Loss of Oxygen Atoms on Well-Oxidized Cobalt by Heterogeneous Surface Recombination
Abstract
:1. Introduction
2. Experimental
3. Results and Discussion
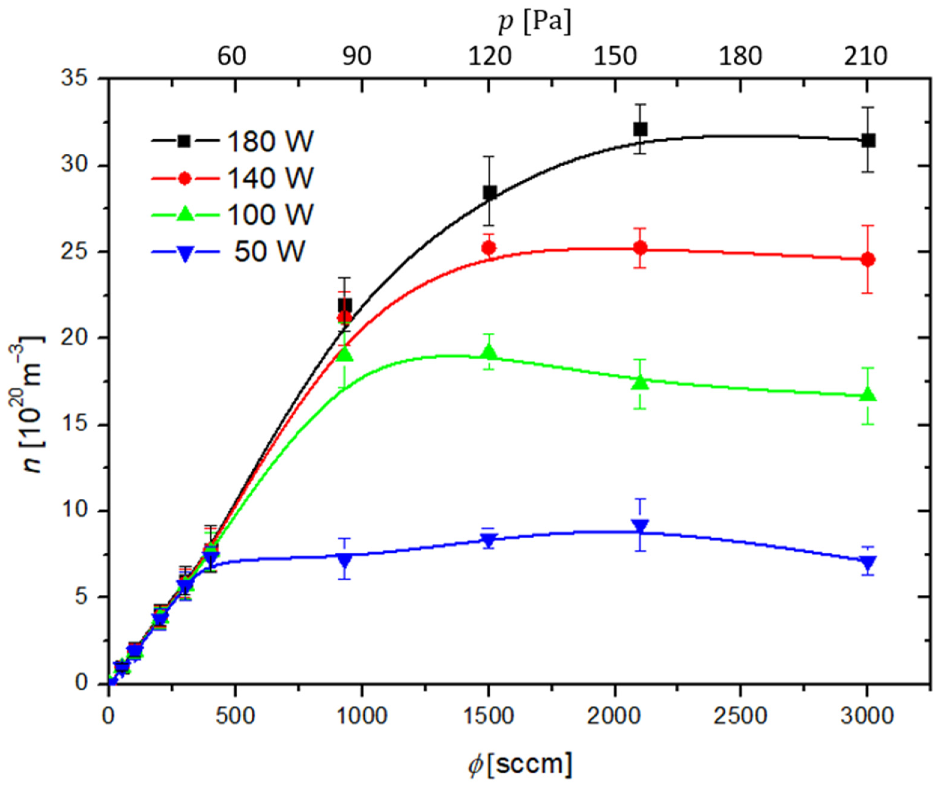
3.1. Characterisation of the Discharge System
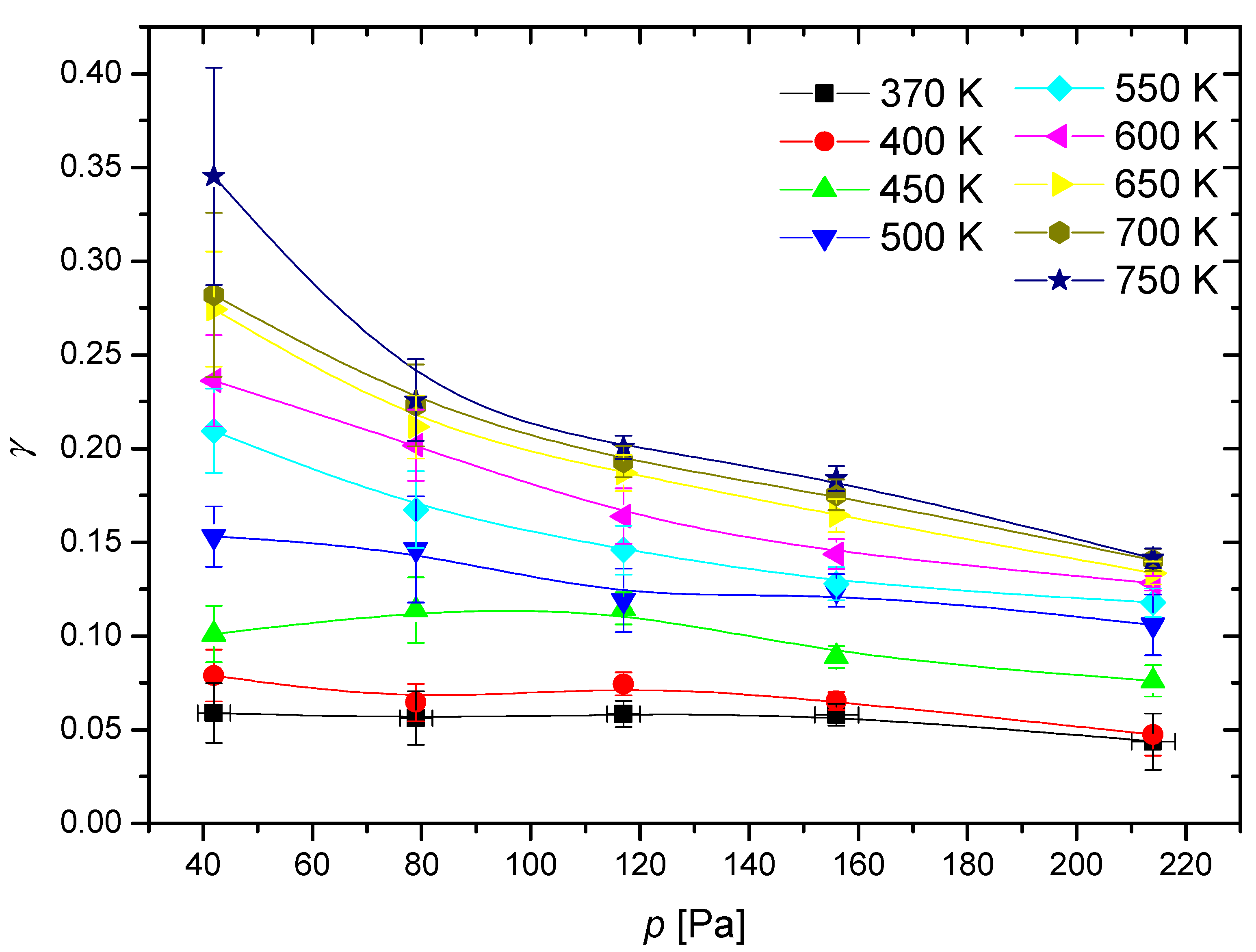
3.2. Determination of the Loss of Atoms on a Catalyst Material
4. Conclusions
Author Contributions
Funding
Institutional Review Board Statement
Informed Consent Statement
Data Availability Statement
Conflicts of Interest
References
- Di Palma, V.; Pianalto, A.; Perego, M.; Tallarida, G.; Codegoni, D.; Fanciulli, M. Plasma-Assisted Atomic Layer Deposition of IrO2 for Neuroelectronics. Nanomaterials 2023, 13, 976. [Google Scholar] [CrossRef]
- Fan, Z.-Y.; Yang, M.-J.; Fan, B.-Y.; Mavrič, A.; Pastukhova, N.; Valant, M.; Li, B.-L.; Feng, K.; Liu, D.-L.; Deng, G.-W.; et al. Plasma-enhanced atomic layer deposition of amorphous Ga2O3 for solar-blind photodetection. J. Electron. Sci. Technol. 2022, 20, 100176. [Google Scholar] [CrossRef]
- Baranov, O.; Bazaka, K.; Kersten, H.; Keidar, M.; Cvelbar, U.; Xu, S.; Levchenko, I. Plasma under control: Advanced solutions and perspectives for plasma flux management in material treatment and nanosynthesis. Appl. Phys. Rev. 2017, 4, 041302. [Google Scholar] [CrossRef]
- Wieland, F.; Bruch, R.; Bergmann, M.; Partel, S.; Urban, G.A.; Dincer, C. Enhanced Protein Immobilization on Polymers—A Plasma Surface Activation Study. Polymers 2020, 12, 104. [Google Scholar] [CrossRef] [PubMed]
- Levchenko, I.; Xu, S.; Baranov, O.; Bazaka, O.; Ivanova, E.P.; Bazaka, K. Plasma and Polymers: Recent Progress and Trends. Molecules 2021, 26, 4091. [Google Scholar] [CrossRef]
- Moreira, A.J.; Mansano, R.D.; Pinto, T.d.J.A.; Ruas, R.; Zambon, L.d.S.; da Silva, M.V.; Verdonck, P.B. Sterilization by oxygen plasma. Appl. Surf. Sci. 2004, 235, 151–155. [Google Scholar] [CrossRef]
- Senthilkumar, P.; Arun, N.; Vigneswaran, C. Plasma Sterilization: New Epoch in Medical Textiles. J. Inst. Eng. Ser. E 2015, 96, 75–84. [Google Scholar] [CrossRef]
- Petasch, W.; Kegel, B.; Schmid, H.; Lendenmann, K.; Keller, H. Low-pressure plasma cleaning: A process for precision cleaning applications. Surf. Coat. Technol. 1997, 97, 176–181. [Google Scholar] [CrossRef]
- Izdebska-Podsiadły, J. Study of Argon and Oxygen Mixtures in Low Temperature Plasma for Improving PLA Film Wettability. Coatings 2023, 13, 279. [Google Scholar] [CrossRef]
- Stuhr, R.; Bayer, P.; von Wangelin, A.J. The Diverse Modes of Oxygen Reactivity in Life & Chemistry. ChemSusChem 2022, 15, e202201323. [Google Scholar]
- Ho, R.Y.N.; Liebman, J.F.; Valentine, J.S. Overview of the Energetics and Reactivity of Oxygen. In Active Oxygen in Chemistry; Springer: Dordrecht, The Netherlands, 1995. [Google Scholar] [CrossRef]
- Annušová, A.; Marinov, D.; Booth, J.-P.; Sirse, N.; da Silva, M.L.; Lopez, B.; Guerra, V. Kinetics of highly vibrationally excited O2(X) molecules in inductively-coupled oxygen plasmas. Plasma Sources Sci. Technol. 2018, 27, 045006. [Google Scholar] [CrossRef]
- Zhang, K.; Shafer, B.M.; Demars, M.D.; Stern, H.A.; Fasan, R. Controlled Oxidation of Remote sp3 C–H Bonds in Artemisinin via P450 Catalysts with Fine-Tuned Regio- and Stereoselectivity. J. Am. Chem. Soc. 2012, 134, 18695–18704. [Google Scholar] [CrossRef] [PubMed]
- Balat-Pichelin, M.; Badie, J.; Berjoan, R.; Boubert, P. Recombination coefficient of atomic oxygen on ceramic materials under earth re-entry conditions by optical emission spectroscopy. Chem. Phys. 2003, 291, 181–194. [Google Scholar] [CrossRef]
- Brix, P.; Herzberg, G. The Dissociation Energy of Oxygen. J. Chem. Phys. 1953, 21, 2240. [Google Scholar] [CrossRef]
- Zaplotnik, R.; Primc, G.; Paul, D.; Mozetič, M.; Kovač, J.; Vesel, A. Atomic species generation by plasmas. In Plasma Applications for Material Modification: From Microelectronics to Biological Materials; Jenny Stanford Publishing: Singapore, 2021; pp. 107–177. [Google Scholar]
- Paul, D.; Mozetic, M.; Zaplotnik, R.; Primc, G.; Đonlagić, D.; Vesel, A. A Review of Recombination Coefficients of Neutral Oxygen Atoms for Various Materials. Materials 2023, 16, 1774. [Google Scholar] [CrossRef]
- Zhang, X.; Zheng, P.; Ma, Y.; Jiang, Y.; Li, H. Atomic-scale understanding of oxidation mechanisms of materials by computa-tional approaches: A review. Mater. Des. 2022, 217, 110605. [Google Scholar] [CrossRef]
- Saka, C. Overview on the Surface Functionalization Mechanism and Determination of Surface Functional Groups of Plasma Treated Carbon Nanotubes. Crit. Rev. Anal. Chem. 2018, 48, 1–14. [Google Scholar] [CrossRef]
- Greenwood, N.N.; Earnshaw, A. Chemistry of the Elements; Butterworth-Heinemann: Oxford, UK, 1997. [Google Scholar]
- Linde, D.R. CRC Handbook of Chemistry and Physics; CRC Press: Boca Raton, FL, USA, 2006. [Google Scholar]
- Gupta, S.; Fernandes, R.; Patel, R.; Spreitzer, M.; Patel, N. A review of cobalt-based catalysts for sustainable energy and en-viromental applications. Appl. Catal. A Gen. 2023, 661, 119254. [Google Scholar] [CrossRef]
- Greaves, J.C.; Linnett, J.W. Recombination of atoms at surfaces. Part—Oxygen atoms at oxide surfaces. Trans. Faraday. Soc. 1959, 55, 1346–1354. [Google Scholar] [CrossRef]
- Dickens, P.G.; Sutcliffe, M.B. Recombination of oxygen atoms on oxide surfaces. Trans. Faraday Soc. 1964, 60, 1272–1285. [Google Scholar] [CrossRef]
- Melin, G.A.; Madix, R.J. Energy accommodation during oxygen atom recombination on metal surfaces. Trans. Faraday Soc. 1971, 67, 198–211. [Google Scholar] [CrossRef]
- Guyon, C.; Cavadias, S.; Amouroux, J. Heat and mass transfer phenomenon from an oxygen plasma to a semiconductor surface. Surf. Coat. Technol. 2001, 142–144, 959–963. [Google Scholar] [CrossRef]
- Cvelbar, U.; Mozetic, M.; Ricard, A. Characterization of oxygen plasma with a fiber optic catalytic probe and determination of recombination coefficients. IEEE Trans. Plasma Sci. 2005, 33, 834–837. [Google Scholar] [CrossRef]
- Kim, I.; Park, G.; Na, J.J. Experimental study of surface roughness effect on oxygen catalytic recombination. Int. J. Heat Mass Transf. 2019, 138, 916–922. [Google Scholar] [CrossRef]
- Kim, I.; Yang, Y.; Park, G. Effect of titanium surface roughness on oxygen catalytic recombination in a shock tube. Acta Astronaut. 2020, 166, 260–269. [Google Scholar] [CrossRef]
- Mozetic, M.; Vesel, A.; Stoica, S.D.; Vizireanu, S.; Dinescu, G.; Zaplotnik, R. Oxygen atom loss coefficient of carbon nanowalls. Appl. Surf. Sci. 2015, 333, 207–213. [Google Scholar] [CrossRef]
- Kutasi, K.; Saoudi, B.; Pintassilgo, C.D.; Loureiro, J.; Moisan, M. Modelling the Low-Pressure N2-O2Plasma Afterglow to Determine the Kinetic Mechanisms Controlling the UV Emission Intensity and Its Spatial Distribution for Achieving an Efficient Sterilization Process. Plasma Process. Polym. 2008, 5, 840–852. [Google Scholar] [CrossRef]
- Ricard, A.; Henriques, J.; Cousty, S.; Villeger, S.; Amorim, J. Determination of N-, H- and O-Atom Densitiesin N2–H2 and in N2–O2 Gas Mixtures by Optical Actinometry in Flowing Microwave Discharges and by NO Titration in Post-Discharges. Plasma Process. Polym. 2007, 4, S965–S968. [Google Scholar] [CrossRef]
- Guerra, V.; Tejero-del-Caz, A.; Pintassilgo, C.D.; Alves, L.L. Modelling N2–O2 plasmas: Volume and surface kinetics. Plasma Sources Sci. Technol. 2019, 28, 073001. [Google Scholar] [CrossRef]
- Šorli, I.; Ročak, R. Determination of atomic oxygen density with a nickel catalytic probe. J. Vac. Sci. Technol. A 2000, 18, 338–342. [Google Scholar] [CrossRef]
- Paul, D.; Mozetič, M.; Zaplotnik, R.; Ekar, J.; Vesel, A.; Primc, G.; Đonlagič, D. Recombination of oxygen atoms on the surface of oxidized polycrystalline nickel—Temperature and pressure dependences. Plasma Sources Sci. Technol. 2023, 32, 7. [Google Scholar] [CrossRef]
- Zaplotnik, R.; Vesel, A.; Mozetič, M. Transition from E to H mode in inductively coupled oxygen plasma: Hysteresis and the behavior of oxygen atom density. Europhys. Lett. 2011, 95, 55001. [Google Scholar] [CrossRef]
- Nowakowska, H.; Czylkowski, D.; Zakrzewski, Z. Surface wave sustained discharge in Argon: Two-temperature collision-al-radiative model and experimental verification. J. Optoelectron. Adv. Mater. 2005, 7, 2427–2434. [Google Scholar]
- Umetsu, J.; Koga, K.; Inoue, K.; Matsuzaki, H.; Takenaka, K.; Shiratani, M. Discharge power dependence of Hα intensity and electron density of Ar+H2 discharges in H-assisted plasma CVD reactor. Surf. Coatings Technol. 2008, 202, 5659–5662. [Google Scholar] [CrossRef]
- Ionin, A.A.; Kochetov, I.V.; Napartovich, A.P.; Yuryshev, N.N. Physics and engineering of singlet delta oxygen production in low-temperature plasma. J. Phys. D Appl. Phys. 2007, 40, R25–R61. [Google Scholar] [CrossRef]
- Dou, L.; Liu, Y.; Gao, Y.; Li, J.; Hu, X.; Zhang, S.; Ostrikov, K.; Shao, T. Disentangling metallic cobalt sites and oxygen vacancy effects in synergistic plasma-catalytic CO2/CH4 conversion into oxygenates. Appl. Catal. B Environ. 2022, 318, 121830. [Google Scholar] [CrossRef]
- Fan, R.-Y.; Xie, J.-Y.; Yu, N.; Chai, Y.-M.; Dong, B. Interface design and composition regulation of cobalt-based electrocatalysts for oxygen evolution reaction. Int. J. Hydrog. Energy 2022, 47, 10547–10572. [Google Scholar] [CrossRef]
- Chun, S.M.; Park, S.M.; Yang, G.W.; Shin, D.H.; Moon, H.S.; Hong, Y.C.; Moon, S.Y. Improvement of the flowability of fine yttrium oxide powders by microwave oxygen plasma and evaluation of the dense coating layer. Ceram. Int. 2021, 47, 17476–17486. [Google Scholar] [CrossRef]
- Hou, M.; Guo, S.; Yang, L.; Gao, J.; Hu, T.; Wang, X.; Li, Y. Improvement of gas sensing property for two-dimensional Ti3C2Tx treated with oxygen plasma by microwave energy excitation. Ceram. Int. 2020, 47, 7728–7737. [Google Scholar] [CrossRef]
- Shi, H.; Huang, M.; Huang, Y.; Cui, L.; Zheng, L.; Cui, M.; Jiang, L.; Ibrahim, H.; Tontiwachwuthikul, P. Eley–Rideal model of heterogeneous catalytic carbamate formation based on CO2–MEA absorptions with CaCO3, MgCO3 and BaCO3. R. Soc. Open Sci. 2019, 6, 190311. [Google Scholar] [CrossRef]
- Baxter, R.J.; Hu, P. Insight into why the Langmuir–Hinshelwood mechanism is generally preferred. J. Chem. Phys. 2002, 116, 4379–4381. [Google Scholar] [CrossRef]
- Booth, J.-P.; Mozetič, M.; Nikiforov, A.; Oehr, C. Foundations of plasma surface functionalization of polymers for industrial and biological applications. Plasma Sources Sci. Technol. 2022, 31, 103001. [Google Scholar] [CrossRef]
- Kang, M.; Song, M.W.; Kim, K.L. Catalytic oxidation of carbon monoxide over CoOX/CeO2 catalysts. React. Kinet. Catal. Lett. 2003, 79, 3–10. [Google Scholar] [CrossRef]
- Dey, S.; Dhal, G. The catalytic activity of cobalt nanoparticles for low-temperature oxidation of carbon monoxide. Mater. Today Chem. 2019, 14, 100198. [Google Scholar] [CrossRef]
- Molavi, R.; Safaiee, R.; Sheikhi, M.; Hassani, N. Theoretical perspective on CO oxidation over small cobalt oxide clusters. Chem. Phys. Lett. 2021, 767, 138361. [Google Scholar] [CrossRef]









| Reference | |||
|---|---|---|---|
| 42–214 | 370–850 | 0.04–0.35 | this article |
| 650 | 300 | 0.00049 | [23] |
| 4 | 300–625 | 0.0018–0.25 | [24] |
| 1–4 | 300 | 0.075 | [25] |
| 110 | 300–473 | 0.029–0.034 | [26] |
| 10–400 | 750 | 0.08–0.14 | [27] |
Disclaimer/Publisher’s Note: The statements, opinions and data contained in all publications are solely those of the individual author(s) and contributor(s) and not of MDPI and/or the editor(s). MDPI and/or the editor(s) disclaim responsibility for any injury to people or property resulting from any ideas, methods, instructions or products referred to in the content. |
© 2023 by the authors. Licensee MDPI, Basel, Switzerland. This article is an open access article distributed under the terms and conditions of the Creative Commons Attribution (CC BY) license (https://creativecommons.org/licenses/by/4.0/).
Share and Cite
Paul, D.; Mozetič, M.; Zaplotnik, R.; Ekar, J.; Vesel, A.; Primc, G.; Đonlagić, D. Loss of Oxygen Atoms on Well-Oxidized Cobalt by Heterogeneous Surface Recombination. Materials 2023, 16, 5806. https://doi.org/10.3390/ma16175806
Paul D, Mozetič M, Zaplotnik R, Ekar J, Vesel A, Primc G, Đonlagić D. Loss of Oxygen Atoms on Well-Oxidized Cobalt by Heterogeneous Surface Recombination. Materials. 2023; 16(17):5806. https://doi.org/10.3390/ma16175806
Chicago/Turabian StylePaul, Domen, Miran Mozetič, Rok Zaplotnik, Jernej Ekar, Alenka Vesel, Gregor Primc, and Denis Đonlagić. 2023. "Loss of Oxygen Atoms on Well-Oxidized Cobalt by Heterogeneous Surface Recombination" Materials 16, no. 17: 5806. https://doi.org/10.3390/ma16175806
APA StylePaul, D., Mozetič, M., Zaplotnik, R., Ekar, J., Vesel, A., Primc, G., & Đonlagić, D. (2023). Loss of Oxygen Atoms on Well-Oxidized Cobalt by Heterogeneous Surface Recombination. Materials, 16(17), 5806. https://doi.org/10.3390/ma16175806

