Assessment of the Laser Beam Welding of Galvanized Car Body Steel with an Additional Organic Protective Layer
Abstract
1. Introduction
2. Materials and Methods
2.1. Welding Process
2.2. Tests of Welded Joints
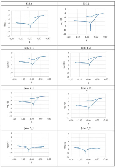
3. Results and Discussion
4. Conclusions
Author Contributions
Funding
Institutional Review Board Statement
Informed Consent Statement
Data Availability Statement
Conflicts of Interest
References
- Takeaways from IABC 2019 USA. Automotive Body Congress, Detroit. 2019, p. 6. Available online: https://www.ssab.com/products/brands/docol/automotive-insights/2019/5-takeaways-from-iabc-2019-usa (accessed on 19 December 2019).
- Matlock, D.K.; Speer, J.G.; de Moor, E. Recent AHSS developments for automotive applications: Processing, microstructures, and properties. In Proceedings of the Addressing Key Technology Gaps in Implementing Advanced High-Strength Steels for Automotive Light Weighting, Southfield, MI, USA, 9–10 February 2012. [Google Scholar]
- Pawar, N. Automotive Advanced High Strength Steel (AHSS) Market Professional Survey Report 2019; Analytical Research Cognizance (ARCX001); Grand Research Store: New York, NY, USA, 2019; p. 101. [Google Scholar]
- Mojtaba, E.; Rouhollah, M.; Esfahani, M.M.; Pezzato, L.; Karimi, E. Effect of cold forging on mechanical and corrosion behaviors of carbon steel plate. Int. J. Press. Vessel. Pip. 2022, 198, 104659. [Google Scholar] [CrossRef]
- DOCOL the Automotive Steel. In The Most Sustainable Solution: Setting the New Standard for the Automotive Industry; SSAB: Borlänge, Sweden, 2019.
- Nayak, S.S.; Biro, E.; Shou, Y. Laser welding of advanced high-strength steels (AHSS). In Welding and Joining of Advanced High Strength Steels; Woodhead Publishing: Sawston, UK, 2015; pp. 71–92. [Google Scholar]
- Billur, E. Hot Stamping of Ultra High-Strength Steels; Springer: New York, NY, USA, 2018; ISBN 978-3-319-98868-9. [Google Scholar]
- Gronostajski, Z.; Pater, Z.; Madej, L.; Gontarz, A.; Lisiecki, L.; Łukaszek-Sołek, A.; Łuksza, J.; Mróz, S.; Muskalski, Z.; Muzykiewicz, W.; et al. Recent Development Trends in Metal Forming. Arch. Civ. Mech. Eng. 2019, 19, 898–941. [Google Scholar] [CrossRef]
- Ma, J.; Kong, F.; Carlson, B.; Kovacevic, R. Two-pass laser welding of galvanized high-strength dual-phase steel for a zero-gap lap joint configuration. J. Mater. Process. Technol. 2013, 213, 495–507. [Google Scholar] [CrossRef]
- Kong, H.; Chao, Q.; Rolfe, B.; Beladi, H. One-Step Quenching and Partitioning Treatment of a Tailor Welded Blank of Boron and TRIP Steels for Automotive Applications. Mater. Des. 2019, 174, 107799. [Google Scholar] [CrossRef]
- Mei, L.; Chen, G.; Jin, X.; Zhang, Y.; Wu, Q. Research on laser welding of high-strength galvanized automobile steel sheets. Opt. Lasers Eng. 2009, 47, 1117–1124. [Google Scholar] [CrossRef]
- Węgrzyn, T.; Piwnik, J.; Łazarz, B.; Hadryś, D. Main micro-jet cooling gases for steel welding. Arch. Metall. Mater. 2013, 58, 555–557. [Google Scholar] [CrossRef]
- Lisiecki, A. Welding of thermomechanically rolled fine-grain steel by different types of lasers. Arch. Metall. Mater. 2014, 59, 1625–1631. [Google Scholar] [CrossRef]
- Węgrzyn, T.; Miroslawski, J.; Silva, A.P.; Pinto, D.G.; Miros, M. Oxide inclusions in steel welds of car body. Mater. Sci. Forum 2010, 6, 585–591. [Google Scholar] [CrossRef]
- Chen, Z.; Yang, S.; Wang, C.; Hu, X.; Shao, X.; Wang, J. A study of fiber laser welding of galvanized steel using a suction method. J. Mater. Process. Technol. 2014, 214, 1456–1465. [Google Scholar] [CrossRef]
- Janicki, D. Disk laser welding of armor steel. Arch. Metall. Mater. 2014, 59, 1641–1646. [Google Scholar] [CrossRef]
- Węgrzyn, T.; Piwnik, J.; Hadryś, D. Oxygen in steel WMD after welding with micro-jet cooling. Arch. Metall. Mater. 2013, 58, 1067–1070. [Google Scholar] [CrossRef]
- Gu, X.; Wu, S.; Duan, Z.; Zhu, L. Effect of welding parameters on weld formation quality and tensile-shear property of laser welded SUS301L stainless steel lap filet weld. J. Mater. Res. Technol. 2020, 9, 4840–4854. [Google Scholar] [CrossRef]
- Esfahani, M.M.; Manesh, H.D.; Esmailzadeh, M.; Roshanaei, E. Microstructure and wear characteristics of 1050Al/Fe surface composites by friction stir processing. Mater. Res. Express 2018, 5, 126518. [Google Scholar] [CrossRef]
- Grajcar, A.; Różański, M.; Kamińska, M.; Grzegorczyk, B. Effect of gas atmosphere on the non-metallic inclusions in laser-welded TRIP steel with Al and Si additions. Mater. Tehnol. 2016, 50, 945–950. [Google Scholar] [CrossRef]
- Opiela, M. Thermodynamic analysis of the precipitation of carbonitrides in microalloyed steels. Mater. Technol. 2015, 49, 395–401. [Google Scholar] [CrossRef]
- Żuk, M.; Górka, J.; Czupryński, A.; Adamiak, M. Properties and structure of the weld joints of quench and tempered 4330V steel. Metalurgija 2016, 55, 613–616. [Google Scholar]
- Mei, L.; Yi, J.; Yan, D.; Liu, J.; Chen, G. Comparative study on CO2 laser overlap welding and resistance spot welding for galvanized steel. Mater. Des. 2012, 40, 433–442. [Google Scholar] [CrossRef]
- Milberg, J.; Trautmann, A. Defect-free joining of zinc-coated steels by bifocal hybrid laser welding. Prod. Eng. 2009, 3, 9–15. [Google Scholar] [CrossRef]
- Ramakrishna, R.V.S.M.; Amrutha, P.H.S.L.R.; Rahman, R.A.; Palanisamy, S. Narrow gap laser welding (NGLW) of structural steels—A technological review and future research recommendations. Int. J. Adv. Manuf. Technol. 2020, 111, 2277–2300. [Google Scholar] [CrossRef]
- Górka, J. Microstructure and properties of the high-temperature (HAZ) of thermo-mechanically treated S700MC high-yield-strength steel. Mater. Technol. Mater. Technol. 2016, 50, 617–621. [Google Scholar] [CrossRef]
- Coroado, J.; Ganguly, S.; Suder, W.; Williams, S.; Meco, S.; Pardal, G. Selection of parameters in nanosecond pulsed wave laser micro-welding. Int. J. Adv. Manuf. Technol. 2021, 115, 2929–2944. [Google Scholar] [CrossRef]
- Kim, J.; Oh, S.; Ki, H. Effect of keyhole geometry and dynamics in zero-gap laser welding of zinc-coated steel sheets. J. Mater. Process. Technol. 2016, 232, 131–141. [Google Scholar] [CrossRef]
- Yang, S.; Wang, J.; Carlson, B.E.; Zhang, J. Vacuum-Assisted Laser Welding of ZincCoated Steels in a Gap-Free Lap Joint Configuration. Weld. J. 2013, 92, 197–204. [Google Scholar]
- Mician, M.; Harmaniak, D.; Nový, F.; Winczek, J.; Moravec, J.; Trško, L. Effect of the t(8/5) Cooling Time on the Properties of S960MC Steel in the HAZ of Welded Joints Evaluated by Thermal Physical Simulation. Metals 2020, 10, 229. [Google Scholar] [CrossRef]
- Górka, J.; Janicki, D.; Fidali, M.; Jamrozik, W. Thermographic Assessment of the HAZ Properties and Structure of Thermomechanically Treated Steel. Int. J. Ther. 2017, 38, 183. [Google Scholar] [CrossRef]
- Janicki, D. Fiber laser welding of nickel based superalloy Rene 77. In Proceedings of the Laser Technology 2012: Applications of Lasers, Szczecin, Poland, 24–28 September 2012; Volume 8703. [Google Scholar] [CrossRef]
- Lisiecki, A. Effect of heat input during disk laser bead-on-plate welding of thermomechanically rolled steel on penetration characteristics and porosity formation in the weld metal. Arch. Metall. Mater. 2016, 61, 93–102. [Google Scholar] [CrossRef]
- Grajcar, A.; Różański, M.; Stano, S.; Kowalski, A. Microstructure characterization of laser-welded Nb-microalloyed silicon-aluminum TRIP steel. J. Mater. Eng. Perform. 2014, 23, 3400–3406. [Google Scholar] [CrossRef]
- Suder, W.; Williams, S. Investigation of the effects of basic laser material interaction parameters in laser welding. J. Laser Appl. 2012, 24, 032009. [Google Scholar] [CrossRef]
- Grajcar, A.; Różański, M.; Kamińska, M.; Grzegorczyk, B. Study on Non-Metallic Inclusions in Laser-Welded TRIP-Aided Nb-Microalloyed Steel. Arch. Metall. Mater. 2014, 59, 1163–1169. [Google Scholar] [CrossRef]
- Krupitzer, M. Designing and Manufacturing Vehicles with Advanced Strength Steels. In Proceedings of the Galvatech’04: 6th International Conference on Zinc and Zinc Alloy Coated Steel Sheet, Chicago, IL, USA, 4–7 April 2004; pp. 31–50. [Google Scholar]
- Banat, D.; Ganguly, S.; Meco, S.; Harrison, P. Application of high power pulsed nanosecond fibre lasers in processing ultra-thin aluminium foils. Opt. Lasers Eng. 2020, 129, 106075. [Google Scholar] [CrossRef]
- Moravec, M.; Kik, T.; Stano, S.; Różański, M.; Grajcar, A. Numerical Simulation and Experimental Analysis of Thermal Cycles and Phase Transformation Behavior of Laser-Welded Advanced Multiphase Steel. Symmetry 2022, 14, 477. [Google Scholar] [CrossRef]
- Górka, J.; Stano, S. The structure and properties of filler metal-free laser beam welded joints in steel S700MC subjected to TMCP. In Proceedings of the Laser Technology 2016: Progress and Applications of Lasers, Jastarnia, Poland, 26–30 September 2016; Volume 101590, pp. 183–190. [Google Scholar] [CrossRef]
- Grajcar, A.; Morawiec, M.; Różański, M.; Stano, S. Twin-spot laser welding of advanced high-strength multiphase microstructure steel. Opt. Laser Technol. 2017, 92, 52–61. [Google Scholar] [CrossRef]
- Skowrońska, B.; Szulc, J.; Chmielewski, T.; Sałaciński, T.; Swiercz, R. Properties and microstructure of hybride Plasma+MAG welded joints of thermomechanically treated S700MC steel. In Proceedings of the 27th Anniversary International Conference on Metallurgy and Materials (METAL), Brno, Czech Republic, 25 May 2018. [Google Scholar]
- Tzeng, Y. Gap-free lap welding of zinc-coated steel using pulsed CO2 laser. Int. J. Adv. Manuf. Technol. 2006, 29, 287–295. [Google Scholar]
- Zhang, Y.; Li, S.; Chen, G.; Zhang, H.; Zhang, M. Characteristics of zinc behavior during laser welding of zinc ‘‘sandwich’’ sample. Opt. Laser Technol. 2012, 44, 2340–2346. [Google Scholar] [CrossRef]
- Chen, W.; Ackerson, P.; Molian, P. CO2 laser welding of galvanized steel sheets using vent holes. Mater. Des. 2009, 30, 245–251. [Google Scholar] [CrossRef]
- Hu, Y.; Wu, S.; Guo, Y.; Shen, Z.; Korsunsky, A.M.; Yu, Y.; Zhang, X.; Fu, Y.; Che, Z.; Xiao, T.; et al. Inhibiting weld cracking in high-strength aluminium alloys. Nat. Commun. 2022, 13, 5816. [Google Scholar] [CrossRef]
- Hu, Y.; Wu, S.; Song, Z.; Fu, Y. Fatigue Property and Fracture Behavior of 7020 Aluminum Alloys Welded by Laser-MIG Hybrid Welding. Chin. J. Lasers 2018, 45, 0302003. [Google Scholar] [CrossRef]












| Element Concentration, wt % | |||
|---|---|---|---|
| C | P | S | Mn |
| ≤0.08 | 0.03 | 0.03 | 0.40 |
| Yield Strength Re, MPa | Tensile Strength Rm, MPa | Elongation A80, % | Hardness, HV |
|---|---|---|---|
| Min. 460 | 490–590 | 37 | 155–185 |
| Joint Designation | Beam Power, W | Welding Speed V, m/min | Welding Line Energy, J/mm |
|---|---|---|---|
| Joint 1 | 1500 | 3 | 30 |
| Joint 2 | 1500 | 2 | 45 |
| Joint 3 | 1500 | 1 | 90 |
| Joint Designation | Tensile Strength Rm, Mpa | Elongation At, % | Sample Thickness a0, mm | Sample Width b0, mm | S0, mm2 | The Place of the Breakup |
|---|---|---|---|---|---|---|
| Joint 1_1 | 571 | 42 | 1.2 | 10 | 12 | BM |
| Joint 1_2 | 571 | 37 | 1.2 | 10 | 12 | BM |
| Joint 2_1 | 567 | 36 | 1.2 | 10 | 12 | BM |
| Joint 2_2 | 569 | 38 | 1.2 | 10 | 12 | BM |
| Joint 3_1 | 565 | 29 | 1.2 | 10 | 12 | BM |
| Joint 3_2 | 564 | 37 | 1.2 | 10 | 12 | BM |
| Joint Designation | Current Density, Icor, A/cm2 | Corrosion Potential, Ecor, V | Polarisation Resistance, Rpol, Ωcm2 |
|---|---|---|---|
| BM_1 | 5.88212 × 10−8 | −0.993562625 | 67,636.270 |
| BM_2 | 3.83675 × 10−8 | −0.956986276 | 51,785.238 |
| Joint 1_1 | 1.34020 × 10−6 | −0.986044568 | 2667.442 |
| Joint 1_2 | 1.16184 × 10−6 | −0.986414818 | 2390.899 |
| Joint 2_1 | 1.51086 × 10−6 | −0.978703074 | 1957.343 |
| Joint 2_2 | 1,19116 × 10−6 | −0.987951811 | 2634.453 |
| Joint 3_1 | 4.60250 × 10−9 | −1.029928000 | 1,459,048.000 |
| Joint 3_2 | 1.96567 × 10−9 | −1.020356000 | 2,877,017.000 |
| Joint 1 | Joint 2 | Joint 3 | |
|---|---|---|---|
| Dimensions, mm | 60 × 67 | 52 × 67 | 52 × 67 |
| Weight before test, g | 39.4752 | 34.2620 | 34.1426 |
| Weight after test, g | 39.4696 | 34.2458 | 34.1264 |
| Loss of weight, g | 0.0056 | 0.0162 | 0.0162 |
Disclaimer/Publisher’s Note: The statements, opinions and data contained in all publications are solely those of the individual author(s) and contributor(s) and not of MDPI and/or the editor(s). MDPI and/or the editor(s) disclaim responsibility for any injury to people or property resulting from any ideas, methods, instructions or products referred to in the content. |
© 2023 by the authors. Licensee MDPI, Basel, Switzerland. This article is an open access article distributed under the terms and conditions of the Creative Commons Attribution (CC BY) license (https://creativecommons.org/licenses/by/4.0/).
Share and Cite
Górka, J.; Suder, W.; Kciuk, M.; Stano, S. Assessment of the Laser Beam Welding of Galvanized Car Body Steel with an Additional Organic Protective Layer. Materials 2023, 16, 670. https://doi.org/10.3390/ma16020670
Górka J, Suder W, Kciuk M, Stano S. Assessment of the Laser Beam Welding of Galvanized Car Body Steel with an Additional Organic Protective Layer. Materials. 2023; 16(2):670. https://doi.org/10.3390/ma16020670
Chicago/Turabian StyleGórka, Jacek, Wojciech Suder, Monika Kciuk, and Sebastian Stano. 2023. "Assessment of the Laser Beam Welding of Galvanized Car Body Steel with an Additional Organic Protective Layer" Materials 16, no. 2: 670. https://doi.org/10.3390/ma16020670
APA StyleGórka, J., Suder, W., Kciuk, M., & Stano, S. (2023). Assessment of the Laser Beam Welding of Galvanized Car Body Steel with an Additional Organic Protective Layer. Materials, 16(2), 670. https://doi.org/10.3390/ma16020670

