Evaluation of Fluidity and Strength of High-Early-Strength Cement-Based Repair Materials by Adding SB Latex and Wollastonite Mineral Fibers
Abstract
1. Introduction
2. Experimental Plan
2.1. Materials
2.2. Mix Proportions
2.3. Experimental Methods
2.3.1. Flow Test
2.3.2. The Heat of Hydration Measurement
2.3.3. Compressive Strength
2.3.4. Flexural Strength
3. Experimental Results
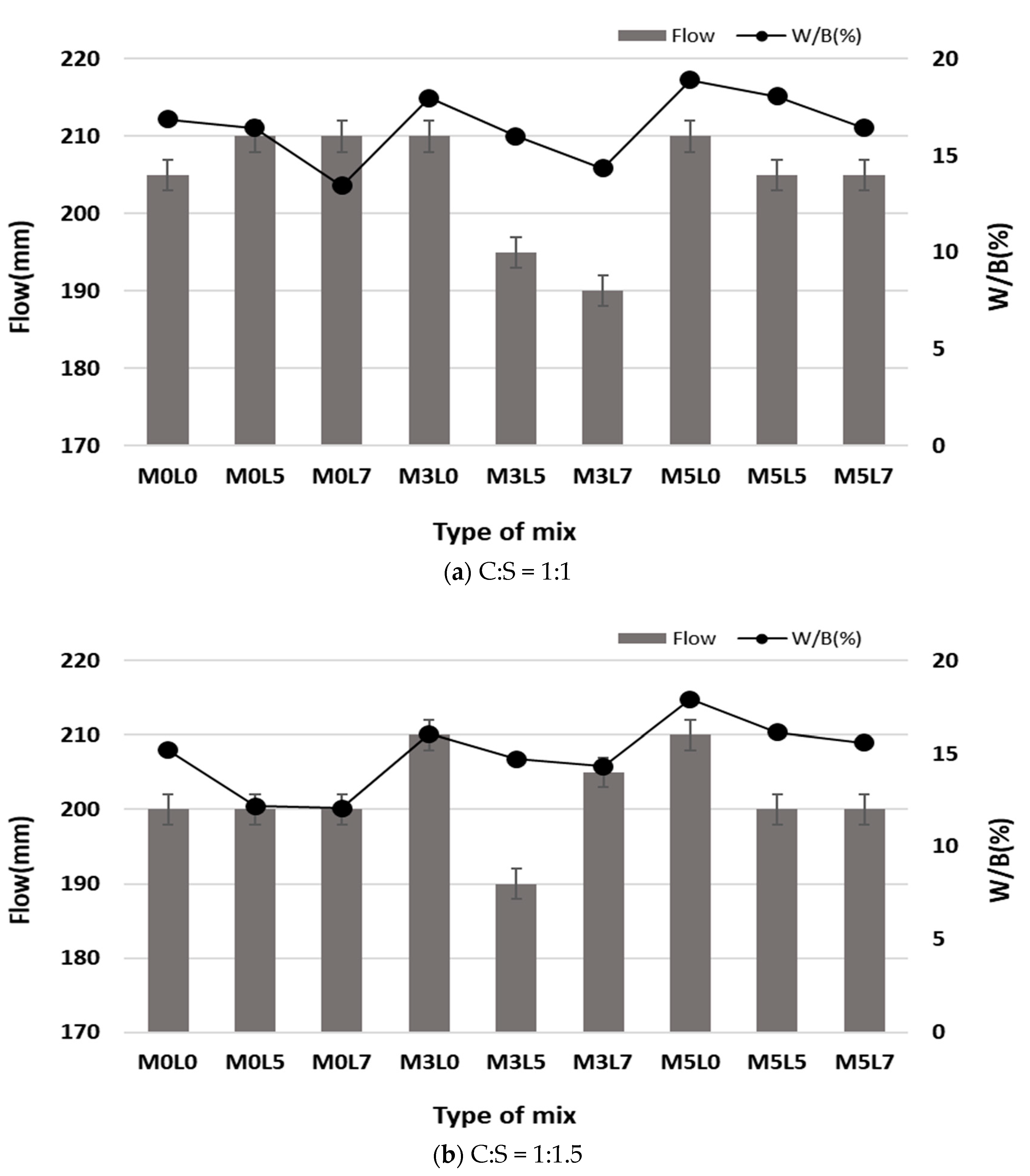
3.1. Flow Test
3.2. The Heat of Hydration Measurement
3.2.1. Compressive Strength
3.2.2. Flexural Strength
3.2.3. Determination of Mixing Ratio
4. Conclusions
Author Contributions
Funding
Institutional Review Board Statement
Informed Consent Statement
Data Availability Statement
Conflicts of Interest
References
- Kim, M. Applicability of Repair Polymer Mortar according to Different Environment Condition; Chungbuk National University: Cheongju, Republic of Korea, 2016. [Google Scholar]
- Kim, S. Development of Artificial Crack Testing Method for Injection Type Repair Materials Used in Leakage Cracks of Concrete Structure in an Underground Environment; Seoul National University of Science and Technology: Seoul, Republic of Korea, 2017. [Google Scholar]
- Seunghwa ENC Co., Ltd. Development of Environmental-Friendly Repair Materials and Applications Technique for Agricultural Concrete Structure; Ministry for Food, Agriculture, Forestry and Fisheries: Gwangju, Republic of Korea, 2008.
- Lee, J. Experimental Study on the Characteristics of Penetrating Surface Protection Materials to Promote Concrete Structure Durability; Seoul National University of Science and Technology: Seoul, Republic of Korea, 2006. [Google Scholar]
- Lee, H. Performance Evaluation for Initial-Crack Decrease of Polymer Mortar with Jute Fiber; University of Seoul: Seoul, Republic of Korea, 2012. [Google Scholar]
- Lee, J. Mechanical Performance and Durability of Highly Ductile Fiber Reinforced Composites Produced with PDMS-based Surface Protection Agent; Chungnam National University: Daejeon, Republic of Korea, 2019. [Google Scholar]
- Korea Institute of Civil Engineering. Development of Repair Rehabilitation Material Qualities and Methods Evaluation Standard of Reinforced Concrete Bridges; Ministry of Construction & Transportation: Sejong, Republic of Korea, 2003. [Google Scholar]
- Kwon, M.; Seo, H.; Lim, J.; Kim, J. The Properties of Durability and Strength of Fiber-Reinforced Polymer-Modified Mortars Using Eco-Friendly UM Resin. J. Korea Concr. Inst. 2013, 25, 313–320. [Google Scholar] [CrossRef][Green Version]
- Lee, J. Development of High Early Strength Latex Modified Sprayed-Mortar; Kangwon National University: Chuncheon, Republic of Korea, 2007. [Google Scholar]
- Kong, T. Enhanced Durability Performance of Regulated Set Cement Concrete; Konkuk University: Seoul, Republic of Korea, 2005. [Google Scholar]
- Park, S. Properties of Latex Modified Concrete(LMC) by Binder Content and Effect on Chloride Ion Diffusion; Konkuk University: Seoul, Republic of Korea, 2008. [Google Scholar]
- Wang, S.; Wang, X.; He, J.; Xin, M. Mechanical Behavior and Microstructure of Graphene Oxide Electrodeposited Carbon Fiber Reinforced Cement-Based Materials. Crystals 2022, 12, 964. [Google Scholar] [CrossRef]
- Jahangir, H.; Esfahani, M.R. Experimental analysis on tensile strengthening properties of steel and glass fiber reinforced inorganic matrix composites. Sci. Iran. 2021, 28, 1152–1166. [Google Scholar]
- Qing, L.; Sun, H.; Zhang, Y.; Mu, R.; Bi, M. Research Progress on Aligned Fiber Reinforced Cement-Based Composites. Constr. Build. Mater. 2023, 363, 129578. [Google Scholar] [CrossRef]
- Soliman, A.M.; Nehdi, M.L. Effect of Natural Wollastonite Microfibers on Early-Age Behavior of UHPC. J. Mater. Civ. Eng. 2012, 24, 816–824. [Google Scholar] [CrossRef]
- Choo, Y.J.; Lee, G.H.; Lee, S.J.; Park, C.G. Effects of Wollastonite Fiber and Styrene–Butadiene Latex Polymer on the Long-Term Durability of Cement-Based Repair Materials. Materials 2022, 15, 5433. [Google Scholar] [CrossRef] [PubMed]
- Zhu, J.; Wei, J.; Yu, Q.; Xu, M.; Luo, Y. Hybrid Effect of Wollastonite Fiber and Carbon Fiber on the Mechanical Properties of Oil Well Cement Pastes. Adv. Mater. Sci. Eng. 2020, 2020, 4618035. [Google Scholar] [CrossRef]
- Jindal, A.; Ransinchung, G.D.; Kumar, P. Behavioral Study of Self-Compacting Concrete with Wollastonite Microfiber as Part Replacement of Sand for Pavement Quality Concrete (PQC). Int. J. Transp. Sci. Technol. 2020, 9, 170–181. [Google Scholar] [CrossRef]
- Choi, K.J.; Choi, Y.G. For Increasing the Durability of Concrete Structures Development of Repair Materials; Report of DK Construction: Namyangju, Republic of Korea, 2021. [Google Scholar]
- KS F 2476; Standard Test Method for Polymer-Modified Cement Mortar. Korea Industrial Standards: Seoul, Republic of Korea, 2019.
- Park, H. Autogenous Shrinkage and Hydration Heat of Very-Early Strength Latex-Modified Concrete with Latex Content; Kangwon National University: Chuncheon, Republic of Korea, 2007. [Google Scholar]
- Park, D.; Suh, Y.; Kim, H.; Ahn, S. Behaviors of Early-Age Cracks on the JCP. Int. J. Highw. Eng. 2004, 6, 47–59. [Google Scholar]
- KS L 5105; Test Method for Compressive Strength of Hydraulic Cement Mortar. Korea Industrial Standards: Seoul, Republic of Korea, 2022.
- Tatnall, P.; Lamond, J.; Pielert, J.; West, C. Significance of Tests and Properties of Concrete and Concrete-Making Materials; ASTM International: West Conshohocken, PA, USA, 2006; pp. 578–590. [Google Scholar]
- Kumar, R. Wollastonite Mineral Fibre in Manufacturing of an Economical Pavement Concrete. In Proceedings of the Fourth International Conference on Sustainable Construction Materials and Technologies, Las Vegas, NV, USA, 7–11 August 2016. [Google Scholar]
- Jung, D. The Experimental Study on the Properties of Mortar with Silica Sand; Konkuk University: Seoul, Republic of Korea, 1996. [Google Scholar]
- Noh, J.; Sung, C. Engineering Properties of Carbon Fiber and Glass Fiber Reinforced Recycled Polymer Concrete. J. Korean Soc. Agric. Eng. 2016, 58, 21–27. [Google Scholar]
- Park, C.; Lee, J.; Kim, D.; Park, S. Flexural Strength and Impact Resistance of Latex Modified Fiber Reinforced Concrete. In Proceedings of the Korea Concrete Institute Conference, Seoul, Republic of Korea, 8 November 2012; pp. 29–30. [Google Scholar]













| Chemical Composition (%) | Blaine Fineness (cm2/g) | Specific Gravity | ||||||
|---|---|---|---|---|---|---|---|---|
| SiO2 | Al2O3 | Fe2O3 | CaO | MgO | K2O | SO3 | ||
| 13 ± 3 | 17.5 ± 3 | 3> | 50 ± 3 | 2.5> | 0.21 | 14 ± 3 | 5400 | 2.95 |
| No. | Size (mm) | Density (g/mm3) (20 °C) | Organic Impurities | Finess Modulus |
|---|---|---|---|---|
| 6 | ≤0.3 | 2.62 | Nil | 1.95 |
| Properties | Values |
|---|---|
| Appearance | White |
| Shape | Acicular |
| Length (mm) | 0.4–0.6 |
| Transverse dimension (µm) | 25–150 |
| Range of aspect ratio | 3–20 |
| Coefficient of expansion (mm/mm/°C) | 6.5 × 10−6 |
| Density (g/mm3) | 2.9 |
| Water solubility (g/100 cc) | 0.0095 |
| pH | 9.9 |
| Solids Content (%) | Styrene Content (%) | Butadiene Content (%) | pH | Density (g/mm3) | Surface Tension (dyne/cm) | Particle Size (Å) | Viscosity (cps) |
|---|---|---|---|---|---|---|---|
| 49 | 34 ± 1.5 | 66 ± 1.5 | 11.0 | 1.02 | 30.57 | 1700 | 42 |
| C:S Ratio | Type of Mix | W/B (%) | Used Weight (kg/5 L) | Used Weight (g/5 L) | Flow (mm) | |||||
|---|---|---|---|---|---|---|---|---|---|---|
| Water | Binder (B) | Wollastonite Fiber | SB Latex | Plasticizer | Retarder | |||||
| Cement | Silica Sand | |||||||||
| 1:1 | M0L0 | 16.87 | 1.63 | 4.84 | 4.84 | 0.00 | 0.00 | 0.00 | 96.8 | 205 |
| M0L5 | 16.43 | 1.59 | 0.48 | 14.52 | 210 | |||||
| M0L7 | 13.43 | 1.30 | 0.68 | 20.33 | 210 | |||||
| M3L0 | 17.98 | 1.74 | 0.29 | 0.00 | 0.00 | 210 | ||||
| M3L5 | 16.01 | 1.55 | 0.48 | 14.52 | 195 | |||||
| M3L7 | 14.36 | 1.39 | 0.68 | 20.33 | 190 | |||||
| M5L0 | 18.90 | 1.83 | 0.48 | 0.00 | 0.00 | 210 | ||||
| M5L5 | 18.08 | 1.75 | 0.48 | 14.52 | 205 | |||||
| M5L7 | 16.43 | 1.59 | 0.68 | 20.33 | 205 | |||||
| 1:1.5 | M0L0 | 15.2 | 1.56 | 4.11 | 6.16 | 0.00 | 0.00 | 0.00 | 102.63 | 205 |
| M0L5 | 12.2 | 1.25 | 0.51 | 15.39 | 210 | |||||
| M0L7 | 12.1 | 1.24 | 0.72 | 21.55 | 210 | |||||
| M3L0 | 16.1 | 1.65 | 0.31 | 0.00 | 0.00 | 210 | ||||
| M3L5 | 14.7 | 1.51 | 0.51 | 15.39 | 195 | |||||
| M3L7 | 14.3 | 1.47 | 0.72 | 21.55 | 190 | |||||
| M5L0 | 17.9 | 1.84 | 0.51 | 0.00 | 0.00 | 210 | ||||
| M5L5 | 16.2 | 1.66 | 0.51 | 15.39 | 205 | |||||
| M5L7 | 15.6 | 1.60 | 0.72 | 21.55 | 205 | |||||
| M5L0 | 17.9 | 1.84 | 0.51 | 0.00 | 0.00 | 210 | ||||
| M5L5 | 16.2 | 1.66 | 0.51 | 15.39 | 205 | |||||
| M5L7 | 15.6 | 1.60 | 0.72 | 21.55 | 205 | |||||
| Type of Mix | W/B (%) | Unit Weight (kg/m3) | Wollastonite Mineral Fibers | SB Latex | ||
|---|---|---|---|---|---|---|
| Water | Binder (B, C:S = 1:1.5) | |||||
| Cement | Silica Sand (#6) | |||||
| M3L5 | 12.2 | 222 | 728 | 1092 | B × 3 wt.% | B × 5 wt.% |
Disclaimer/Publisher’s Note: The statements, opinions and data contained in all publications are solely those of the individual author(s) and contributor(s) and not of MDPI and/or the editor(s). MDPI and/or the editor(s) disclaim responsibility for any injury to people or property resulting from any ideas, methods, instructions or products referred to in the content. |
© 2023 by the authors. Licensee MDPI, Basel, Switzerland. This article is an open access article distributed under the terms and conditions of the Creative Commons Attribution (CC BY) license (https://creativecommons.org/licenses/by/4.0/).
Share and Cite
Choo, Y.-J.; Koo, J.-H.; Lee, S.-J.; Park, C.-G. Evaluation of Fluidity and Strength of High-Early-Strength Cement-Based Repair Materials by Adding SB Latex and Wollastonite Mineral Fibers. Materials 2023, 16, 5239. https://doi.org/10.3390/ma16155239
Choo Y-J, Koo J-H, Lee S-J, Park C-G. Evaluation of Fluidity and Strength of High-Early-Strength Cement-Based Repair Materials by Adding SB Latex and Wollastonite Mineral Fibers. Materials. 2023; 16(15):5239. https://doi.org/10.3390/ma16155239
Chicago/Turabian StyleChoo, Yeon-Jae, Jae-Hyuk Koo, Su-Jin Lee, and Chan-Gi Park. 2023. "Evaluation of Fluidity and Strength of High-Early-Strength Cement-Based Repair Materials by Adding SB Latex and Wollastonite Mineral Fibers" Materials 16, no. 15: 5239. https://doi.org/10.3390/ma16155239
APA StyleChoo, Y.-J., Koo, J.-H., Lee, S.-J., & Park, C.-G. (2023). Evaluation of Fluidity and Strength of High-Early-Strength Cement-Based Repair Materials by Adding SB Latex and Wollastonite Mineral Fibers. Materials, 16(15), 5239. https://doi.org/10.3390/ma16155239
