Abstract
To study the fatigue failure and microstructure evolution behavior of SS304, low-cycle fatigue tests are conducted at room temperature (RT), 300 °C, and 650 °C. The results indicate that, because of the influence of the dislocation walls, carbon-containing precipitates, and deformation twins, the cyclic hardening behavior is presented at RT. However, different from the cyclic hardening behavior at RT, the cyclic softening behavior of SS304 can be observed due to the dynamic recovery and recrystallization containing dislocation rearrangement and annihilation at 300 °C and 650 °C. In addition, two fatigue crack initiation modes are observed. At RT, the single fatigue crack initiation mode is observed. At high temperatures, multiple crack initiation modes are presented, resulting from the degradation of material properties. Furthermore, a new fatigue life prediction model considering the temperature is conducted as a reference for industrial applications.
Keywords:
SS304; tensile behavior; low-cycle fatigue; temperature; damage mechanism; life prediction 1. Introduction
One of the widely used types of chromium-nickel stainless steel, 304 austenitic stainless steel (SS304 abbreviated), has outstanding corrosion resistance, heat resistance, low-temperature strength, and mechanical properties, as well as promising machinability and weldability [1,2,3,4], and it is the primary material consumed for nuclear power used to manufacture in-stack components such as coaming bolts, voltage regulator vessels, pre-heating tubes [5,6], etc.
In recent years, research on SS304 and its derivatives under different loading methods and experimental temperatures has been carried out extensively from academia to the manufacturing industry. Meanwhile, the results indicate that the cyclic response behavior of SS304 is related to the experimental conditions and material processing technology [7,8,9,10,11] during LCF. Generally, the hardening material (quenched, cold-worked) softens cyclically, and the softening material (annealed) hardens cyclically [12]. Meanwhile, the previous studies indicate that the cyclic hardening or softening behavior depended not only on the material but also on the magnitude of the applied loading (stress/strain amplitude) and the loading path (pre-stressing/pre-cycling) [13,14,15]. Moreover, Xu, Nie, Fan, Tao, and Ding [16] observed in the LCF test on BLY160 that work-hardening is an essential hysteresis property concerning the energy dissipation of the steel. However, as plastic strain accumulates, a “flatting effect” occurs, i.e., cyclic softening in both stiffness and stress. Zhou, Sun, Kanouté, and Retraint [17] compare the cyclic hardening/softening behavior of two types of 316 L steel in uniaxial LCF at RT and establish a functional relationship among the kinematic hardening coefficient , the accumulated plastic strain, and the memory surface based on different strain amplitudes. Wang, Chang, Shi, Yuan, Yang, and Liao [18] investigate the mechanical properties of S31608 under cyclic loading with amplitudes ranging from ±0.4% to ±1% using eight loading schemes and calibrate the cyclic hardening model through simulation based on test data. Beyond that, many impact factors also result in the fatigue failure of SS304, such as the different production processes, a wide range of working temperatures, complex operating environments, and so on. Since high temperature can cause degradation of the microstructure and impair its mechanical properties, Xie, Jiang, Chen, Zhang, and Tu [19] indicate that the cyclic softening behavior at RT and high temperatures is driven by dynamic recovery and fatigue damage, respectively. Wei, Feng, Han, Zhang, and Zhang [20] demonstrate that the dislocation evolution of HS80H steel at 350 °C is influenced by dynamic strain aging (DSA), where dislocation slips are blocked to form dislocation cells and concert slatted substructures into smaller cellular substructures. In addition, since fatigue damage (FD) is a localized process of permanent structural change due to the initiation of cracks and continued expansion triggered by cyclic loading, fatigue life is closely linked to macro-mechanical properties. Therefore, energy-based fatigue models [21,22,23,24,25,26] for LCF life prediction are critical for structural design and reliability assessment of components. Fatigue damage localization amplifies small differences in microstructure, making the experimental fatigue life more dispersed, which requires a more stringent life prediction model. In summary, it is necessary to research the fatigue characteristics, microstructural evolution behavior, and life prediction of SS304 from RT, 300 °C to 650 °C.
As an important engineering material, 304 austenitic stainless steel is widely used in coaming bolts, voltage regulator vessels, and pre-heating tubes [5,6]. During the operation, since the mechanical components are designed for normal operating loads and superimposed cyclic loads, the cyclic loading in the plastic range results in cyclic plastic deformation of SS304. It can be described as symmetrical strain cycles caused by the temperature fluctuations in the start-up and shut-down of the mechanical components, leading to premature low-cycle fatigue failure of the workpiece [27]. Considering the loading conditions, it is critical to evaluate the fatigue behavior of SS304. Thus, in this study, to understand the cyclic response behavior, fatigue failure behavior, and microstructural evolution of SS304, systematic analyses, including uniaxial tensile tests and low-cycle fatigue tests at RT, 300 °C, and 650 °C, are conducted. To begin with, the hardening/softening behavior of SS304 was investigated by uniaxial tensile tests with a strain rate of 2.5 × 10−3 s−1 and LCF tests with various strain amplitudes, such as 0.5%, 0.6%, 0.8%, and 1.0% at different temperatures and loading patterns. Then, the experimental data were analyzed to develop a modified damage energy model based on the Manson–Coffin relationship. Finally, the fracture morphology and micro-mechanics were represented through scanning electron microscopy (SEM) and transmission electron microscopy (TEM), revealing the impact of temperature on the fatigue micro-zone mechanism.
2. Material and Experimental Procedure
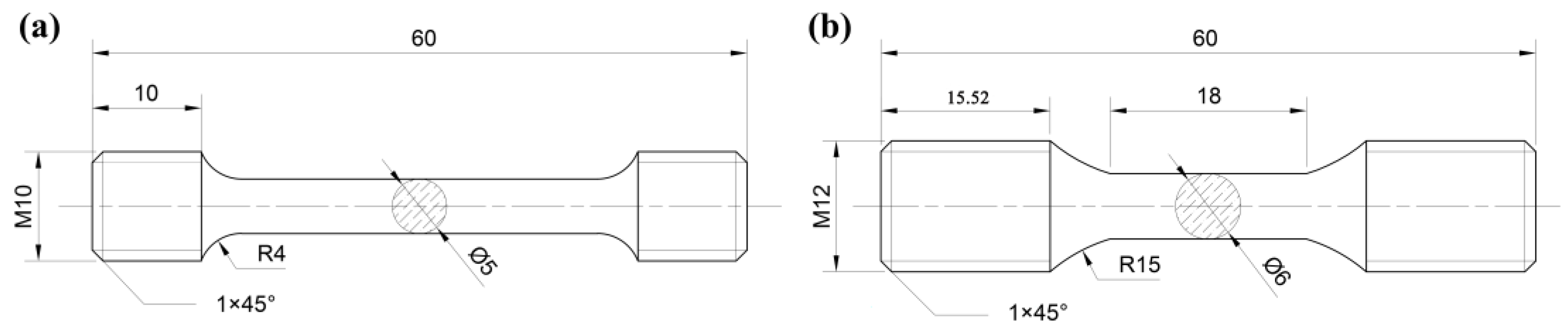
In the current work, the chemical compositions of SS304 are listed in Table 1. Tensile and LCF tests were carried out according to the standard ASTM E8M-04 [28] and ASTM E606-2012 standard [29] with cylindrical specimens designed for diameters of 5 mm and 6 mm, respectively. The detailed geometry is shown in Figure 1. To minimize the influence of processing, all specimens were mechanically polished. The surface roughness of polished specimens was about 0.4 μm, and the error was within 0.02 mm in diameter.
Table 1.
Chemical composition of SS304 (wt.%).
Figure 1.
The geometry of the (a) tensile specimen and (b) low-cycle fatigue specimen (Unit: mm).
The tensile and LCF were performed on a high-temperature electronic universal testing machine (Shimadzu Corporation, Kyoto City, Japan) and a 50 kN SHIMADZU fatigue machine (Shimadzu Corporation, Kyoto City, Japan) at RT, 300 °C, and 650 °C, respectively. A clamped axial extensometer was provided to control and monitor the current strain. The electric resistance furnace was operated to simulate a high-temperature environment, where three K-type thermocouples were installed to check temperature fluctuations to ensure uniform heating everywhere. To guarantee a steady state at the required temperature before tests, the specimen was held for 30 min after reaching the target temperature. The strain rate of 2.5 × 10−3 was chosen at uniaxial tensile at three temperature levels. The triangular cyclic waves were controlled at the strain ratio R = −1 to test at strain amplitudes (/2) of 0.5%, 0.6%, 0.8%, and 1.0%. Considering that the strain rate at each strain amplitude of low-cycle fatigue tests is equal to that of unidirectional tensile tests, the test frequency can be calculated using the following two equations:
where is the operating speed of the testing machine beam, is the variation in the gauge section of the specimen, is the extensometer gauge length, and is the strain rate. According to the calculation, when the strain amplitudes are 0.5%, 0.6%, 0.8%, and 1.0%, the LCF test frequencies are 0.125, 0.10417, 0.07813, and 0.0625, respectively. For each strain amplitude, at least three samples were performed. And the stress–strain hysteresis curve consists of 400 data points per cycle.
After the experiments, SEM (Nippon Electronics, Showa City, Tokyo, Japan) was used to detect the microstructure of the fatigue fracture surface. In addition, to obtain the grain information of the as-received material, an Electron Backscatter Diffraction (EBSD) test is conducted on the planned surface by FEI Quanta 450F SEM equipped with Oxford instruments HKL system (Thermo Fisher Scientific, Walther, MA, USA). Before the EBSD test, the test sample is first mechanically polished by SIC paper, followed by electrochemical etching. After that, the EBSD test is conducted with a step size of 1 μm at 15 kV.
In addition, to study the evolution behavior of dislocation structures before and after the fatigue test, the TEM test (FEI Talos F200X, Thermo Fisher Scientific, Walther, MA, USA) is used to observe the microstructure. Before the TEM test, a longitudinal foil is prepared near the fracture and then mechanically polished to a thickness of 100 μm. After being polished, the test samples are electrolytically thinned to a thickness of 20 μm. After that, the TEM test is conducted at 200 kV, and the Energy Dispersive Spectroscopy (EDS) system is used to measure the chemical compositions of the oxide inclusions. Moreover, the Bright-field/dark-field imaging modes are used to capture representative dislocation structures.
3. Results and Discussion
3.1. Initial Microstructure
In this study, to understand the crystallographic information of as-received material, the EBSD test is conducted. As presented in Figure 2, the inverse pole figure (IPF) of SS304 is shown, indicating that austenitic grains account for the majority. Meanwhile, it can be observed that there is little annealing twin of the as-received material in Figure 2a. Furthermore, the grain information including the grain size and misorientation angle distribution is also presented in Figure 2b,c. It can be observed that SS304 is overwhelmingly built by fine grains, with an average grain size of about 28.58 μm. Meanwhile, the histogram of the misorientation angle is concentrated on the right side of the x-coordinate axis, indicating that the high-angle grain boundaries are presented in the as-received material. Besides the EBSD information, the TEM microstructure characterization is also observed, as presented in Figure 3. As presented in Figure 3, dislocation lines are distributed haphazardly in the basic material, and stacking faults exist in the grains, like in previous studies [30,31]. Moreover, it can be observed that there is a tendency for dislocations to be emitted from the grain boundaries to the internal part, passing around the precipitated phrase, and having a tendency to move further. Additionally, the dislocation density is low within the as-received material.
Figure 2.
EBSD characterization of SS304: (a) inverse pole figures; (b) grain size distribution; (c) misorientation angle distribution.
Figure 3.
TEM characterization of SS304: (a) dislocations and stacking faults; (b) dislocations and precipitated phase, the yellow box indicates the precipitated phase.
3.2. Tensile Behavior under Various Temperatures
The engineering and true stress–strain curves of SS304 at RT, 300 °C, and 650 °C are illustrated in Figure 4a. With the increase in temperature, the yield strength, tensile strength, and elongation decrease significantly. Tensile curves can be divided into three periods, i.e., an elastic region (linear elastic in Figure 4a, region Ⅰ), a micro-plastic (region Ⅱ), and a macro-plastic region (region Ⅲ). Differences in stress and strain are initially observed in the micro-plastic region, and the gaps in the macro-plastic region are rapidly widened, reflecting the decline in material properties at high temperatures. It is well known that austenitic stainless steel is affected by Portevin–Le Chatelier (PLC) instability at elevated temperatures [32], which is essentially the effect of dynamic strain aging (DSA). The macroscopic manifestation of this phenomenon is sawtooth flow stress [33], relating to accumulated plastic strain, as shown in Figure 4a region Ⅲ at 650 °C. Understood on a microstructure scale, the reason for PLC is the dynamic process of solute atoms blocking dislocation on barriers [34].
Figure 4.
The tensile-related curves at RT, 300 °C, and 650 °C under 5 × 10−3 strain rate: (a) engineering and true stress–strain curves; (b) the strain-hardening rate curves.
Moreover, as the strain grows, the flow stress increases, showing that SS304 has clear strain-hardening behavior at all temperatures. In Figure 4b, the Kocks–Mecking plot of the strain-hardening rate undergoes sharp fluctuations in the initial plastic transition zone before developing a stable strain-hardening rate during the work-hardening period. To assess the strain-hardening behavior, two evaluating approaches, the strain-hardening index and strain-hardening capacity, were chosen to describe its performance in tensile deformation. The former uses the Hollomon formula to calculate the parameters, and for the latter, the hardening capacity () can be considered as the ratio of tensile strength to yield strength. Two equations are as follows [35,36]:
where and are strength coefficients and the strain-hardening exponent, respectively. Detailed tensile properties are displayed in Table 2 and each of the shown mechanical properties of SS304 drops with increasing temperature. The reason for this is that SS304, as a metal-stable austenitic alloy, undergoes martensitic transformation through atomic surface displacement under low temperatures, producing a positively correlated combination of high strength and ductility [37]. However, when the deformation temperature exceeds Md (the maximum temperature martensitic phase transformation occurs) at 322 K [38], the strain-induced martensitic phase transformation process is inhibited [39,40]. Below the Md temperature, plastic deformation causes parallel shear bands to appear in sub-stable austenitic, and with increasing strain, cross-shear bands develop where martensite nucleation occurs [41]. Compared to RT, the tensile curves at 300 °C and 650 °C have weaker strength and ductility since the bcc-martensite is unfortunately lost as an effective barrier to dislocation movement in the FCC-austenite phase [42]. From 300 °C to 650 °C, the strength degrades but the ductility is similar depending on the micro-mechanism, as discussed in Section 3.4.
Table 2.
Tensile properties of SS304 at RT, 300 °C, and 650 °C.
3.3. Cyclic Response and Hysteresis Loops
The cyclic response characteristic curve provides a visual representation of the change of the maximum cyclic stress amplitude with the number of cycles and the cyclic strengthening in LCF. Cyclic hardening and softening can be determined by examining the behavior in the stress amplitude with loading cycles in strain-controlled loading conditions. Some researchers have introduced the concept of the cyclic hardening or softening factor. For strain-controlled experiments, the hardening factor () [7,43] can be described as follows:
where is the stress amplitude at the saturated cycle and is the stress amplitude at the first cycle in the stable cycles. Clearly, demonstrates the cyclic hardening properties of the material, and is used to determine the cyclic softening.
The cyclic stress response at RT, 300 °C, and 650 °C with different applied strain amplitudes reveals the cyclic mechanism of SS304 in Figure 5a–c, exhibiting two opposite conditions at RT and high temperatures. The stress amplitude of austenitic stainless steel can be divided into three classical stages, i.e., stage Ⅰ: a rapid decline zone due to the generation of plastic strain providing energy for crack initiation below 10% of total fatigue life; stage Ⅱ: the main stage of the cyclic stress response where the steady increase or decrease zone is on account of microcrack propagation; stage Ⅲ: a severe cyclic softening and failure zone after 90% of total fatigue life. Cyclic hardening behavior occurs in the RT stress amplitude plot, with a significant increase in stress amplitude and dynamic load carrying capacity with increasing cycles in Stage II. At 300 °C and 650 °C, however, there is continuous softening behavior throughout the fatigue process. The cyclic softening effect increases with the increasing strain amplitude at 300 °C and is particularly dramatic at 650 °C at arbitrary strain amplitudes. As the level of applied strain amplitude increases, the stress amplitude increases at all temperatures. On the contrary, the stress amplitude decreases with increasing temperature. At 300 °C, the large strain amplitude has a definite contribution to the cyclic softening of SS304. Temperature plays a dominant role in cyclic softening, especially at higher temperatures. In summary, the stress amplitude depends on the applied strain amplitude and temperature.
Figure 5.
The stress amplitude and softening factor of SS304 at different temperatures: (a,d) at RT, (b,e) at 300 °C, (c,f) at 650 °C.
The drop in material properties attributable to temperature is critical, and the softening factor (SF) adopted to describe the cyclic hardening/softening behavior is as follows [44]:
where is the strain range (), and is the half-life stress range. As shown in Figure 5d–f, SF curves at all temperatures can be divided into three stages. Region Ⅰ and Ⅲ are cliff drop zones while Region Ⅱ collapses into curves approximating y = 0. The results suggest that SF is little affected by the strain amplitude but is really temperature sensitive.
The plastic strain amplitude, which is correlated with the LCF life, is related to the applied strain amplitude at each temperature in Figure 6a–c. The plastic strain amplitude depends on the applied strain amplitude in LCF, with a higher total strain amplitude being followed by a higher plastic strain amplitude. In contrast, the effect of temperature on the plastic strain curves is mainly in the second half of the curves, where the proportion of stable plastic strain cycles to the total strain cycles decreases as the temperature increases. The softening behavior of SS304 caused by increasing temperature is responsible for the premature failure of the material. To further evaluate the differences in the plastic strain at three temperature modes, an empirical equation of the cyclic strain ratio (SR) is defined as follows [12,45]:
where is the total stress range, is the total strain range, and E is the elastic module of SS304. Regardless of the situation in Figure 6d–f, the SR increases rapidly until the fatigue life reaches 10% in Region Ⅰ, and then failure occurs after the fatigue life approaches 90%. It can be observed that SR curves show a similar trend to the stress amplitude curves. The SR of the higher strain amplitude is greater than the lower strain amplitude at different temperatures. As the temperature increases, the differences between the SRs of different strain amplitudes become larger, indicating that the effect of temperature on the micro-plastic properties of the material is more powerful than that of the elastic properties.
Figure 6.
The plastic strain amplitude and strain ratio of SS304 at different temperatures: (a,d) at RT, (b,e) at 300 °C, (c,f) at 650 °C; Region I is the rapid descent zone, Region II is the Steady-state region, and Region III is the Rapid rise zone.
The energy consumed during the fatigue life of SS304 is the plastic strain energy, expressed as the sum of the areas covered by the cyclic stress–strain hysteresis curves. The hysteresis loops at the 50% fatigue life at three temperatures are shown in Figure 7a–c. SS304 has well-rounded hysteresis curves with positive energy dissipation. As the temperature increases, the hysteresis curve changes from an elongated shuttle shape to a flat and fat one, owing to cyclic softening. Furthermore, to reflect the stress amplitude response under different strain amplitudes, the Ramberg–Osgood model is generally adopted to describe it, with the following equation [46,47]:
where and are the cyclic strain-hardening coefficient and exponent, respectively. The fitting parameters of the cyclic stress–strain curves at different temperatures are presented by the orange lines in Table 3. The fitting curves demonstrate that the softening effect of SS304 grows with increasing temperature. There is a tendency to transform from cyclic hardening to cyclic softening at 300 °C, as the parameters show a non-uniform change.
Figure 7.
The 50% fatigue life hysteresis loops curves and strain fatigue life fitting curves of SS304 at different temperatures: (a,d) at RT, (b,e) at 300 °C, (c,f) at 650 °C.
Table 3.
Cyclic stress–strain properties of SS304 at RT, 300 °C, and 650 °C.
3.4. Microstructure Evolution at Various Temperatures
Fatigue structure morphologies of SS304 are displayed in Figure 8, compared to the cyclic loading processes with the 0.6% controlled strain amplitude, consisting of the fatigue crack initiation, fatigue crack propagation, and momentary fracture zone. The area around the fatigue crack source zone is relatively flat, and the transition to the propagation zone river shapes and micro-porous patterns can be observed, with the transient zone showing the concentration of dimples representing plastic deformation. The fatigue crack initiation is always sited in or near the free surface, where two cases exist: a single initiation location at RT and multiple initiation locations at 300 °C and 650 °C in Figure 8b,e,h, respectively. This is the result of the degradation of material properties due to cyclic softening at high temperatures, where multiple fatigue crack initiations are not always in the same plane. In the mid-fatigue stage, the extension cracks intersect and join different planes through shear tearing, forming numerous secondary cracks and rough step shapes. In the earlier period of LCF, the rate of crack propagation is low, the opening and closing of the microcracks driven by tensile-compressive loading causes repeated friction around the crack initiations. Therefore, numerous small clear facets in the source area are most evident at RT, and the number of clear facets decreases dramatically at high temperatures due to microstructural degradation.
Figure 8.
SEM images of surface damage features of SS304: (a–c) RT, Δε/2 = 0.6%; (d) RT, Δε/2 = 0.8%; (e–g) 300 °C, Δε/2 = 0.6%; (h,i) 650 °C, Δε/2 = 0.6%; the red and yellow arrows indicate the small facet and secondary crack, respectively.
In summary, it can be derived that small clear facets and cyclic softening are factors influencing the initiation and expansion of LCF microcracks in SS304. The stress concentration caused by extrusion and the shear effect under the cyclic loading at RT leads to further localized plastic deformation damage, inducing microcrack initiation, creating clear facet morphology, and further directing stress concentration along facets. The effect of cyclic softening on LCF crack initiation is mirrored by the contiguous areas of crack initiation on the fracture surface as the temperature increases. This, coupled with the sharp reduction in the number of clear facets, suggests that the cyclic softening characteristics are gradually replacing small planar morphology as the main factor in the low circumferential fatigue fracture of SS304, manifested by microstructural degradation at elevated temperatures.
Additionally, to further understand the microstructure evolution during LCF, the effect of temperature on SS304 is presented in Figure 9. TEM micrographs were selected at the locations of the fatigue crack initiation under 0.6% strain amplitude at RT, 300 °C, and 650 °C. It is well-known that dislocation theory is the basis of microscopic plastic deformation and explains the macroscopic behavior of materials under different loading conditions through dislocation movements and other lattice defects. High-density dislocation along and within the matrix grain boundary can be observed at all temperatures. For metallic materials, dislocation strengthening is one of the most fundamental strengthening strategies, and the storage and annihilation of dislocation in plastic deformation affects the macroscopic work-hardening and dynamic softening effects of the material. In the Bailey–Hirsch relationship [48], the dislocation density is proportional to dislocation strengthening.
Figure 9.
TEM micrographs of SS304 under 0.6% strain amplitude at different temperatures: (a,b) RT; The blue arrows and the yellow box indicate the dislocation wall and twins; (c) 300 °C; (d) 650 °C.
Figure 9a indicates that high-density dislocation forms a typical dislocation network (DN), which impedes the movement of dislocation and grain boundaries. The faint approximate cellular structure also appears in the upper right corner of the image. Meanwhile, dislocation tangles are observed around the carbonaceous precipitates (as the blue arrows show). The precipitates act as local pegs for the free dislocations, which are often followed by the nucleation prismatic loops or dipoles intensifying the hardening characteristic of the material [49]. Apart from this, a large amount of planar slip also exists. This is because SS304 has a low stacking fault energy, where dislocations are somewhat confined to its slip planar, and the interaction of slip systems leads to additional cyclic hardening [50]. Deformation twins mostly occur in regions of homogeneous distortion in polycrystals, and the deformation requires greater shear stress than slip. The critical shear stress required for deformation twinning is more easily reached during super cyclic hardening, providing the impetus for twin nucleation, and driving the formation of deformation twins. Deformation twins can be identified at RT in Figure 9b. The presence of deformation twins has the pining effect and reduces the average distance of free dislocations, providing strong dislocation storage capacity and impeding dislocation movement [51]. A similar phenomenon concerning deformation twins has been discussed in previous articles [52,53]. Given these mechanisms, it is possible to improve the plastic deformation resistance and maintain the stability of the cyclic hardening in LCF at RT.
As the temperature increases, the dislocation substructure changes until the dislocation cells form, which shows the balance between dislocation multiplication and annihilation activity. The dense dislocation cells reflecting the cyclic saturation state can be observed in Figure 9c. During cyclic deformation, the tangled dislocations are supplemented by separated atoms to form cellular substructures that act as soft barriers for dislocation motion during cyclic deformation [30], which leads to significant back stress and a planar deformation mechanism [31]. The presence of dislocation cells, commonly associated with the final stage of recovery, occurs later in the cyclic softening period of FCC alloys [54]. Although dislocation cellular structures are seen at both RT and 300 °C, there is a specific gravity relationship between grains that have already been in the dynamic recovery process and cellular development stages, while others remain in the hardening stage because of the grain heterogeneity in microstructure evolution [55]. If the former proportion is substantially ahead, the LCF of SS304 is characterized by cyclic hardening, and if the latter is dominant, cyclic softening is visible on the macroscopic scale. In summary, the rearrangement of dislocations to a low-energy state organization during dynamic recovery, the formation of sub-grains, and the reduction in dislocation density are responsible for the slight cyclic softening of SS304 at 300 °C.
Furthermore, under plastic deformation conditions, the cellular structures suffer from non-negligible hetero-deformation-induced stress, which inhibits dislocation motion and plays a role in promising fatigue properties [56]. When the temperature reaches 650 °C, dynamic recrystallization (as the green arrows show) replaces dynamic recovery as the primary mode of dynamic softening. In Figure 9d, it is provided that the number of in-place dislocation pileups has a greater drop than that at 300 °C. The rate of dislocation annihilation relative to dislocation annihilation increases and the low-angle grain boundaries (LAGBs) gradually disappear. The absence of cell boundaries can be explained by solute homogenization and dislocation migration, diminishing the twinning stress required to trigger twinning, so that a similar number of deformation twins as at RT are not expected at high temperatures [57].
Taken together, SS304 exhibits cyclic hardening at RT, where dislocation migration is influenced by DN, precipitation phases, and deformation twins, and shows cyclic softening at high temperatures, where the relative rate of dislocation annihilation rises gradually, influenced by dynamic recovery and recrystallization. The higher the temperature, the more marked the degree of thermal softening. The effect of temperature on SS304 is mainly manifested in the way dislocations evolve, causing microscopic mechanism changes and opposed cyclic properties at room and high temperatures.
3.5. Fatigue Life Evaluation
It is observed that a linear relationship exists between the logarithm of the fatigue life () and the strain amplitude (). To accurately predict the LCF life of SS304, the Basquin and Manson–Coffin model is chosen based on the experimental data, as follows [58,59,60]:
where and present the fatigue strength coefficient and exponent, and c denote the fatigue ductile coefficient and exponent, and expresses the number of reversals to failure. The elastic strain component dominates the LCF behavior at low strain amplitudes, while the plastic strain component is the major fatigue driving force at low cyclic life. The half-strain life under the strain-controlled condition at different temperatures is plotted in Figure 7, and the relevant parameters are listed in Table 4. The fitting parameters at different temperatures are provided in Table 4, and the semi-logarithmic curves of strain amplitude and the number of reversals to failure can be found in Figure 7d–f. The elastic strain at different temperatures and strain amplitudes do not differ significantly and are stable between 0.2% and 0.3%. Compared to the elastic strain amplitude, the plastic strain amplitude is more discrete and dominant in the total strain amplitude. This indicates that the fatigue life of SS304 is influenced by the material strength but depends on the material plasticity.
Table 4.
Fitting parameters of the Basquin and Manson–Coffin model at RT, 300 °C, and 650 °C.
The crack initiation and propagation period are primarily the process of energy absorption and consumption. Since fatigue damage is generally caused by plastic cyclic strain, it is important to study the dissipated plastic strain energy by energy methods. The energy methods are employed as the focus for the research of fatigue life prediction methods, considering the effects of applied stress and strain on the fatigue life simultaneously. In Figure 10, the axis origin is converted to the tip of the negative (compressive) cycle of the hysteresis loop. The difference in the form of the hysteresis loops depends on the applied cyclic strain amplitude. The area of the per hysteresis loop represents the energy dissipated in a single cycle, which is converted into heat energy dissipated through local damage (e.g., plastic deformation, cracking, etc.). With the increase in the applied strain amplitude, the fatigue stress and strain obviously grow, and the plastic energy consumed by SS304 increases per cycle. However, as the temperature increases, the sensitivity of the material to the strain amplitude decreases. At the same strain amplitude, the ability of the material to dissipate energy decreases with increasing temperature, which is not conducive to maintaining structural and property stability under fatigue loading. Furthermore, SS304 cannot follow the mashing-type description [23], because the trajectory of the upward hysteresis curves coincides with each other.
Figure 10.
Convert the hysteresis loops to the axis origin at different temperatures: (a) RT, (b) 300 °C, (c) 650 °C.
According to the cyclic cumulative strain energy model for non-mashing material, the plastic strain energy per cycle and the cumulative plastic strain energy at failure are as follows [22,23,61,62]:
where and are the plastic strain energy per cycle and cumulated plastic strain energy, respectively; and , and are different while the fitting values are similar, is a quantity equal to the increase in the proportional stress range caused by the non-mashing loop. The calculated results and associated fitting curves are shown in Figure 11. The plastic strain energy per cycle and the cumulative plastic strain energy decreases with increasing temperature. Whether SS304 exhibits cyclic hardening behavior at RT or cyclic softening behavior at HT, the cyclic plastic strain energy is monotonically reduced with an increase, which is attributed to the accumulation of material damage and crystal defects caused by the cyclic loading process. With the increasing number of cycles, dislocation density at the grain boundary grows in the SS304 crystals, intensifying the resistance to dislocation movement. At the same time, the growing dislocation density will produce stress concentration at grain boundaries. When the stress value exceeds a particular value, fatigue microcracks appear and expand to macrocracks leading to fracture and eventually failure. The development and expansion of microcracks is the source of the reduction in cyclic plasticity of SS304. These are the general microscopic reasons for the decreasing fatigue cycles; a more detailed analysis is given in Section 3.4.
Figure 11.
Plastic strain energy per cycle (a) and cumulative plastic strain energy (b) of SS304 at RT, 300 °C, and 650 °C.
To assess the effect of temperature on fatigue life at R = −1, the following damage energy model is explored by defining the proportion of damage in a single cycle. Through a life prediction with hysteresis energy, the damage parameter D can be obtained as follows [63]:
of which and represent the damage parameter and hysteresis energy of the th cycle; is a common material constant of this model. To simplify the hysteresis energy model, it is practical to replace with , a constant value of the saturation hysteresis energy. The improved model can be illustrated in the equation below.
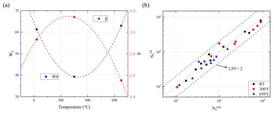
Where both and can be expressed as a fitting quadratic polynomial with the temperature in Figure 12.
By combining the three equations above, the modified the LCF life prediction is available as follows:
of which and exhibit an opposite changing path. In principle, is defined as the fatigue toughness of SS304, and the larger is, the greater its resistance to fatigue damage. However, the other important parameter , called the damage transition index, is the reduction and dispersion of fatigue damage. The different material properties observed at 300 °C are worthy of further study under three temperatures.
Figure 12.
The parameters (a) and the life prediction (b) of the SS304 modified model.
To assess the rationality and professionalism of the modified LCF model, the life prediction factor (IPF) is proposed to conduct an error analysis,
where and are the experimental and calculative data of the fatigue life. The result demonstrates that the modified model accurately predicts the LCF life of SS304 at RT, 300 °C, and 650 °C.
4. Conclusions
In this study, to understand the cyclic response behavior, fatigue failure behavior, and microstructural evolution of SS304 during cyclic loading, systematic analyses including uniaxial tensile tests and low-cycle fatigue tests are conducted at RT, 300 °C, and 650 °C. Several conclusions can be obtained as follows:
- (1)
- The tensile properties of SS304 decrease with increasing temperature and show work-hardening characteristics at all temperatures. However, the stress amplitude of SS304 presents cyclic hardening in RT and cyclic softening at 300 °C and 650 °C. The softening factor is minimally affected by the strain amplitude but is temperature sensitive.
- (2)
- The fatigue crack initiation mechanism of SS304 is single-point and multi-point initiation at RT and high temperatures, respectively. Fatigue crack initiation is controlled by a clear facet at RT and cyclic softening at 300 °C and 650 °C. Therefore, as the temperature increases, cyclic softening gradually replaces the clear facet as the primary mechanism for crack initiation.
- (3)
- Cyclic hardening of SS304 at RT is related to the forming dislocation nets, pinning dislocation by carbon-containing precipitates, low stacking fault energy, and deformation twins. In addition, dynamic recovery and dynamic recrystallization are proposed to explain the cyclic softening behavior at 300 °C and 650 °C. Dislocation morphology transforms from dislocation tangles and walls at RT to dislocation cells at 300 °C to dislocation annihilation, revealing that the effect of temperature on cyclic properties of SS304 originates from dislocation evolution.
- (4)
- After determining the non-mashing type of SS304, the quadratic relationship between the model parameters ( and ) and temperature is constructed based on the hysteresis energy model. The LPF analysis predicts that the experimental data possess accuracy and validity, which benefits the anti-fatigue design.
Author Contributions
Y.C.: Formal analysis, Investigation, Methodology, Writing original draft, Review. Q.W.: Conceptualization, Writing—Review & Editing. M.L.: Data curation, Review. Y.J.: Data curation, Validation. T.Z.: Data curation, Validation. T.M.: Funding acquisition, Supervision, Writing—Review & Editing. All authors have read and agreed to the published version of the manuscript.
Funding
This research was funded by the National Natural Science Foundation of China (No. 12272245, No. 11832007, No. 12172238) and the Natural Science Foundation of Sichuan Province (No. 2022NSFSC0324, No. 2022JDJQ0011). The authors are sincerely grateful and supported by the fund of the State Key Laboratory of Long-life High-Temperature Materials (No. DECSKL202102).
Data Availability Statement
The data that support the findings of this study are available from the corresponding author upon reasonable request.
Acknowledgments
The work was supported by the National Natural Science Foundation of China (No. 12272245, No. 11832007, No. 12172238) and the Natural Science Foundation of Sichuan Province (No. 2022NSFSC0324, No. 2022JDJQ0011). The authors are sincerely grateful and supported by the fund of the State Key Laboratory of Long-life High-Temperature Materials (No. DECSKL202102).
Conflicts of Interest
The authors declare no conflict of interest to the following manuscript. On behalf of my co-authors, I declare that the final version of the manuscript has been confirmed and approved for publication by all authors. Moreover, we validate that this manuscript has not been published previously and it is not being considered for publication elsewhere in whole or in part.
References
- Xu, Z.; Li, Y. Dynamic behaviors of 0Cr18Ni10Ti stainless steel welded joints at elevated temperatures and high strain rates. Mech. Mater. 2009, 41, 121–130. [Google Scholar] [CrossRef]
- Fissolo, A.; Stelmaszyk, J.M.; Gourdin, C.; Bouin, P.; Pérez, G. Thermal fatigue loading for a type 304-L stainless steel used for pressure water reactor: Investigations on the effect of a nearly perfect biaxial loading, and on the cumulative fatigue life. Procedia Eng. 2010, 2, 1595–1604. [Google Scholar] [CrossRef][Green Version]
- Ul-Hamid, A.; Tawancy, H.M.; Abbas, N.M. Failure of weld joints between carbon steel pipe and 304 stainless steel elbows. Eng. Fail. Anal. 2005, 12, 181–191. [Google Scholar] [CrossRef]
- Chen, Y.; Sun, S.; Zhang, T.; Zhou, X.; Li, S. Effects of post-weld heat treatment on the microstructure and mechanical properties of laser-welded NiTi/304SS joint with Ni filler. Mat. Sci. Eng. A-Struct. 2020, 771, 138545. [Google Scholar] [CrossRef]
- Zinkle, S.J.; Was, G.S. Materials challenges in nuclear energy. Acta Mater. 2013, 61, 735–758. [Google Scholar] [CrossRef]
- Olson, G.B.; Cohen, M. Kinetics of strain-induced martensitic nucleation. Metall. Trans. A 1975, 6, 791–795. [Google Scholar] [CrossRef]
- Liao, X.; Wei, H.; Feng, L.; Ban, H. Low-cycle fatigue behavior for stainless-clad 304 + Q235B bimetallic steel. Int. J. Fatigue 2022, 159, 106831. [Google Scholar] [CrossRef]
- Li, B.; Zheng, Y.; Zhao, J.; Shi, S.; Zhang, Z.; Chen, X. Cyclic deformation behavior and dynamic strain aging of 316LN stainless steel under low cycle fatigue loadings at 550 °C. Mat. Sci. Eng. A-Struct. 2021, 818, 141411. [Google Scholar] [CrossRef]
- Chen, Y.; Wang, X.; Shen, J.; Peng, Y.; Jiang, Y.; Yang, X.; Leen, S.B.; Gong, J. Deformation mechanisms of selective laser melted 316L austenitic stainless steel in high temperature low cycle fatigue. Mat. Sci. Eng. A-Struct. 2022, 843, 143123. [Google Scholar] [CrossRef]
- Šmíd, M.; Kuběna, I.; Jambor, M.; Fintová, S. Effect of solution annealing on low cycle fatigue of 304L stainless steel. Mat. Sci. Eng. A-Struct. 2021, 824, 141807. [Google Scholar] [CrossRef]
- Niu, X.; Zhu, S.-P.; He, J.-C.; Liao, D.; Correia, J.A.F.O.; Berto, F.; Wang, Q. Defect tolerant fatigue assessment of AM materials: Size effect and probabilistic prospects. Int. J. Fatigue 2022, 160, 106884. [Google Scholar] [CrossRef]
- Paul, S.K.; Sivaprasad, S.; Dhar, S.; Tarafder, S. Cyclic plastic deformation and cyclic hardening/softening behavior in 304LN stainless steel. Theor. Appl. Fract. Mech. 2010, 54, 63–70. [Google Scholar] [CrossRef]
- Jiang, Y.; Sehitoglu, H. Cyclic ratchetting of 1070 steel under multiaxial stress states. Int. J. Plast. 1994, 10, 579–608. [Google Scholar] [CrossRef]
- Zhang, H.; Li, C.; Yao, G.; Shi, Y.; Zhang, Y. Effect of annealing treatment on microstructure evolution and deformation behavior of 304L stainless steel made by laser powder bed fusion. Int. J. Plast. 2022, 155, 103335. [Google Scholar] [CrossRef]
- Ma, T.-H.; Gao, N.; Chang, L.; He, X.-H.; Zhou, C.-Y. Low-cycle fatigue behavior and life prediction of CP-Ti under non-proportional and multiaxial loading. Eng. Fract. Mech. 2021, 254, 107930. [Google Scholar] [CrossRef]
- Xu, L.; Nie, X.; Fan, J.; Tao, M.; Ding, R. Cyclic hardening and softening behavior of the low yield point steel BLY160: Experimental response and constitutive modeling. Int. J. Plast. 2016, 78, 44–63. [Google Scholar] [CrossRef]
- Zhou, J.; Sun, Z.; Kanouté, P.; Retraint, D. Experimental analysis and constitutive modelling of cyclic behaviour of 316L steels including hardening/softening and strain range memory effect in LCF regime. Int. J. Plast. 2018, 107, 54–78. [Google Scholar] [CrossRef]
- Wang, Y.Q.; Chang, T.; Shi, Y.J.; Yuan, H.X.; Yang, L.; Liao, D.F. Experimental study on the constitutive relation of austenitic stainless steel S31608 under monotonic and cyclic loading. Thin-Walled Struct. 2014, 83, 19–27. [Google Scholar] [CrossRef]
- Xie, X.-F.; Jiang, W.; Chen, J.; Zhang, X.; Tu, S.-T. Cyclic hardening/softening behavior of 316L stainless steel at elevated temperature including strain-rate and strain-range dependence: Experimental and damage-coupled constitutive modeling. Int. J. Plast. 2019, 114, 196–214. [Google Scholar] [CrossRef]
- Wei, W.; Feng, Y.; Han, L.; Zhang, Q.; Zhang, J. Cyclic hardening and dynamic strain aging during low-cycle fatigue of Cr-Mo tempered martensitic steel at elevated temperatures. Mater. Sci. Eng. A 2018, 734, 20–26. [Google Scholar] [CrossRef]
- Zhang, X.; Wang, T.; Gong, X.; Li, Q.; Liu, Y.; Wang, Q.; Zhang, H.; Wang, Q. Low cycle fatigue properties, damage mechanism, life prediction and microstructure of MarBN steel: Influence of temperature. Int. J. Fatigue 2021, 144, 106070. [Google Scholar] [CrossRef]
- Zhao, P.; Lu, T.-Y.; Gong, J.-G.; Xuan, F.-Z.; Berto, F. A strain energy density based life prediction model for notched components in low cycle fatigue regime. Int. J. Press. Vessel. Pip. 2021, 193, 104458. [Google Scholar] [CrossRef]
- Ellyin, F.; Kujawski, D. Plastic Strain Energy in Fatigue Failure. J. Press. Vessel. Technol. 1984, 106, 342–347. [Google Scholar] [CrossRef]
- Čular, I.; Vučković, K.; Žeželj, D.; Glodež, S. Analytical approach for low and high cycle bending fatigue life prediction of carburized gear steel specimens. Eng. Fail. Anal. 2020, 108, 104328. [Google Scholar] [CrossRef]
- Kim, Y.J.; Cha, J.W.; Kim, H.J.; Kim, Y.M.; Park, S.H. Low-cycle fatigue properties and unified fatigue life prediction equation of hot-rolled twin-roll-cast AZ31 sheets with different thicknesses. Mater. Sci. Eng. A 2022, 833, 142349. [Google Scholar] [CrossRef]
- Rozumek, D.; Marciniak, Z.; Lachowicz, C.T. The energy approach in the calculation of fatigue lives under non-proportional bending with torsion. Int. J. Fatigue 2010, 32, 1343–1350. [Google Scholar] [CrossRef]
- Liang-Hsiung, C.; Yung-Chuan, C.; Chia-Chin, W.; Jen, H.Y. Predictions of stress-strain curve and fatigue life for aisi 316 stainless steel in cyclic straining. J. Mar. Sci. Technol. 2016, 24, 426–433. [Google Scholar]
- ASTM E8M-04; Standard Test Methods for Tension Testing of Metallic Materials. ASTM: West Conshohocken, PA, USA, 2004.
- ASTM E606-2012; Standard Test Method for Strain-Controlled Fatigue Testing. ASTM: West Conshohocken, PA, USA, 2012.
- Cui, L.; Deng, D.; Jiang, F.; Peng, R.L.; Xin, T.; Mousavian, R.T.; Yang, Z.; Moverare, J. Superior low cycle fatigue property from cell structures in additively manufactured 316L stainless steel. J. Mater. Sci. Technol. 2022, 111, 268–278. [Google Scholar] [CrossRef]
- Cui, L.; Jiang, F.; Peng, R.L.; Mousavian, R.T.; Yang, Z.; Moverare, J. Dependence of microstructures on fatigue performance of polycrystals: A comparative study of conventional and additively manufactured 316L stainless steel. Int. J. Plast. 2022, 149, 103172. [Google Scholar] [CrossRef]
- Ait-Amokhtar, H.; Fressengeas, C. Crossover from continuous to discontinuous propagation in the Portevin–Le Chatelier effect. Acta Mater. 2010, 58, 1342–1349. [Google Scholar] [CrossRef]
- Chandran, S.; Liu, W.; Lian, J.; Münstermann, S.; Verleysen, P. Dynamic strain aging in DP1000: Effect of temperature and strain rate. Mater. Sci. Eng. A 2022, 832, 142509. [Google Scholar] [CrossRef]
- Borisova, Y.; Yuzbekova, D.; Mogucheva, A.; Xu, W. Characterization of the spatiotemporal behavior of the PLC bands in austenitic steel during deformation at elevated temperature. Mater. Lett. 2021, 304, 130584. [Google Scholar] [CrossRef]
- Zhang, H.; Li, P.; Gong, X.; Wang, T.; Li, L.; Liu, Y.; Wang, Q. Tensile properties, strain rate sensitivity and failure mechanism of single crystal superalloys CMSX-4. Mater. Sci. Eng. A-Struct. Mater. Prop. Microstruct. Process. 2020, 782, 139105. [Google Scholar] [CrossRef]
- Afrin, N.; Chen, D.L.; Cao, X.; Jahazi, M. Strain hardening behavior of a friction stir welded magnesium alloy. Scr. Mater. 2007, 57, 1004–1007. [Google Scholar] [CrossRef]
- Shen, Y.F.; Li, X.X.; Sun, X.; Wang, Y.D.; Zuo, L. Twinning and martensite in a 304 austenitic stainless steel. Mater. Sci. Eng. A 2012, 552, 514–522. [Google Scholar] [CrossRef]
- Shin, H.C.; Ha, T.K.; Chang, Y.W. Kinetics of deformation induced martensitic transformation in a 304 stainless steel. Scr. Mater. 2001, 45, 823–829. [Google Scholar] [CrossRef]
- Mirhosseini, S.; Perdahcıo, E.S.; Atzema, E.H.; van den Boogaard, A.H. Effect of temperature and heat generation on martensitic phase transformation in DH steels. Results Mater. 2022, 14, 100281. [Google Scholar] [CrossRef]
- Kim, H.; Lee, J.; Barlat, F.; Kim, D.; Lee, M.-G. Experiment and modeling to investigate the effect of stress state, strain and temperature on martensitic phase transformation in TRIP-assisted steel. Acta Mater. 2015, 97, 435–444. [Google Scholar] [CrossRef]
- Mouni, C.T.; Mahadevan, S.; Ravishankar, C.; Albert, S.K.; Das, C.R.; Parida, P.K.; Sagdeo, A. Influence of prior deformation temperature on strain induced martensite formation and its effect on the tensile strengthening behaviour of type 304 SS studied by XRDLPA. Mater. Sci. Eng. A 2021, 826, 141960. [Google Scholar] [CrossRef]
- Cakmak, E.; Vogel, S.C.; Choo, H. Effect of martensitic phase transformation on the hardening behavior and texture evolution in a 304L stainless steel under compression at liquid nitrogen temperature. Mat. Sci. Eng. A-Struct. 2014, 589, 235–241. [Google Scholar] [CrossRef]
- Hong-Xue, S.; Hao-Jiang, D. Low cycle fatigue stress-strain relation model of cyclic hardening or cyclic softening materials. Eng. Fract. Mech. 1996, 54, 1–9. [Google Scholar] [CrossRef]
- Wu, D.-L.; Zhao, P.; Wang, Q.-Q.; Xuan, F.-Z. Cyclic behavior of 9–12% Cr steel under different control modes in low cycle regime: A comparative study. Int. J. Fatigue 2015, 70, 114–122. [Google Scholar] [CrossRef]
- Gong, X.; Wang, T.; Li, Q.; Liu, Y.; Zhang, H.; Zhang, W.; Wang, Q.; Wang, Q. Cyclic responses and microstructure sensitivity of Cr-based turbine steel under different strain ratios in low cycle fatigue regime. Mater. Des. 2021, 201, 109529. [Google Scholar] [CrossRef]
- Bartošák, M.; Horváth, J.; Španiel, M. Life assessment of a 42CrMo4 steel under low-cycle fatigue and thermo-mechanical fatigue loading conditions. Int. J. Fatigue 2019, 129, 105255. [Google Scholar] [CrossRef]
- Ribeiro, V.; Correia, J.; Mourão, A.; Lesiuk, G.; Gonçalves, A.; De Jesus, A.; Berto, F. Low-cycle fatigue modelling supported by strain energy density-based Huffman model considering the variability of dislocation density. Eng. Fail. Anal. 2021, 128, 105608. [Google Scholar] [CrossRef]
- Liu, C.; Yang, J.; Ma, P.; Ma, Z.; Zhan, L.; Chen, K.; Huang, M.; Li, J.; Li, Z. Large creep formability and strength–ductility synergy enabled by engineering dislocations in aluminum alloys. Int. J. Plast. 2020, 134, 102774. [Google Scholar] [CrossRef]
- Caillard, D.; Couret, A. Dislocation movements controlled by friction forces and local pinning in metals and alloys. Mat. Sci. Eng. A-Struct. 2002, 322, 108–117. [Google Scholar] [CrossRef]
- Kida, S.; Itoh, T.; Sakane, M.; Ohnami, M.; Socie, D.J.F.; Materials, F.O.E. Structures, Dislocation structure and non-proportional hardening of Type 304 stainless steel. Fatigue Fract. Eng. Mater. Struct. 1997, 20, 1375–1386. [Google Scholar] [CrossRef]
- Zhang, H.; Xu, M.; Kumar, P.; Li, C.; Dai, W.; Liu, Z.; Li, Z.; Zhang, Y. Enhancement of fatigue resistance of additively manufactured 304L SS by unique heterogeneous microstructure. Virtual Phys. Prototyping 2021, 16, 125–145. [Google Scholar] [CrossRef]
- Zhang, H.; Pei, Y.; Gong, X.; Chen, X.; Zhang, W.; Zhang, P.; Li, L.; Liu, Y.; Wang, Q. Deformation nanotwins in a single-crystal Ni-based superalloy at room temperature and low strain rate. Mater. Charact. 2022, 187, 111865. [Google Scholar] [CrossRef]
- Jiang, Y.; Zhou, X.; Li, X.Y. Effects of cross rolling on multiple twinning and martensitic transformation in an austenitic steel. Mater. Sci. Eng. A 2021, 822, 141703. [Google Scholar] [CrossRef]
- Pham, M.S.; Solenthaler, C.; Janssens, K.G.F.; Holdsworth, S.R. Dislocation structure evolution and its effects on cyclic deformation response of AISI 316L stainless steel. Mat. Sci. Eng. A-Struct. 2011, 528, 3261–3269. [Google Scholar] [CrossRef]
- d’Hondt, C.; Doquet, V.; Couzinié, J.P. Cyclic hardening/softening and deformation mechanisms of a twip steel under reversed loading. Materialia 2022, 22, 101421. [Google Scholar] [CrossRef]
- Kong, D.; Dong, C.; Ni, X.; Liang, Z.; Man, C.; Li, X. Hetero-deformation-induced stress in additively manufactured 316L stainless steel. Mater. Res. Lett. 2020, 8, 390–397. [Google Scholar] [CrossRef]
- Hong, Y.; Zhou, C.; Zheng, Y.; Zhang, L.; Zheng, J. The cellular boundary with high density of dislocations governed the strengthening mechanism in selective laser melted 316L stainless steel. Mater. Sci. Eng. A 2021, 799, 140279. [Google Scholar] [CrossRef]
- Yoon, S.; Cui, Y.; Kimura, Y.; Gu, S.; Toku, Y.; Ju, Y. Improvement of low-cycle fatigue life of austenitic stainless steel by multiple high-density pulsed electric currents. Int. J. Fatigue 2022, 156, 106639. [Google Scholar] [CrossRef]
- Coffin, J.L.F. A Study of the Effects of Cyclic Thermal Stresses on a Ductile Metal; Knolls Atomic Power Laboratory: New York, NY, USA, 1953. [Google Scholar]
- He, J.-C.; Zhu, S.-P.; Luo, C.; Niu, X.; Wang, Q. Size effect in fatigue modelling of defective materials: Application of the calibrated weakest-link theory. Int. J. Fatigue 2022, 165, 107213. [Google Scholar] [CrossRef]
- Lu, Y.; Wu, H.; Zhong, Z. A modified energy-based model for low-cycle fatigue life prediction under multiaxial irregular loading. Int. J. Fatigue 2019, 128, 105187. [Google Scholar] [CrossRef]
- Luo, Y.-R.; Huang, C.-X.; Guo, Y.; Wang, Q.-Y. Energy-Based Prediction of Low Cycle Fatigue Life of High-Strength Structural Steel. J. Iron Steel Res. Int. 2012, 19, 47–53. [Google Scholar] [CrossRef]
- Yue, P.; Ma, J.; Huang, H.; Shi, Y.; Zu, J.W. Threshold damage-based fatigue life prediction of turbine blades under combined high and low cycle fatigue. Int. J. Fatigue 2021, 150, 106323. [Google Scholar] [CrossRef]
Disclaimer/Publisher’s Note: The statements, opinions and data contained in all publications are solely those of the individual author(s) and contributor(s) and not of MDPI and/or the editor(s). MDPI and/or the editor(s) disclaim responsibility for any injury to people or property resulting from any ideas, methods, instructions or products referred to in the content. |
© 2023 by the authors. Licensee MDPI, Basel, Switzerland. This article is an open access article distributed under the terms and conditions of the Creative Commons Attribution (CC BY) license (https://creativecommons.org/licenses/by/4.0/).











