Unveiling the Role of Donor Impurity Position on the Electronic Properties in Strained Type I and Type II Core/Shell Quantum Dots under Magnetic Field
Abstract
:1. Introduction
2. Background Theory
2.1. One Particle in Core/Shell Structures
2.2. Effects of Strain on Band Structures
2.3. Donor Impurity in Core/Shell Structure
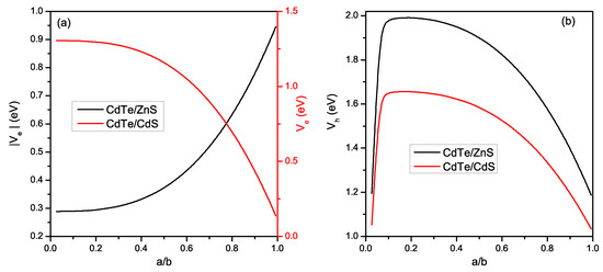
3. Results and Discussion
4. Conclusions
Author Contributions
Funding
Institutional Review Board Statement
Informed Consent Statement
Data Availability Statement
Conflicts of Interest
References
- Heiss, W.D. (Ed.) Quantum Dots: A Door Way to Nanoscale Physics, 1st ed.; Springer: Berlin/Heidelberg, Germany, 2005. [Google Scholar]
- Ünlü, H.; Horing, N.J.M.; Dabrowski, J. Low Dimensional and Nanostructured Materials and Devices, 1st ed.; Springer: Berlin/Heidelberg, Germany, 2015. [Google Scholar]
- Beard, M.C.; Luther, J.M.; Semonin, O.E.; Nozik, A.J. Third generation photovoltaics based on multiple exciton generation in quantum confined semiconductors. Acc. Chem. Res. 2013, 46, 1252–1260. [Google Scholar] [CrossRef]
- Boyd, R.W. Nonlinear Optics, 3rd ed.; Academic Press: Cambridge, MA, USA, 2007. [Google Scholar]
- Alias, M.S.; Tangi, M.; Holguin-Lerma, J.A.; Stegenburgs, E.; Alatawi, A.A.; Ashry, I.; Subedi, R.C.; Priante, D.; Khaled Shakfa, M.; Khee Ng, T.; et al. Review of nanophotonics approaches using nanostructures and nanofabrication for III-nitrides ultraviolet-photonic devices. J. Nanophotonics 2018, 12, 043508. [Google Scholar] [CrossRef]
- Kairdolf, B.A.; Smith, A.M.; Stokes, T.H.; Wang, M.D.; Young, A.N.; Nie, S. Semiconductor quantum dots for bioimaging and biodiagnostic applications. Ann. Rev. Anal. Chem. 2013, 6, 143. [Google Scholar] [CrossRef] [PubMed]
- Sharma, P.; Ganti, S.; Bhate, N. Effect of surfaces on the size-dependent elastic state of nano-inhomogeneities. Appl. Phys. Lett. 2013, 82, 535–537. [Google Scholar] [CrossRef]
- Rockenberger, J.; Tröger, L.; Rogach, A.L.; Tischer, M.; Grundmann, M.; Eychmüller, A.; Weller, H. The contribution of particle core and surface to strain, disorder and vibrations in thiolcapped CdTe nanocrystals. J. Chem. Phys. 1998, 108, 7807. [Google Scholar] [CrossRef]
- Zouitine, A.; Ibral, A.; Assaid, E.; Dujardin, F.; Feddi, E. Spatial separation effect on the energies of uncorrelated and correlated electron-hole pair in CdSe/ZnS and InAs/InP core/shell spherical quantum dots. Superlattices Microstruct. 2017, 109, 123–133. [Google Scholar] [CrossRef]
- Piryatinski, A.; Ivanov, S.A.; Tretiak, S.; Klimov, V.I. Effect of quantum and dielectric confinement on the exciton-exciton interaction energy in type II core/shell semiconductor nanocrystals. Nano Lett. 2007, 7, 108–115. [Google Scholar] [CrossRef]
- Safwan, S.A.; El Meshed, N.; Asmaa, A.S.; Hekmat, M.H. Stability of neutral and negative donor impurity in a semiconductor cylindrical quantum dot. Phys. B 2009, 404, 2294–2298. [Google Scholar] [CrossRef]
- Aghoutane, N.; Feddi, E.; El-Yadri, M.; Bosch Bailach, J.; Dujardin, F.; Duque, C.A. Magnetic field and dielectric environment effects on an exciton trapped by an ionized donor in a spherical quantum dot. Superlattices Microstruct. 2017, 111, 1082–1092. [Google Scholar] [CrossRef]
- Manjarres-García, R.; Escorcia-Salas, G.E.; Mikhailov, I.D.; Sierra-Ortega, J. Singly ionized double-donor complex in vertically coupled quantum dots. Nanoscale Res. Lett. 2012, 7, 489. [Google Scholar] [CrossRef]
- Kasapoglu, E.; Sari, H.; Sokmen, I. Effect of crossed electric and magnetic fields on donor impurity binding energy. Appl. Phys. A 2004, 78, 101–105. [Google Scholar] [CrossRef]
- Movilla, J.L.; Ballester, A.; Planelles, J. Coupled donors in quantum dots: Quantum size and dielectric mismatch effects. Phys. Rev. B 2009, 79, 195319. [Google Scholar] [CrossRef]
- Arif, S.M.; Bera, A.; Ghosh, M. Tuning diamagnetic susceptibility of impurity doped quantum dots by noise-binding energy interplay. Heliyon 2019, 5, e01147. [Google Scholar] [CrossRef]
- Holovatsky, V.; Chubrey, M.; Voitsekhivska, O. Effect of electric field on photoionisation cross-section of impurity in multilayered quantum dot. Superlattices Microstruct. 2020, 145, 106642. [Google Scholar] [CrossRef]
- Kria, M.; El-Yadri, M.; Aghoutane, N.; Pérez, L.M.; Laroze, D.; Feddi, E. Forecasting and analysis of nonlinear optical responses by tuning the thickness of a doped hollow cylindrical quantum dot. Chin. J. Phys. 2020, 66, 444–452. [Google Scholar] [CrossRef]
- Sari, H.; Al, E.B.; Kasapoglu, E.; Sakiroglu, S.; Sökmen, I.; Toro-Escobar, M.; Duque, C.A. Electronic and optical properties of a complex in two-dimensional quantum dots with Gaussian confinement potential. Eur. Phys. J. Plus 2022, 137, 464. [Google Scholar] [CrossRef]
- Stevanović, L.; Filipović, N.; Pavlović, V. Effect of magnetic field on absorption coefficients, refractive index changes and group index of spherical quantum dot with hydrogenic impurity. Opt. Mater. 2019, 91, 62–69. [Google Scholar] [CrossRef]
- Sahoo, S.; Lin, Y.C.; Ho, Y.K. Quantum-confined hydrogenic impurity in a spherical quantum dot under the influence of parallel electric and magnetic fields. Phys. E Low Dimens. Syst. Nanostruct. 2008, 40, 3107–3114. [Google Scholar] [CrossRef]
- Laroze, D.; Barseghyan, M.; Radu, A.; Kirakosyan, A.A. Laser driven impurity states in two-dimensional quantum dots and quantum rings. Phys. B 2016, 501, 1–4. [Google Scholar] [CrossRef]
- Kilica, D.G.; Sakiroglu, S.; Sokmen, I. Impurity-related optical properties of a laser-driven quantum dot. Phys. E 2018, 102, 50–57. [Google Scholar] [CrossRef]
- Kirak, M.; Altinok, Y.; Yilmaz, S. The effects of the hydrostatic pressure and temperature on binding energy and optical properties of a donor impurity in a spherical quantum dot under external electric field. J. Lumin. 2013, 136, 415–421. [Google Scholar] [CrossRef]
- Jaouane, M.; Sali, A.; Fakkahi, A.; Arraoui, R.; Ed-Dahmouny, A.; Ungan, F. Photoionization cross section of donor single dopant in multilayer quantum dots under pressure and temperature effects. Phys. E 2022, 144, 115450. [Google Scholar] [CrossRef]
- Niculescu, E.C.; Stan, C.; Cristea, M.; Trusca, C. Magnetic-field dependence of the impurity states in a dome-shaped quantum dot. Chem. Phys. 2017, 493, 32–41. [Google Scholar] [CrossRef]
- Solaimani, M. Binding energy and diamagnetic susceptibility of donor impurities in quantum dots with different geometries and potentials. Mater. Sci. Eng. B 2020, 262, 114694. [Google Scholar] [CrossRef]
- Saha, S.; Ganguly, J.; Bera, A.; Ghosh, M. Simultaneous influence of hydrostatic pressure and temperature on diamagnetic susceptibility of impurity doped quantum dots under the aegis of noise. Chem. Phys. 2016, 480, 17–22. [Google Scholar] [CrossRef]
- Mmadi, A.; Rahmani, K.; Zorkani, I.; Jorio, A. Diamagnetic susceptibility of a magneto-donor in Inhomogeneous Quantum Dots. Superlattices Microstruct. 2013, 57, 27–36. [Google Scholar] [CrossRef]
- Aldeek, F.; Balan, L.; Medjahdi, G.; Roques-Carmes, T.; Malval, J.-P.; Mustin, C.; Ghanbaja, J.; Schneider, R. Enhanced Optical Properties of Core/Shell/Shell CdTe/CdS/ZnO Quantum Dots Prepared in Aqueous Solution. J. Phys. Chem. C 2009, 113, 19458–19467. [Google Scholar] [CrossRef]
- Tsay, J.M.; Pflughoefft, M.; Bentolila, L.A.; Weiss, S. Hybrid Approach to the Synthesis of Highly Luminescent CdTe/ZnS and CdHgTe/ZnS Nanocrystals. J. Am. Chem. Soc. 2004, 126, 1926–1927. [Google Scholar] [CrossRef]
- Irani, E.; Yazdani, E.; Bayat, A. Enhancement and tuning of optical properties of CdTe/CdS core/shell quantum dots by tuning shell thickness. Optik 2022, 249, 168198. [Google Scholar] [CrossRef]
- Dzhagan, V.; Mazur, N.; Kapush, O.; Selyshchev, O.; Karnaukhov, A.; Yeshchenko, O.A.; Danylenko, M.I.; Yukhymchuk, V.; Zahn, D.R.T. Core and Shell Contributions to the Phonon Spectra of CdTe/CdS Quantum Dots. Nanomaterials 2023, 13, 921. [Google Scholar] [CrossRef]
- Zare, H.; Marandi, M.; Fardindoost, S.; Sharma, V.K.; Yeltik, A.; Akhavan, O.; Demir, H.V.; Taghavinia, N. High-efficiency CdTe/CdS core/shell nanocrystals in water enabled by photo-induced colloidal hetero-epitaxy of CdS shelling at room temperature. Nano Res. 2015, 8, 2317–2328. [Google Scholar] [CrossRef]
- Wang, C.L.; Zhang, H.; Zhang, J.H.; Li, M.; Sun, H.Z.; Yang, B. Application of Ultrasonic Irradiation in Aqueous Synthesis of Highly Fluorescent CdTe/CdS Core−Shell Nanocrystals. J. Phys. Chem. C 2007, 111, 2465–2469. [Google Scholar] [CrossRef]
- Jiang, Y.; Shao, H.; Xu, H.; Yang, J.; Wang, Y.; Xiong, H.; Wang, P.; Wang, X. Ultrafast synthesis of near-infrared-emitting aqueous CdTe/CdS quantum dots with high fluorescence. Mater. Today Chem. 2021, 20, 100447. [Google Scholar] [CrossRef]
- Anitha, B.; Nithiananthi, P. Indirect to direct exciton transition by laser irradiance in a type II core/shell quantum dot. Mater. Sci. Semicond. Process. 2019, 103, 104617. [Google Scholar] [CrossRef]
- Dieu Thuy, U.T.; Chae, W.S.; Yang, W.G.; Liem, N.Q. Enhanced fluorescence properties of type-I and type-II CdTe/CdS quantum dots using porous silver membrane. Opt. Mater. 2017, 66, 611–615. [Google Scholar] [CrossRef]
- Mantashian, G.A.; Zaqaryan, N.A.; Mantashyan, P.A.; Sarkisyan, H.A.; Baskoutas, S.; Hayrapetyan, D.B. Linear and Nonlinear Optical Absorption of CdSe/CdS Core/Shell Quantum Dots in the Presence of Donor Impurity. Atoms 2021, 9, 75. [Google Scholar] [CrossRef]
- Teranishi, T.; Sakamoto, M. Charge Separation in Type-II Semiconductor Heterodimers. J. Phys. Chem. Lett. 2013, 4, 2867–2873. [Google Scholar] [CrossRef]
- Tyrrell, E.J.; Smith, J.M. Effective mass modeling of excitons in type-II quantum dot heterostructures. Phys. Rev. B 2011, 84, 165328. [Google Scholar] [CrossRef]
- Smith, C.T.; Tyrrell, E.J.; Leontiadou, M.A.; Miloszewski, J.; Walsh, T.; Cadirci, M.; Page, R.; O’Brien, P.; Binks, D.; Tomić, S. Energy structure of CdSe/CdTe type II colloidal quantum dots Do phonon bottlenecks remain for thick shells? Sol. Energy Mater. Sol. Cells 2016, 158, 160–167. [Google Scholar] [CrossRef]
- Wang, X.; Kong, L.; Gan, Y.; Liang, T.; Zhou, S.; Sun, J.; Wan, H.; Wang, P. Microfluidic-based fluorescent electronic eye with CdTe/CdS core-shell quantum dots for trace detection of cadmium ions. Anal. Chim. Acta 2020, 1131, 126–135. [Google Scholar] [CrossRef]
- McDonald, P.G.; Tyrrell, E.J.; Shumway, J.; Smith, J.M.; Galbraith, I. Tuning biexciton binding and antibinding in core/shell quantum dots. Phys. Rev. B 2012, 86, 125310. [Google Scholar] [CrossRef]
- Naifar, A.; Zeiri, N.; Abdi-Ben Nasrallah, S.; Said, M. Optical properties of CdSe/ZnTe type II core shell nanostructures. Optik 2017, 146, 90–97. [Google Scholar] [CrossRef]
- Anitha, B.; Nithiananthi, P. Oscillator strength and carrier dynamics in type I and inverted type I spherical core/ shell nanostructures under external laser field. Superlattices Microstruct. 2019, 135, 106288. [Google Scholar] [CrossRef]
- Balakrishnan, A.; Perumal, N. Simultaneous effect of laser and magnetic field on bound magnetic polaron in type I and reverse type I core/shell semimagnetic nanostructures. Phys. E 2021, 128, 114613. [Google Scholar] [CrossRef]
- Ünlü, H. A thermoelastic model for strain effects on bandgaps and band offsets in heterostructure core/shell quantum dots. Eur. Phys. J. Appl. Phys. 2019, 86, 30401. [Google Scholar] [CrossRef]
- Sahu, A.; Kumar, D. Effect of Confinement Strength on the Conversion Efficiency of Strained Core-Shell Quantum Dot Solar Cell. Opt. Spectrosc. 2020, 128, 1649–1657. [Google Scholar] [CrossRef]
- Shi, L.; Yan, Z.-W. Conversion efficiency of strained core/shell quantum dot solar cell: Converting from type-I to type-II structures. J. Appl. Phys. 2019, 125, 174302. [Google Scholar] [CrossRef]
- Maiti, S.; Debnath, T.; Maity, P.; Ghosh, H.N. Lattice-Strain-Induced Slow Electron Cooling Due to Quasi-Type-II Behavior in Type-I CdTe/ZnS Nanocrystals. J. Phys. Chem. C 2015, 119, 8410–8416. [Google Scholar] [CrossRef]
- Talbi, A.; El Haouari, M.; Nouneh, K.; Pérez, L.M.; Tiutiunnyk, A.; Laroze, D.; Courel, M.; Mora-Ramos, M.E.; Feddi, E. LO-Phonons and dielectric polarization effects on the electronic properties of doped GaN/InN spherical core/shell quantum dots in a nonparabolic band model. Appl. Phys. A 2021, 127, 30. [Google Scholar] [CrossRef]
- El-Yadri, M.; Aghoutane, N.; El Aouami, A.; Feddi, E.; Dujardin, F.; Duque, C.A. Temperature and hydrostatic pressure effects on single dopant states in hollow cylindrical core-shell quantum dot. Appl. Surf. Sci. 2018, 441, 204. [Google Scholar] [CrossRef]
- Jasper, A.M.; Reuben, D. Diamagnetic susceptibility of low-lying states of a donor impurity in a core shell GaAs/Al1-xGaxAs quantum dot. Mater. Today Proc. 2020, 33, 4020–4022. [Google Scholar]
- Hayrapetyan, D.B.; Amirkhanyan, S.M.; Kazaryan, E.M.; Sarksiyan, H.A. Effect of hydrostatic pressure on diamagnetic susceptibility of hydrogenic donor impurity in core/shell/shell spherical quantum dot with Kratzer confining potential. Phys. E 2016, 84, 367–371. [Google Scholar] [CrossRef]
- Aghoutane, N.; Pérez, L.M.; Laroze, D.; El-Yadri, M.; Feddi, E. Importance of core and shell sizes in the localization of the electron and hole in the formation of type I or type II excitons in spherical CdSe/ZnTe and CdSe/CdTe quantum dots. Results Phys. 2023, 44, 106158. [Google Scholar] [CrossRef]
- Yang, X.F.; Chen, X.S.; Fu, L.Y. Effects of Shape and Strain Distribution of Quantum Dots on Optical Transition in the Quantum Dot Infrared Photodetectors. Nanoscale Res. Lett. 2008, 3, 534–539. [Google Scholar] [CrossRef] [PubMed]
- Wagner, J.M.; Bechstedt, F. Properties of strained wurtzite GaN and AlN: Ab initio studies. Phys. Rev. B 2002, 66, 115202. [Google Scholar] [CrossRef]
- El Khamkhami, J.; Feddi, E.; Assaida, E.; Dujardind, F.; Stébé, B.; El Haouari, M. Magneto-bound polaron in CdSe spherical quantum dots: Strong coupling approach. Phys. E 2005, 25, 366–373. [Google Scholar] [CrossRef]
- COMSOLMultiphysics® v. 5.6; COMSOL AB: Stockholm, Sweden, 2020; Available online: www.comsol.com (accessed on 18 September 2023).
- Feddi, E.; Aghoutane, N.; El-Yadri, M.; Dujardin, F.; El Aouami, A.; Duque, C.A. Optical and magneto optical responses assigned to probable processes of formation of exciton bound to an ionized donor in quantum dot. Curr. Appl. Phys. 2018, 18, 452–460. [Google Scholar] [CrossRef]
- Rezaei, G.; Doostimotlagh, N.A.; Vaseghi, B. Simultaneous Effects of Hydrostatic Pressure and Conduction Band Non-parabolicity on Binding Energies and Diamagnetic Susceptibility of a Hydrogenic Impurity in Spherical Quantum Dots. Commun. Theor. Phys. 2011, 56, 377–381. [Google Scholar] [CrossRef]
- Adachi, S. Handbook on Physical Properties of Semiconductors; Springer: Berlin/Heidelberg, Germany, 2004. [Google Scholar]
- Van Stryland, E.W.; Woodall, M.A.; Vanherzeele, H.; Soileau, M.J. Energy Band-Gap Dependence of 2-photon Absorption. Opt. Lett. 1985, 10, 490–492. [Google Scholar] [CrossRef]
- Wu, J.C.; Zheng, J.W.; Zacherl, C.L.; Wu, P.; Liu, Z.K.; Xu, R. Hybrid Functionals Study of Band Bowing, Band Edges and Electronic Structures of Cd1-xZnxS Solid Solution. J. Chem. Phys. C 2011, 115, 19741–19748. [Google Scholar] [CrossRef]







| CdTe | CdS | ZnS | |
|---|---|---|---|
| 0.09 | 0.14 | 0.22 | |
| 0.63 | 0.68 | 1.42 | |
| 10.2 | 9.8 | 8.3 | |
| L (nm) | 0.6481 | 0.5825 | 0.5410 |
| (dyn/cm) | 5.35 | 7.7 | 10.2 |
| (dyn/cm) | 3.69 | 5.39 | 6.46 |
| (eV) | −3.6 | −3.69 | −2.64 |
| (eV) | −5.1 | −6.12 | −6.27 |
| (eV) | −3.96 | -27.1 | −4.49 |
| (eV) | 0.55 | 0.92 | 1.83 |
| b (eV) | −1.1 | −1.18 | −1.39 |
| 0.4 |
| CdTe/ZnS | CdTe/CdS | |||
|---|---|---|---|---|
| (nm) | (nm) | (nm) | (nm) | |
| b = 5 nm | 1.464 | 0.8353 | 3.9337 | 1.1962 |
| b = 10 nm | 1.3737 | 0.8007 | 8.7621 | 1.1255 |
Disclaimer/Publisher’s Note: The statements, opinions and data contained in all publications are solely those of the individual author(s) and contributor(s) and not of MDPI and/or the editor(s). MDPI and/or the editor(s) disclaim responsibility for any injury to people or property resulting from any ideas, methods, instructions or products referred to in the content. |
© 2023 by the authors. Licensee MDPI, Basel, Switzerland. This article is an open access article distributed under the terms and conditions of the Creative Commons Attribution (CC BY) license (https://creativecommons.org/licenses/by/4.0/).
Share and Cite
Pérez, L.M.; Aghoutane, N.; Laroze, D.; Díaz, P.; El-Yadri, M.; Feddi, E.M. Unveiling the Role of Donor Impurity Position on the Electronic Properties in Strained Type I and Type II Core/Shell Quantum Dots under Magnetic Field. Materials 2023, 16, 6535. https://doi.org/10.3390/ma16196535
Pérez LM, Aghoutane N, Laroze D, Díaz P, El-Yadri M, Feddi EM. Unveiling the Role of Donor Impurity Position on the Electronic Properties in Strained Type I and Type II Core/Shell Quantum Dots under Magnetic Field. Materials. 2023; 16(19):6535. https://doi.org/10.3390/ma16196535
Chicago/Turabian StylePérez, Laura M., Noreddine Aghoutane, David Laroze, Pablo Díaz, Mohamed El-Yadri, and El Mustapha Feddi. 2023. "Unveiling the Role of Donor Impurity Position on the Electronic Properties in Strained Type I and Type II Core/Shell Quantum Dots under Magnetic Field" Materials 16, no. 19: 6535. https://doi.org/10.3390/ma16196535
APA StylePérez, L. M., Aghoutane, N., Laroze, D., Díaz, P., El-Yadri, M., & Feddi, E. M. (2023). Unveiling the Role of Donor Impurity Position on the Electronic Properties in Strained Type I and Type II Core/Shell Quantum Dots under Magnetic Field. Materials, 16(19), 6535. https://doi.org/10.3390/ma16196535

