Research on thermal properties of Nomex/Viscose FR fiber blended fabric. Mater. Des. 2009, 30, 4324–4327. [Google Scholar] [CrossRef]
- Crina, B.; Blaga, M.; Luminita, V.; Mishra, R. Comfort properties of functional weft knitted spacer fabrics. Tekst. Konfeksiyon 2013, 23, 220–227. [Google Scholar]
- Varga, K.; Noisternig, M.F.; Griesser, U.J.; Aljaz, L.; Koch, T. Thermal and sorption study of flame-resistant fibers. Lenzing. Berichte 2011, 89, 50–59. [Google Scholar]
- Yang, F. Fire-Retardant Carbon-Fiber-Reinforced Thermoset Composites; Chapter 10: Novel Fire Retardant Polymers and Composite Materials; Elsevier Ltd.: Cambridge, MA, USA, 2017; pp. 271–293. [Google Scholar]
- Technical Guide of Nomex® Fiber. Available online: https://www.dupont.com (accessed on 7 September 2023).
- Venkataraman, M.; Mishra, R.; Militky, J.; Hes, L. Aerogel based nanoporous fibrous materials for thermal insulation. Fiber. Polym. 2014, 15, 1444–1449. [Google Scholar] [CrossRef]
- Chiang, Y.C.; Lee, C.C.; Lee, H.C. Characterization of microstructure and surface properties of heat-treated PAN-and rayon-based activated carbon fibers. J. Porous Mater. 2007, 14, 227–237. [Google Scholar] [CrossRef]
- Sun, G.; Yoo, H.S.; Zhang, X.S.; Pan, N. Radiant Protective and Transport Properties of Fabrics Used by Wildland Firefighters. Text. Res. J. 2000, 70, 567–573. [Google Scholar] [CrossRef]
- Hernandez, N.; Sonnier, R. Influence of grammage on heat release rate of polypropylene fabrics. J. Fire Sci. 2018, 36, 30–46. [Google Scholar] [CrossRef]
- Haghi, A.K. Heat & Mass Transfer in Textiles, Heat, 2nd ed.; World Scientific and Engineering Academy and Society: Athens, Greece, 2011; pp. 31–129. ISBN 978-1-61804-025-1. [Google Scholar]
- Bedek, G.; Salaün, F.; Martinkovska, Z.; Devaux, E.; Dupont, D. Evaluation of thermal and moisture management properties on knitted fabrics and comparison with a physiological model in warm conditions. Appl. Ergon. 2011, 42, 792–800. [Google Scholar] [CrossRef] [PubMed]
- Bajaj, P. Fire-retardant materials. Bull. Mater. Sci. 1992, 15, 67–76. [Google Scholar] [CrossRef]
- Fei, B. High-Performance Fibers for Textiles; Elsevier Ltd.: Cambridge, MA, USA, 2018. [Google Scholar]
- He, H.; Yu, Z.; Zhang, C.; Li, M. Thermal Protective Performance of Firefighters’ Clothing Under Low-Intensity Radiation Heat Exposure. Autex Res. J. 2021, 21, 234–241. [Google Scholar] [CrossRef]
- Liu, S.; Yang, C.; Zhao, Y.; Tao, X. The impact of float stitches on the resistance of conductive knitted structures. Text. Res. J. 2016, 86, 1455–1473. [Google Scholar] [CrossRef]
- NFPA 1975; Standard on Emergency Services Work Apparel. National Fire Protection Association, 1 Batterymarch Park Quincy: Quincy, MA, USA, 2019.
- Kotresh, T.M.U.; Indushekar, R.; Subbulakshmi, M.S.; Vijayalakshmi, S.N.; Krishna Prasad, A.S.; Gaurav, K. Evaluation of foam/single and multiple layer Nomex fabric combinations in the cone calorimeter. Polym. Test. 2005, 24, 607–612. [Google Scholar] [CrossRef]
- Kotresh, T.; Indushekar, R.; Subbulakshmi, M.; Vijayalakshmi, S.; Prasad, A.K.; Padaki, V.; Agrawal, A.K. Effect of heat flux on the burning behaviour of foam and foam/ Nomex III fabric combination in the cone calorimeter. Polym. Test. 2006, 25, 744–757. [Google Scholar] [CrossRef]
- White, R.H.; Nam, S.; Parikh, D.B. Cone calorimeter evaluation of two flame retardant cotton fabrics. Fire Mater. 2013, 37, 46–57. [Google Scholar] [CrossRef]
















| Sr. No | Fiber Type | Denier (g/9000 m) | Tenacity (g/denier) | Density (g/cm3) | Extension (%) | Moisture Content (%) | Moisture Regain (%) | Length (mm) |
|---|---|---|---|---|---|---|---|---|
| 1 | Nomex (N) | 1.63 | 7.56 ± 0.20 | 1.37 | 30.90 ± 1.00 | 4.70 ± 0.10 | 4.90 ± 0.10 | 50 ± 4 |
| 2 | Protex (P) | 1.53 | 3.48 ± 0.20 | 1.35 | 21.80 ± 1.00 | 0.50 ± 0.04 | 0.50 ± 0.02 | 38 ± 3 |
| 3 | Carbon (C) | 2.26 | 1.57 ± 0.20 | 1.75–2.00 | 10.97 ± 1.00 | 2.30 ± 0.10 | 2.30 ± 0.10 | 38 ± 3 |
| 4 | Viscose (V) | 2.02 | 2.19 ± 0.20 | 1.53 | 22.4 7 ± 1.00 | 7.90 ± 0.10 | 8.60 ± 0.10 | 40 ± 4 |
| Factors | Levels | ||||
|---|---|---|---|---|---|
| 1 | 2 | 3 | 4 | 5 | |
| Fiber Blend % (A) | 100% Nomex | Nomex 50%: carbon 50% | Nomex 30%: Protex 70% | Nomex 70%: carbon 30% | Nomex 70%: viscose 30% |
| Knit Fabric Structure (B) | Cross-relief | Cross-miss | Vertical tubular | - | - |
| Knitted Structure | Cam Repeat | Fabric View | Knit, Miss, Tuck | |||||||||
|---|---|---|---|---|---|---|---|---|---|---|---|---|
| Interlock cross-miss | K = knit, T = tuck, M = miss | ![]() | 42, 58, 0 | |||||||||
| Feeder | F1 | F2 | F3 | F4 | F5 | F6 | ||||||
| B | K | M | M | M | K | M | ||||||
| dial | A | M | K | M | K | M | M | |||||
| A | K | M | K | M | K | M | ||||||
| cylinder | B | M | K | M | K | M | K | |||||
| Interlock cross-relief | K = knit, T = tuck, M = miss | ![]() | 31, 69, 0 | |||||||||
| Feeder | F1 | F2 | F3 | F4 | F5 | F6 | F7 | F8 | ||||
| B | K | M | K | M | M | M | M | M | ||||
| dial | A | M | K | M | K | M | M | M | M | |||
| A | M | K | M | M | M | K | M | K | ||||
| cylinder | B | K | M | M | M | K | M | K | M | |||
| Vertical tubular | K = knit, T = tuck, M = miss | ![]() | 42, 50, 8 | |||||||||
| Feeder | F1 | F2 | F3 | F4 | F5 | F6 | ||||||
| B | K | M | K | M | K | M | ||||||
| dial | A | M | K | T | M | K | M | |||||
| A | K | M | M | K | M | T | ||||||
| cylinder | B | M | K | M | M | K | K | |||||
| Sample ID | Fiber Blend | Knitting Structure |
|---|---|---|
| S1 | 100% N | Cross-miss |
| S2 | 100% N | Cross-relief |
| S3 | 100% N | Vertical tubular |
| S4 | 50N/50C | Cross-miss |
| S5 | 50N/50C | Cross-relief |
| S6 | 50N/50C | Vertical tubular |
| S7 | 70P/30N | Cross-miss |
| S8 | 70P/30N | Cross-relief |
| S9 | 70P/30N | Vertical tubular |
| S10 | 70N/30C | Cross-miss |
| S11 | 70N/30C | Cross-relief |
| S12 | 70N/30C | Vertical tubular |
| S13 | 70N/30V | Cross-miss |
| S14 | 70N/30V | Cross-relief |
| S15 | 70N/30V | Vertical tubular |
| Fiber Blend Composition | Ignition Time, tig (s) | Peak Heat Release Rate, PHRR (kW/m2) | Total Oxygen Consumed, TOC (g) | Average Mass Loss Rate, Av MLR (g/s) | Average CO2 Yield, Av CO2 (kg/kg) |
|---|---|---|---|---|---|
| 100% Nomex | 21 ± 1 | 55 ± 1 | 18 ± 1 | 0.022 ± 0.001 | 1.92 ± 0.01 |
| Nomex 50%: carbon 50% | 25 ± 1 | 50 ± 1 | 16 ± 1 | 0.018 ± 0.001 | 1.45 ± 0.01 |
| Nomex 30%: Protex 70% | 18 ± 1 | 84 ± 1 | 20 ± 1 | 0.025 ± 0.001 | 2.21 ± 0.01 |
| Nomex 70%: carbon 30% | 24 ± 1 | 53 ± 1 | 17 ± 1 | 0.021 ± 0.001 | 1.62 ± 0.01 |
| Nomex 70%: viscose 30% | 15 ± 1 | 95 ± 1 | 21 ± 1 | 0.028 ± 0.001 | 2.42 ± 0.01 |
Disclaimer/Publisher’s Note: The statements, opinions and data contained in all publications are solely those of the individual author(s) and contributor(s) and not of MDPI and/or the editor(s). MDPI and/or the editor(s) disclaim responsibility for any injury to people or property resulting from any ideas, methods, instructions or products referred to in the content. |
© 2023 by the authors. Licensee MDPI, Basel, Switzerland. This article is an open access article distributed under the terms and conditions of the Creative Commons Attribution (CC BY) license (https://creativecommons.org/licenses/by/4.0/).
Share and Cite
Khan, A.A.; Jamshaid, H.; Mishra, R.K.; Chandan, V.; Kolář, V.; Jirků, P.; Müller, M.; Nazari, S.; Alexiou Ivanova, T.; Hussain, T. An Analysis of the Performance and Comfort Properties of Fire-Protective Material by Using Inherently Fire-Retardant Fibers and Knitting Structures. Materials 2023, 16, 7347. https://doi.org/10.3390/ma16237347
Khan AA, Jamshaid H, Mishra RK, Chandan V, Kolář V, Jirků P, Müller M, Nazari S, Alexiou Ivanova T, Hussain T. An Analysis of the Performance and Comfort Properties of Fire-Protective Material by Using Inherently Fire-Retardant Fibers and Knitting Structures. Materials. 2023; 16(23):7347. https://doi.org/10.3390/ma16237347
Chicago/Turabian StyleKhan, Awais Ahmad, Hafsa Jamshaid, Rajesh Kumar Mishra, Vijay Chandan, Viktor Kolář, Petr Jirků, Miroslav Müller, Shabnam Nazari, Tatiana Alexiou Ivanova, and Tanveer Hussain. 2023. "An Analysis of the Performance and Comfort Properties of Fire-Protective Material by Using Inherently Fire-Retardant Fibers and Knitting Structures" Materials 16, no. 23: 7347. https://doi.org/10.3390/ma16237347
APA StyleKhan, A. A., Jamshaid, H., Mishra, R. K., Chandan, V., Kolář, V., Jirků, P., Müller, M., Nazari, S., Alexiou Ivanova, T., & Hussain, T. (2023). An Analysis of the Performance and Comfort Properties of Fire-Protective Material by Using Inherently Fire-Retardant Fibers and Knitting Structures. Materials, 16(23), 7347. https://doi.org/10.3390/ma16237347




