Research on the Mechanical Model and Hysteresis Performance of a New Mild Steel-Rotational Friction Hybrid Self-Centering Damper
Abstract
:1. Introduction
2. Basic Structure and Working Principle of MS-SCFD
2.1. Structure of MS-SCFD
2.2. Working Mechanism
2.3. Practical Engineering Application
3. Theoretical Model of the MS-SCFD
3.1. Restoring Force Model of the SCFD
3.2. Restoring-Force Model of the X-Shaped MS Damper
3.3. Restoring-Force Model of the MS-SCFD
4. Finite Element Modeling and Result Verification
4.1. Numerical Model of the MS-SCFD
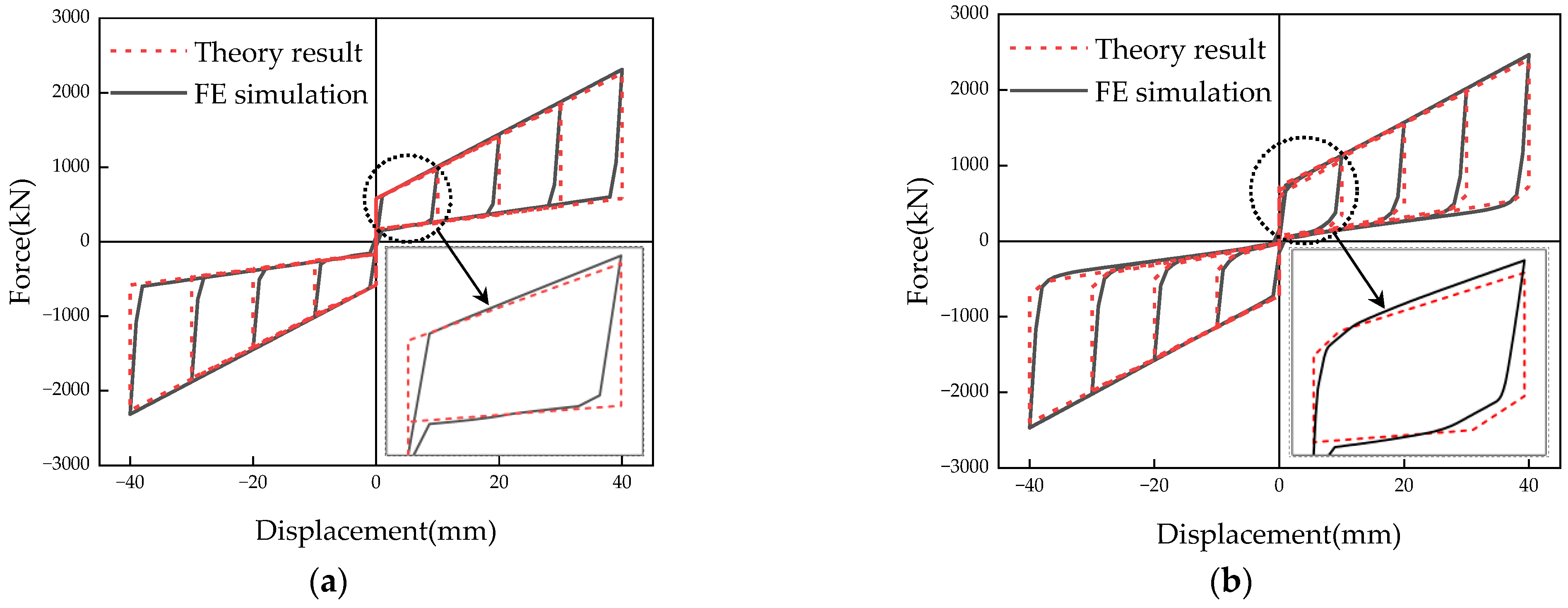
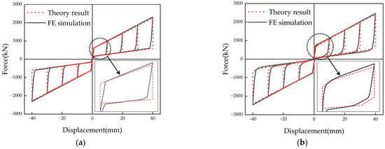
4.2. Verification of the Theoretical Restoring Model
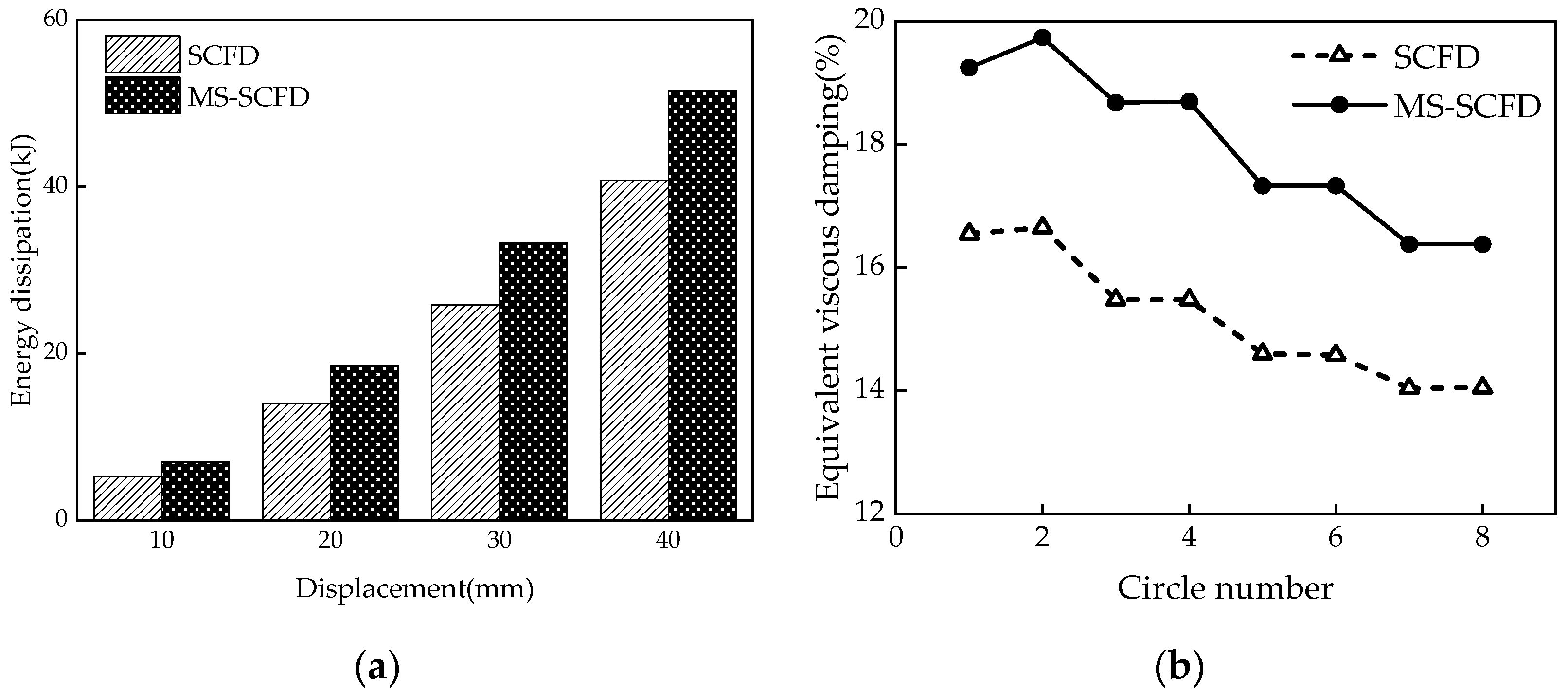
4.3. Comparison of Hysteresis Curves between the MS-SCFD and the SCFD
5. Parameter Analysis
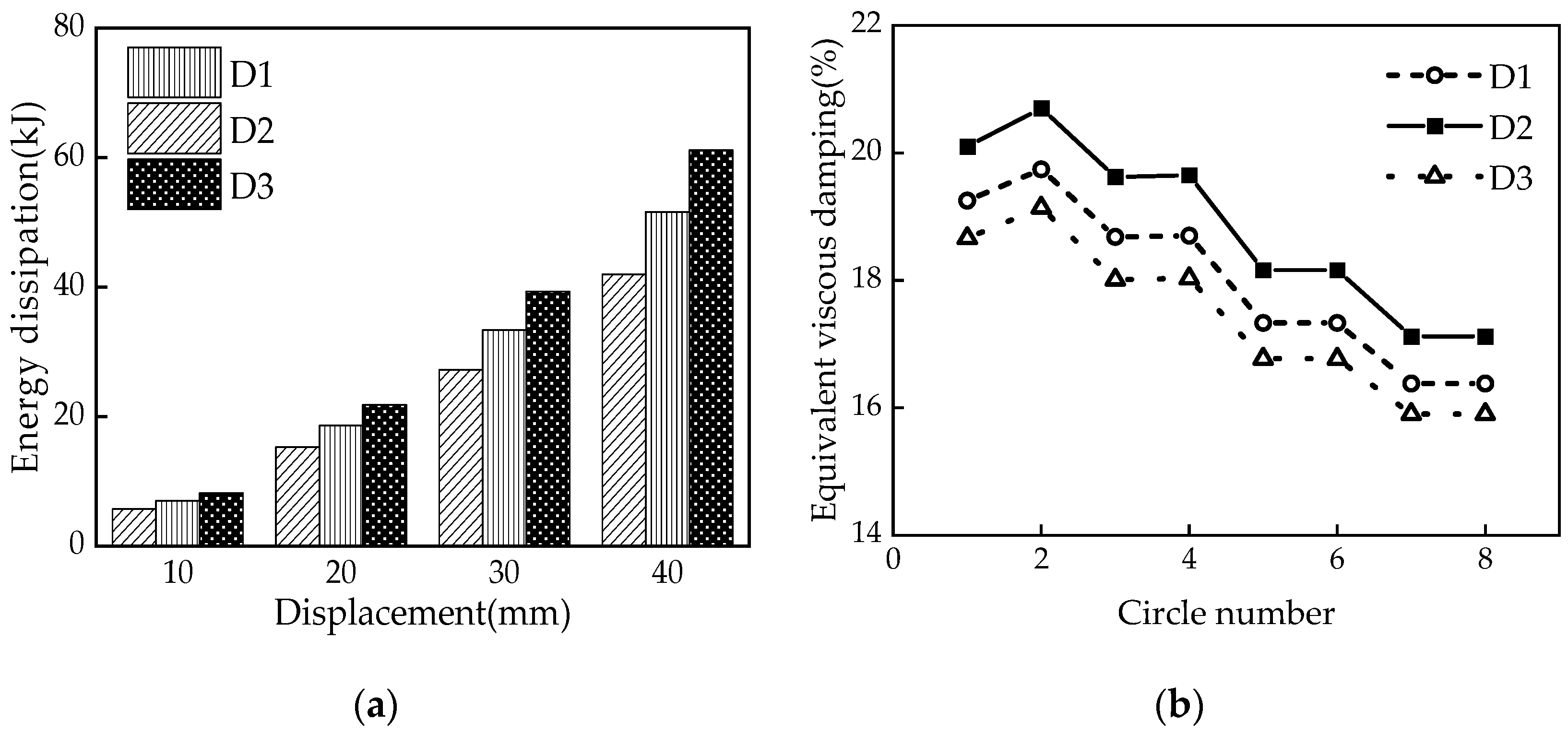
5.1. Disc Spring Pre-Pressure
5.2. Friction Coefficient
5.3. Mild Steel Thickness
6. Conclusions
- The damper makes up for the limitation of traditional metal yield dampers that cannot dissipate energy at the linear elastic stage with low displacement. Additionally, by incorporating the X-shaped mild steel for energy dissipation, the SCFD can effectively enhance its energy-dissipation performance, addressing the issue of a single energy-dissipation mechanism and insufficient energy consumption in traditional self-centering dampers;
- The hysteresis curve of the MS-SCFD is smooth and plump, exhibiting typical flag characteristics and excellent self-centering performance. The simulation results of the numerical model are essentially consistent with the theoretical results, with a maximum error at crucial performance points of bearing capacity being only 9.46%;
- The equivalent viscous damping coefficient and accumulated energy dissipation of the MS-SCFD can be effectively enhanced by increasing either friction coefficient or mild steel thickness; however, these measures lead to a slight decrease in self-centering performance. On the other hand, raising the pre-pressure on combined disc springs improves the self-centering ability while slightly reducing the energy-dissipation efficiency. Factors such as reset ratio, bearing capacity, and energy dissipation must be comprehensively considered to meet structural seismic performance requirements.
Author Contributions
Funding
Institutional Review Board Statement
Informed Consent Statement
Data Availability Statement
Conflicts of Interest
References
- Ke, K.; Yam, M.C.; Zhang, P.; Shi, Y.; Li, Y.; Liu, S.J. Self-centering damper with multi-energy-dissipation mechanisms: Insights and structural seismic demand perspective. J. Constr. Steel Res. 2023, 204, 107837. [Google Scholar] [CrossRef]
- Guo, T.; Wang, J.S.; Song, Y.S.; Xuan, W.H.; Chen, Y.Z. Self-centering cable brace with friction devices for enhancing seismic performance of RC frame structures. Eng. Struct. 2020, 207, 110187. [Google Scholar] [CrossRef]
- Bruschi, E.; Zoccolini, L.; Cattaneo, S.; Quaglini, V. Experimental Characterization, Modeling, and Numerical Evaluation of a Novel Friction Damper for the Seismic Upgrade of Existing Buildings. Materials 2023, 16, 1933. [Google Scholar] [CrossRef]
- Li, D.B.; Zhou, Y. A force-resisting rotary friction damper (RFD): Verification and comparison with traditional RFD. Eng. Struct. 2022, 273, 115015. [Google Scholar] [CrossRef]
- Sano, T.; Shirai, K.; Suzui, Y.; Utsumi, Y. Loading tests of a brace-type multi-unit friction damper using coned disc springs and numerical assessment of its seismic response control effects. Bull. Earthq. Eng. 2019, 17, 5365–5391. [Google Scholar] [CrossRef]
- Liu, Y.; Zhou, W.; Xie, X.Y. Experimental study of precast self-centering concrete shear walls with external friction dampers. J. Build. Eng. 2023, 68, 1808–1818. [Google Scholar] [CrossRef]
- Chen, Y.; Chen, C.; Jiang, H.J.; Liu, T.; Wan, Z.W. Study of an innovative graded yield metal damper. J. Constr. Steel Res. 2019, 160, 240–254. [Google Scholar] [CrossRef]
- Dong, H.H.; Du, X.L.; Han, Q.; Hao, H.; Bi, K.M.; Wang, X.Q. Performance of an innovative self-centering buckling restrained brace for mitigating seismic responses of bridge structures with double-column piers. Eng. Struct. 2017, 148, 47–62. [Google Scholar] [CrossRef]
- Qu, C.X.; Xu, Y.W.; Gao, J.H.; Zhou, W.H.; Zheng, B.Z.; Li, P. Mechanical Performance Study of Beam–Column Connection with U-Shaped Steel Damper. Materials 2022, 15, 7085. [Google Scholar] [CrossRef]
- Cheraghi, A.; Zahrai, S.M. Innovative multi-level control with concentric pipes along brace to reduce seismic response of steel frames. J. Constr. Steel Res. 2016, 127, 120–135. [Google Scholar] [CrossRef]
- Suzuki, T.; Motomura, S.; Kinoshita, T.; Inoue, Y.; Kushibe, A.; Iida, T. Shape optimization of Hourglass-shaped damper using Fe-Mn-Si-Based alloy considering target Load-displacement relationship and target fatigue characteristics. Constr. Build. Mater. 2023, 366, 130091. [Google Scholar] [CrossRef]
- Nasab, M.S.E.; Javidan, M.M.; Chun, S.; Kim, J. Experimental study on seismic retrofit of a RC frame using viscoelastic dampers. Structures 2021, 34, 771–786. [Google Scholar] [CrossRef]
- Li, Q.Q.; Xu, Z.D.; Dong, Y.R.; He, Z.H.; Zhu, C.; Lu, Y. Effects of mechanical nonlinearity of viscoelastic dampers on the seismic performance of viscoelasticlly damped structures. Soil Dyn. Earthq. Eng. 2021, 150, 106936. [Google Scholar] [CrossRef]
- Emminger, C.; Çakmak, U.D.; Preuer, R.; Graz, I.; Major, Z. Hyper-elastic Material Parameter Determination and Numerical Study of TPU and PDMS Dampers. Materials 2021, 14, 7639. [Google Scholar] [CrossRef] [PubMed]
- Zhang, W.X.; Zhang, C.; Su, L.J.; Zheng, Y.R.; Du, X.L. Experimental study on the dynamic performance of a winding rope fluid viscous damper. Eng. Struct. 2023, 281, 115786. [Google Scholar] [CrossRef]
- Niu, J.T.; Ding, Y.; Shi, Y.D.; Li, Z.X. Oil damper with variable stiffness for the seismic mitigation of cable-stayed bridge in transverse direction. Soil Dyn. Earthq. Eng. 2019, 125, 105719. [Google Scholar] [CrossRef]
- Su, L.J.; Zhang, W.X.; Chen, Y.; Zhang, C. Seismic design and shaking table test of continuous girder bridges with winding rope fluid viscous dampers. Eng. Struct. 2023, 277, 115408. [Google Scholar] [CrossRef]
- Vemuri, J.P. A Novel Statistical Model for Link Overstrength. In Advances in Structural Engineering; Springer: New Delhi, India, 2015; Volume 1, pp. 567–575. [Google Scholar] [CrossRef]
- Han, Q.; Dong, H.H.; Wang, L.H.; Du, X.L. Review of seismic resilient bridge structures with replaceable members. China J. Highw. Trans. 2021, 34, 215–230. [Google Scholar] [CrossRef]
- Jia, J.F.; Zhao, L.Y.; Bai, Y.L.; Zhou, S.M.; Liu, Z.; Li, M.C. Design of self-centering energy dissipation brace with U-Shaped steel plates and analysis on hysteretic behavior. J. Southeast U. Nat. Sci. Ed. 2021, 51, 754–761. [Google Scholar] [CrossRef]
- Naeem, A.; Maida, Y.; Koichi, K.; Javidan, M.M. Development and experimental verification of self-centering disc slit damper for buildings. J. Constr. Steel Res. 2023, 201, 107759. [Google Scholar] [CrossRef]
- Hu, B.L.; Min, Y.J.; Wang, C.H.; Xu, Q.; Keleta, Y. Design, analysis and application of the double-stage yield buckling restrained brace. J. Build. Eng. 2022, 48, 103980. [Google Scholar] [CrossRef]
- Xu, L.H.; Lin, Z.C.; Xie, X.S. Assembled self-centering energy dissipation braces and a force method-based model. J. Constr. Steel Res. 2022, 190, 107121. [Google Scholar] [CrossRef]
- Wang, D.B.; He, J.; Sun, Z.G.; Wang, D.S. New type of friction self-centering brace with displacement amplification function and its application in double column piers. J. Vib. Shock 2023, 42, 51–59. [Google Scholar] [CrossRef]
- Wang, Y.W.; Zhou, Z.; Xie, Q.; Huang, L.J. Theoretical analysis and experimental investigation of hysteretic performance of self-centering variable friction damper braces. Eng. Struct. 2020, 217, 110779. [Google Scholar] [CrossRef]
- Qiu, C.X.; Wang, H.Y.; Liu, J.W.; Qi, J.; Wang, Y.M. Experimental tests and finite element simulations of a new SMA-steel damper. Smart Mater. Struct. 2020, 29, 035016. [Google Scholar] [CrossRef]
- Lu, Y.J.; Lv, Q.F.; Sun, T.F.; Liu, Y.; Tang, H.Y. Experimental and numerical studies on hysteretic behavior of a novel bending-friction coupled damper. Thin Wall. Struct. 2023, 183, 110385. [Google Scholar] [CrossRef]
- Gao, J.W.; Wang, C.L.; Zeng, B.; Qiu, T.Y. Experimental investigation of a novel sleeved member with additional friction dampers. Eng. Struct. 2023, 277, 115420. [Google Scholar] [CrossRef]
- Lu, Y.J.; Liu, Y.; Wang, Y.H.; Liu, J.J.; Huang, X.G. Development of a novel buckling-restrained damper with additional friction energy dissipation: Component tests and structural verification. Eng. Struct. 2023, 274, 115188. [Google Scholar] [CrossRef]
- Ke, K.; Chen, Y.H.; Zhou, X.H.; Yam, M.C.; Hu, S.L. Experimental and numerical study of a brace-type hybrid damper with steel slit plates enhanced by friction mechanism. Thin Wall. Struct. 2023, 182, 110249. [Google Scholar] [CrossRef]
- GB 50011-2010; Code for Seismic Design of Buildings—Chapter 8: Multi-Story and Tall Steel Buildings. Ministry of Housing and Urban Rural Development of the People’s Republic of China, General Administration of Quality Supervision, Inspection and Quarantine of the People’s Republic of China: Beijing, China, 2010.
- Lian, M.; Su, M.Z.; Li, S. Elasto-plastic story shear distribution of Y-type high strength steel composite eccentrically braced frame. J. Build. Struct. 2016, 37, 86–96. [Google Scholar]
- Veismoradi, S.; Yousef-beik, S.M.M.; Zarnani, P.; Quenneville, P. Development and parametric study of a new self-centering rotational friction damper. Eng. Struct. 2021, 235, 112097. [Google Scholar] [CrossRef]
- Chen, Y.; Chen, C.; Xu, Z.F. Aseismic performance of metal energy-dissipating damper with self-centering function. J. Vib. Shock 2021, 40, 25–31. [Google Scholar] [CrossRef]
- Chen, L.; Wang, D.S.; Shi, F.; Zhang, R.; Sun, Z.G. Hysteretic performance of self-centering buckling-restrained braces with embedded friction spring. Eng. Struct. 2023, 280, 115595. [Google Scholar] [CrossRef]





















| Types of Material Parameters | Non-X-Shaped Mild Steel Parts | X-Shaped Mild Steel |
|---|---|---|
| Young’s elastic modulus (Gpa) | 210 | 203 |
| Yield strength (Mpa) | 690 | 160 |
| Tensile strength (Mpa) | 860 | - |
| Poisson’s ratio | 0.294 | 0.3 |
| Parameter Type | Rin | Rout | H | L | b | h | t |
|---|---|---|---|---|---|---|---|
| Data (mm) | 102 | 200 | 56.1 | 748 | 300 | 306 | 30 |
| Damper Category | SCFD | MS-SCFD | |||||||||
|---|---|---|---|---|---|---|---|---|---|---|---|
| Fts | Ftu | Ftr | Ftc | Fa | Fb | Fc | Fd | Fe | Ff | ||
| ∆ = 10 mm | Simulation results (kN) | 615.0 | 1010.1 | 247.1 | 156.7 | 614.8 | 719.8 | 1134.3 | 352.7 | 109.8 | 68.9 |
| Theoretical results (kN) | 579.8 | 971.0 | 249.5 | 168.2 | 579.8 | 724.0 | 1065.1 | 343.6 | 103.3 | 74.1 | |
| Error (%) | 6.07 | 4.02 | −0.93 | −6.83 | 6.03 | −0.58 | 6.50 | 2.65 | 6.29 | −7.02 | |
| ∆ = 40 mm | Simulation results (kN) | 614.8 | 2312.7 | 600.3 | 156.8 | 615.5 | 719.8 | 2465.4 | 673.9 | 145.1 | 67.1 |
| Theoretical results (kN) | 579.8 | 2262.8 | 581.3 | 168.2 | 579.8 | 724.0 | 2404.0 | 649.7 | 154.3 | 74.1 | |
| Error (%) | 6.03 | 2.21 | 3.27 | −6.79 | 6.16 | −0.58 | 2.55 | 3.59 | −5.96 | −9.46 | |
| Model Definition | Model Number | P (kN) | μ | t (mm) |
|---|---|---|---|---|
| Benchmark model | D1 | 200 | 0.2 | 30 |
| Pre-pressure change | D2 | 150 | 0.2 | 30 |
| D3 | 250 | 0.2 | 30 | |
| Friction coefficient change | D4 | 200 | 0.1 | 30 |
| D5 | 200 | 0.3 | 30 | |
| Mild steel thickness change | D6 | 200 | 0.2 | 15 |
| D7 | 200 | 0.2 | 45 |
Disclaimer/Publisher’s Note: The statements, opinions and data contained in all publications are solely those of the individual author(s) and contributor(s) and not of MDPI and/or the editor(s). MDPI and/or the editor(s) disclaim responsibility for any injury to people or property resulting from any ideas, methods, instructions or products referred to in the content. |
© 2023 by the authors. Licensee MDPI, Basel, Switzerland. This article is an open access article distributed under the terms and conditions of the Creative Commons Attribution (CC BY) license (https://creativecommons.org/licenses/by/4.0/).
Share and Cite
Wang, D.; Pang, R.; Wang, G.; Fan, G. Research on the Mechanical Model and Hysteresis Performance of a New Mild Steel-Rotational Friction Hybrid Self-Centering Damper. Materials 2023, 16, 7168. https://doi.org/10.3390/ma16227168
Wang D, Pang R, Wang G, Fan G. Research on the Mechanical Model and Hysteresis Performance of a New Mild Steel-Rotational Friction Hybrid Self-Centering Damper. Materials. 2023; 16(22):7168. https://doi.org/10.3390/ma16227168
Chicago/Turabian StyleWang, Debin, Ran Pang, Gang Wang, and Guoxi Fan. 2023. "Research on the Mechanical Model and Hysteresis Performance of a New Mild Steel-Rotational Friction Hybrid Self-Centering Damper" Materials 16, no. 22: 7168. https://doi.org/10.3390/ma16227168
APA StyleWang, D., Pang, R., Wang, G., & Fan, G. (2023). Research on the Mechanical Model and Hysteresis Performance of a New Mild Steel-Rotational Friction Hybrid Self-Centering Damper. Materials, 16(22), 7168. https://doi.org/10.3390/ma16227168

