Effects of Film Thickness on the Residual Stress of Vanadium Dioxide Thin Films Grown by Magnetron Sputtering
Abstract
1. Introduction
2. Experiment Details
3. Results and Discussion
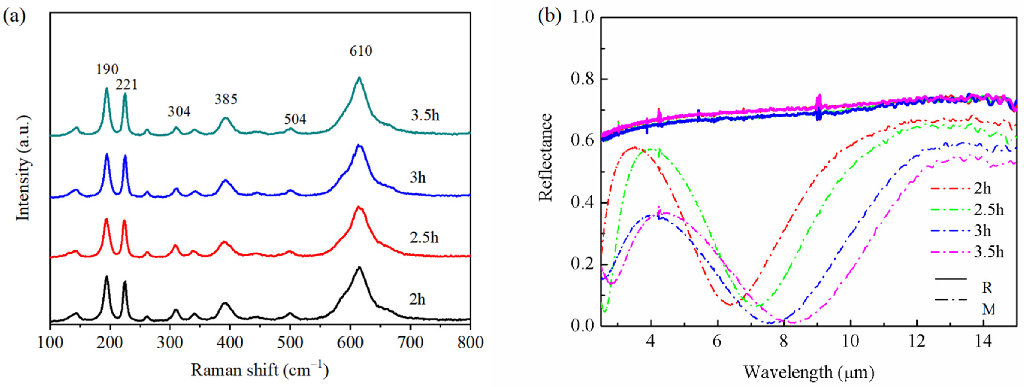
3.1. Structural Characterization
3.2. Morphology
3.3. Residual Stress
4. Conclusions
Supplementary Materials
Author Contributions
Funding
Institutional Review Board Statement
Informed Consent Statement
Data Availability Statement
Conflicts of Interest
References
- Zhang, Y.; Xiong, W.; Chen, W.; Zheng, Y. Recent progress on vanadium dioxide nanostructures and devices: Fabrication, properties, applications and perspectives. Nanomaterials 2021, 11, 338. [Google Scholar] [CrossRef]
- Ren, Y.; Zhou, T.; Jiang, C.; Tang, B. Thermally switching between perfect absorber and asymmetric transmission in vanadium dioxide-assisted metamaterials. Opt. Express 2021, 29, 7666–7679. [Google Scholar] [CrossRef]
- Vu, T.D.; Xie, H.; Wang, S.; Hu, J.; Zeng, X.; Long, Y. Durable vanadium dioxide with 33-year service life for smart windows applications. Mater. Today Energy 2022, 26, 100978. [Google Scholar] [CrossRef]
- Wei, H.; Gu, J.; Ren, F.; Zhang, L.; Xu, G.; Wang, B.; Song, S.; Zhao, J.; Dou, S.; Li, Y. Smart materials for dynamic thermal radiation regulation. Small 2021, 17, 2100446. [Google Scholar] [CrossRef]
- Li, Z.; Zhao, S.; Shao, Z.; Jia, H.; Huang, A.; Jin, P.; Cao, X. Deterioration mechanism of vanadium dioxide smart coatings during natural aging: Uncovering the role of water. Chem. Eng. J. 2022, 447, 137556. [Google Scholar] [CrossRef]
- Dou, S.; Xu, H.; Zhao, J.; Zhang, K.; Li, N.; Lin, Y.; Pan, L.; Li, Y. Bioinspired microstructured materials for optical and thermal regulation. Adv. Mater. 2021, 33, 2000697. [Google Scholar] [CrossRef]
- Dou, S.; Zhang, W.; Ren, F.; Gu, J.; Wei, H.; Chen, X.; Xu, G.; Yan, X.; Zhan, Y.; Zhao, J.; et al. The infrared optical performance of VO2 film prepared by HiPIMS. Mater. Chem. Phys. 2021, 259, 124042. [Google Scholar] [CrossRef]
- Wei, H.; Gu, J.; Ren, F.; Geng, C.; Guan, H.; Liang, S.; Fan, Q.; Zhao, J.; Wang, C.; Dou, S.; et al. Kirigami-Inspired Reconfigurable Thermal Mimetic Device. Laser Photonics Rev. 2022, 16, 2200383. [Google Scholar] [CrossRef]
- Wei, H.; Yan, X.; Gu, J.; Ren, F.; Dong, X.; Guan, H.; Geng, C.; Liang, S.; Fan, Q.; Li, L.; et al. A universal approach to fabricating infrared-shielding smart coatings based on vanadium dioxide. Sol. Energy Mater. Sol. Cells 2022, 241, 111728. [Google Scholar] [CrossRef]
- Wang, S.; Liu, M.; Kong, L.; Long, Y.; Jiang, X.; Yu, A. Recent progress in VO2 smart coatings: Strategies to improve the thermochromic properties. Prog. Mater. Sci. 2016, 81, 1–54. [Google Scholar] [CrossRef]
- Rajeswaran, B.; Umarji, A.M. Defect engineering of VO2 thin films synthesized by Chemical Vapor Deposition. Mater. Chem. Phys. 2020, 245, 122230. [Google Scholar] [CrossRef]
- Vu, T.D.; Chen, Z.; Zeng, X.; Jiang, M.; Liu, S.; Gao, Y.; Long, Y. Physical vapour deposition of vanadium dioxide for thermochromic smart window applications. J. Mater. Chem. C 2019, 7, 2121–2145. [Google Scholar] [CrossRef]
- El-Desoky, M.M.; Morad, I.; Ali, M.A.; Ali, A.M.; Sayed, M.A.; Algami, H.; Abd-Rehim, A.F. Annealing temperatures effect on the electrical and structural properties of nanocrystalline vanadium dioxide films prepared by Sol–Gel technique. Appl. Phys. A 2021, 127, 366. [Google Scholar] [CrossRef]
- Wei, T.; Li, Q.; Yang, G.; Wang, C. An electrochemically induced bilayered structure facilitates long-life zinc storage of vanadium dioxide. J. Mater. Chem. A 2018, 6, 8006–8012. [Google Scholar] [CrossRef]
- Kim, J.; Paik, T. Recent advances in fabrication of flexible, thermochromic vanadium dioxide films for smart windows. Nanomaterials 2021, 11, 2674. [Google Scholar] [CrossRef]
- Devthade, V.; Lee, S. Synthesis of vanadium dioxide thin films and nanostructures. J. Appl. Phys. 2020, 128, 231101. [Google Scholar] [CrossRef]
- Chen, Y.S.; Lin, C.C.; Chin, T.S.; Chang, J.Y.J.; Sung, C.K. Residual stress analysis of electrodeposited thick CoMnP monolayers and CoMnP/Cu multilayers. Surf. Coat. Technol. 2022, 434, 128169. [Google Scholar] [CrossRef]
- Dutta, S.; Pandey, A. Overview of residual stress in MEMS structures: Its origin, measurement, and control. J. Mater. Sci. Mater. Electron. 2021, 32, 6705–6741. [Google Scholar] [CrossRef]
- Dive, V.; Lakade, S. Recent research progress on residual stress measurement using non-destructive testing. Mater. Today: Proc. 2021, 47, 3282–3287. [Google Scholar] [CrossRef]
- Rao, Z.; Berman, S.; Yang, P.; Depla, D.; Chason, E. Understanding residual stress in thin films: Analyzing wafer curvature measurements for Ag, Cu, Ni, Fe, Ti, and Cr with a kinetic model. J. Appl. Phys. 2021, 130, 135304. [Google Scholar] [CrossRef]
- Jiang, G.; Haiyang, F.; Bo, P.; Renke, K. Recent progress of residual stress measurement methods: A review. Chin. J. Aeronaut. 2021, 34, 54–78. [Google Scholar]
- Oettel, H.; Wiedemann, R. Residual stresses in PVD hard coatings. Surf. Coat. Technol. 1995, 76, 265–273. [Google Scholar] [CrossRef]
- Alvarez-Vera, M.; Hdz-García, H.M.; Díaz-Guillén, J.C.; Muñoz-Arroyo, R.; Acevedo-Davila, J.L.; Mtz-Enriquez, A.I.; Badillo, C.F. Tribological performance of Ti nanolayer coating post plasma nitriding treatment on Co based alloy. Wear 2021, 477, 203798. [Google Scholar] [CrossRef]
- Wu, B.; Yu, Y.; Wu, J.; Shchelkanow, I.; Ruzic, D.; Huang, N.; Leng, Y. Tailoring of titanium thin film properties in high power pulsed magnetron sputtering. Vacuum 2018, 150, 144–154. [Google Scholar] [CrossRef]
- Choi, H.M.; Choi, S.K.; Anderson, O.; Bange, K. Influence of film density on residual stress and resistivity for Cu thin films deposited by bias sputtering. Thin Solid Film. 2000, 358, 202–205. [Google Scholar] [CrossRef]
- Chason, E.; Guduru, P.R. Tutorial. Understanding residual stress in polycrystalline thin films through real-time measurements and physical models. J. Appl. Phys. 2016, 119, 191101. [Google Scholar] [CrossRef]
- Österlund, E.; Ross, G.; Caro, M.A.; Paulasto-Kröckel, M.; Hollmann, A.; Klaus, M.; Meixner, M.; Genzel, C.; Koppinen, P.; Pensala, T.; et al. Stability and residual stresses of sputtered wurtzite AlScN thin films. Phys. Rev. Mater. 2021, 5, 035001. [Google Scholar] [CrossRef]
- Li, H.; Sun, P.; Cheng, D.; Liu, Z. Effects of deposition temperature on structure, residual stress and corrosion behavior of Cr/TiN/Ti/TiN films. Ceram. Int. 2021, 47, 34909–34917. [Google Scholar] [CrossRef]
- Lim, W.C.; Singh, J.P.; Kim, Y.; Song, J.; Chae, K.H.; Seong, T.Y. Effect of thermal annealing on the properties of ZnO thin films. Vacuum 2021, 183, 109776. [Google Scholar] [CrossRef]
- Xi, Y.; Gao, K.; Pang, X.; Yang, H.; Xiong, X.; Li, H.; Volinsky, A.A. Film thickness effect on texture and residual stress sign transition in sputtered TiN thin films. Ceram. Int. 2017, 43, 11992–11997. [Google Scholar] [CrossRef]
- Bunting, A.; Cheung, R. Evaluation of residual stress in sputtered tantalum thin-film. Appl. Surf. Sci. 2016, 371, 571–575. [Google Scholar]
- Kusaka, K.; Taniguchi, D.; Hanabusa, T.; Tominaga, K. Effect of input power on crystal orientation and residual stress in AlN film deposited by dc sputtering. Vacuum 2000, 59, 806–813. [Google Scholar] [CrossRef]
- Liu, G.; Yang, Y.; Huang, B.; Luo, X.; Ouyang, S.; Zhao, G.; Jin, N.; Li, P. Effects of substrate temperature on the structure, residual stress and nanohardness of Ti6Al4V films prepared by magnetron sputtering. Appl. Surf. Sci. 2016, 370, 53–58. [Google Scholar] [CrossRef]
- Long, S.; Cao, X.; Li, N.; Xin, Y.; Sun, G.; Chang, T.; Bao, S.; Jin, P. Application-oriented VO2 thermochromic coatings with composite structures: Optimized optical performance and robust fatigue properties. Sol. Energy Mater. Sol. Cells 2019, 189, 138–148. [Google Scholar] [CrossRef]
- Balakrishnan, V.; Ko, C.; Ramanathan, S. Size effects on stress relaxation across the metal-insulator transition in VO2 thin films. J. Mater. Res. 2011, 26, 1384–1387. [Google Scholar] [CrossRef]
- Tsai, K.Y.; Chin, T.S.; Shieh HP, D.; Ma, C.H. Effect of as-deposited residual stress on transition temperatures of VO2 thin films. J. Mater. Res. 2004, 19, 2306–2314. [Google Scholar] [CrossRef]
- Viswanath, B.; Ko, C.; Ramanathan, S. Thermoelastic switching with controlled actuation in VO2 thin films. Scr. Mater. 2011, 64, 490–493. [Google Scholar] [CrossRef]
- Tabatabaeian, A.; Ghasemi, A.R.; Shokrieh, M.M.; Marzbanrad, B.; Baraheni, M.; Fotouhi, M. Residual stress in engineering materials: A review. Adv. Eng. Mater. 2022, 24, 2100786. [Google Scholar] [CrossRef]
- Hayase, T.; Waki, H.; Adachi, K. Residual stress change in thermal barrier coating due to thermal exposure evaluated by curvature method. J. Therm. Spray Technol. 2020, 29, 1300–1312. [Google Scholar] [CrossRef]
- Schuster, T.; Plöger, J.; Louis, A.K. Depth-resolved residual stress evaluation from X-ray diffraction measurement data using the approximate inverse method. Int. J. Mater. Res. 2022, 94, 934–937. [Google Scholar] [CrossRef]
- Das, B.; Brodard, P.; Bandyopadhyay, P.P. Raman spectroscopy assisted residual stress measurement of plasma sprayed and laser remelted zirconia splats and coatings. Surf. Coat. Technol. 2019, 378, 124920. [Google Scholar] [CrossRef]
- Ali, A.; Chiang, Y.W.; Santos, R.M. X-ray diffraction techniques for mineral characterization: A review for engineers of the fundamentals, applications, and research directions. Minerals 2022, 12, 205. [Google Scholar] [CrossRef]
- Zhu, M.; Wang, H.; Li, C.; Qi, H.; Zhang, D.; Lv, W. Thickness-modulated thermochromism of vanadium dioxide thin films grown by magnetron sputtering. Surf. Coat. Technol. 2019, 359, 396–402. [Google Scholar] [CrossRef]
- Petrov, G.I.; Yakovlev, V.V.; Squier, J. Raman microscopy analysis of phase transformation mechanisms in vanadium dioxide. Appl. Phys. Lett. 2002, 81, 1023–1025. [Google Scholar] [CrossRef]
- Pan, M.; Liu, J.; Zhong, H.; Wang, S.; Li, Z.; Chen, X.; Lu, W. Raman study of the phase transition in VO2 thin films. J. Cryst. Growth 2004, 268, 178–183. [Google Scholar] [CrossRef]
- Yang, Z.; Ko, C.; Ramanathan, S. Metal-insulator transition characteristics of VO2 thin films grown on Ge (100) single crystals. J. Appl. Phys. 2010, 108, 073708. [Google Scholar] [CrossRef]
- Wei, X.B.; Wu, Z.M.; Xu, X.D.; Tang, J.J.; Li, W.Z.; Jiang, Y.D. Growth mode and texture study in vanadium dioxide thin films deposited by magnetron sputtering. J. Phys. D Appl. Phys. 2008, 41, 055303. [Google Scholar] [CrossRef]
- Brassard, D.; Fourmaux, S.; Jean-Jacques, M.; Kieffer, J.C.; El Khakani, M.A. Grain size effect on the semiconductor-metal phase transition characteristics of magnetron-sputtered VO2 thin films. Appl. Phys. Lett. 2005, 87, 051910. [Google Scholar] [CrossRef]
- Spaepen, F. Interfaces and stresses in thin films. Acta Mater. 2000, 48, 31–42. [Google Scholar] [CrossRef]
- Tsui, Y.C.; Clyne, T.W. An analytical model for predicting residual stresses in progressively deposited coatings Part 1, Planar geometry. Thin Solid Film. 1997, 306, 23–33. [Google Scholar] [CrossRef]
- Windischmann, H. Intrinsic stress in sputter-deposited thin films. Crit. Rev. Solid State Mater. Sci. 1992, 17, 547–596. [Google Scholar] [CrossRef]






| Samples | Temperature (°C) | Time (h) | Pulse Width (μs) | Pulse Frequency (Hz) | Pressure (Pa) | Ar:O2 Ratio (sccm) | Average Power (W) |
|---|---|---|---|---|---|---|---|
| S1 | 400 | 2.0 | 50 | 200 | 0.9 | 80:1.4 | 200 |
| S2 | 400 | 2.5 | 50 | 200 | 0.9 | 80:1.4 | 200 |
| S3 | 400 | 3.0 | 50 | 200 | 0.9 | 80:1.4 | 200 |
| S4 | 400 | 3.5 | 50 | 200 | 0.9 | 80:1.4 | 200 |
Disclaimer/Publisher’s Note: The statements, opinions and data contained in all publications are solely those of the individual author(s) and contributor(s) and not of MDPI and/or the editor(s). MDPI and/or the editor(s) disclaim responsibility for any injury to people or property resulting from any ideas, methods, instructions or products referred to in the content. |
© 2023 by the authors. Licensee MDPI, Basel, Switzerland. This article is an open access article distributed under the terms and conditions of the Creative Commons Attribution (CC BY) license (https://creativecommons.org/licenses/by/4.0/).
Share and Cite
Wang, Y.; Li, X.; Yan, X.; Dou, S.; Li, Y.; Wang, L. Effects of Film Thickness on the Residual Stress of Vanadium Dioxide Thin Films Grown by Magnetron Sputtering. Materials 2023, 16, 5093. https://doi.org/10.3390/ma16145093
Wang Y, Li X, Yan X, Dou S, Li Y, Wang L. Effects of Film Thickness on the Residual Stress of Vanadium Dioxide Thin Films Grown by Magnetron Sputtering. Materials. 2023; 16(14):5093. https://doi.org/10.3390/ma16145093
Chicago/Turabian StyleWang, Yuemin, Xingang Li, Xiangqiao Yan, Shuliang Dou, Yao Li, and Lei Wang. 2023. "Effects of Film Thickness on the Residual Stress of Vanadium Dioxide Thin Films Grown by Magnetron Sputtering" Materials 16, no. 14: 5093. https://doi.org/10.3390/ma16145093
APA StyleWang, Y., Li, X., Yan, X., Dou, S., Li, Y., & Wang, L. (2023). Effects of Film Thickness on the Residual Stress of Vanadium Dioxide Thin Films Grown by Magnetron Sputtering. Materials, 16(14), 5093. https://doi.org/10.3390/ma16145093

