High-Impact Performance and Thermal Properties of Polyimine Nanocomposites Reinforced by Silicon Carbide Nano-Whiskers
Abstract
1. Introduction
2. Materials and Methods
2.1. Experimental Material
2.2. Experimental Process
2.3. Characterization
3. Results and Discussion
3.1. Preparation of PI-SiCw
3.2. Mechanical Properties
3.2.1. Hardness and Tensile Strength Analysis
3.2.2. Bending Strength Analysis
3.2.3. Impact Strength Analysis
3.3. Thermal Properties
3.3.1. TGA and DTG Analysis
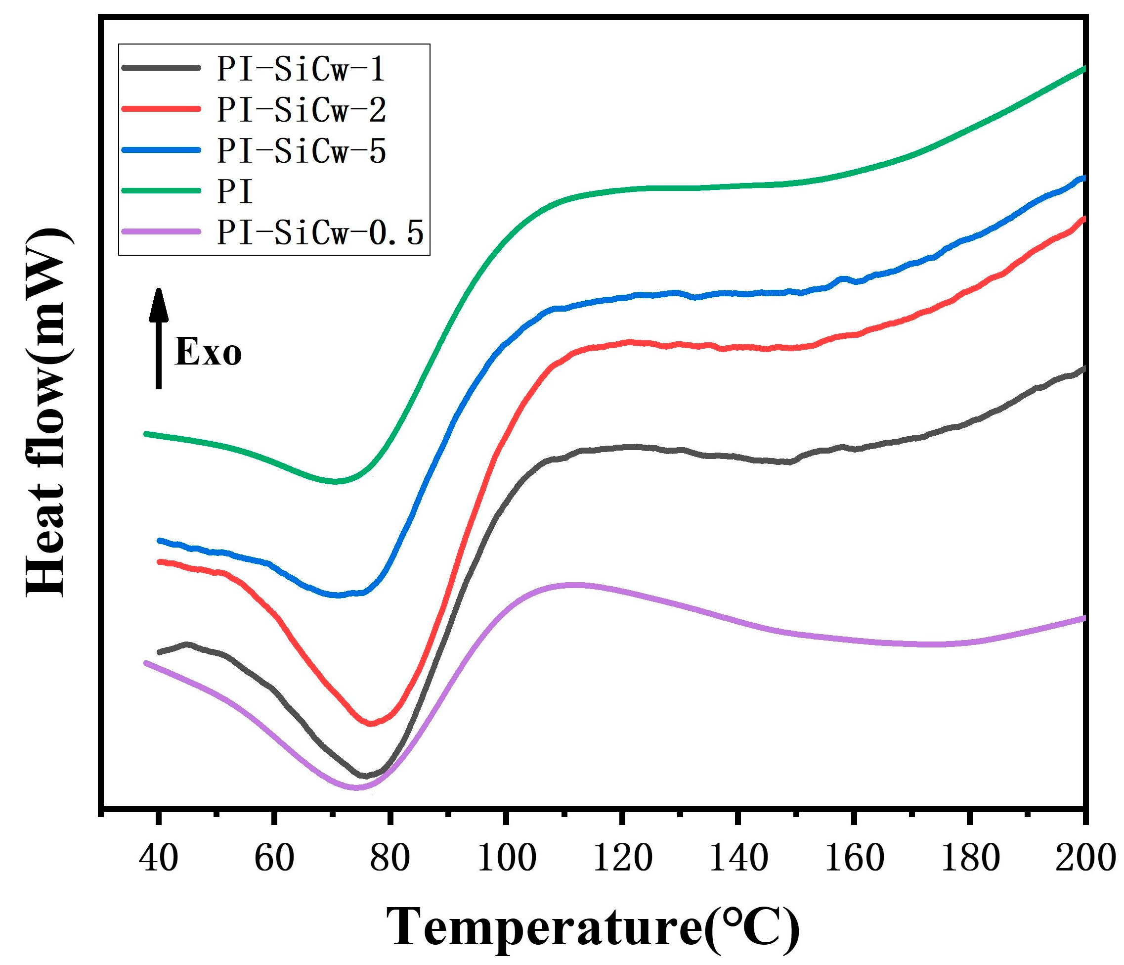
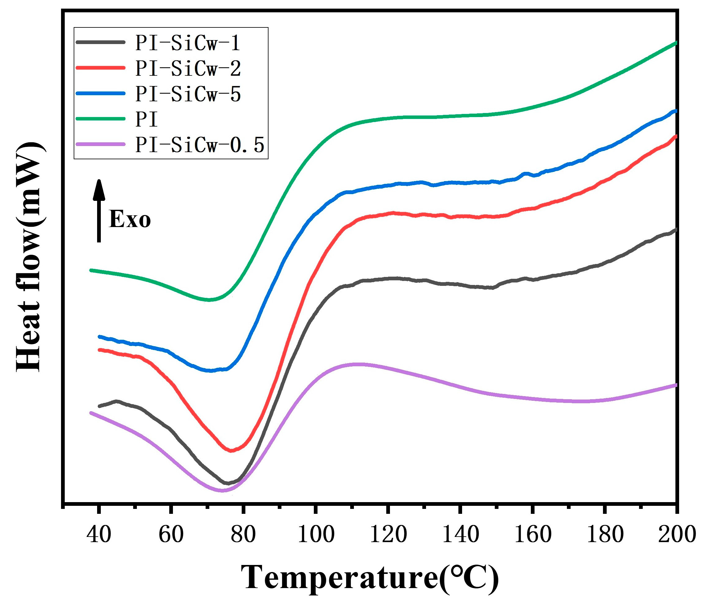
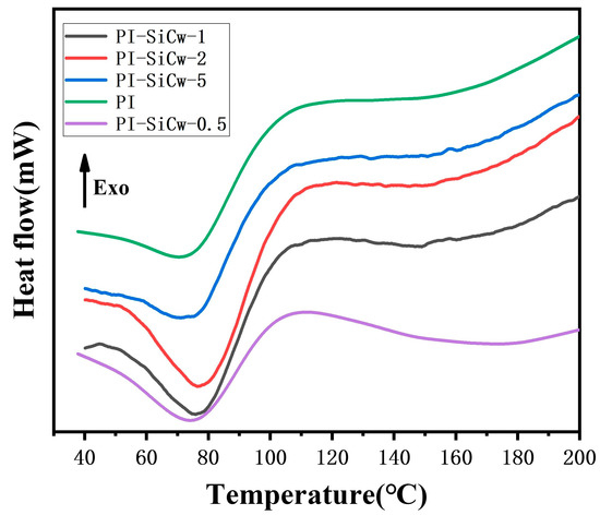
3.3.2. DSC Analysis
4. Conclusions
Author Contributions
Funding
Institutional Review Board Statement
Informed Consent Statement
Data Availability Statement
Acknowledgments
Conflicts of Interest
References
- Devi, C.; Gellanki, J.; Pettersson, H.; Kumar, S. High sodium ionic conductivity in PEO/PVP solid polymer electrolytes with InAs nanowire fillers. Sci. Rep. 2021, 11, 20180. [Google Scholar] [CrossRef] [PubMed]
- Azmy, E.; Al-Kholy, M.R.Z.; Fattouh, M.; Kenawi, L.M.M.; Helal, M.A. Impact of Nanoparticles Additions on the Strength of Dental Composite Resin. Int. J. Biomater. 2022, 2022, 1165431. [Google Scholar] [CrossRef] [PubMed]
- Zafeiropoulou, K.; Kostagiannakopoulou, C.; Geitona, A.; Tsilimigkra, X.; Sotiriadis, G.; Kostopoulos, V. On the Multi-Functional Behavior of Graphene-Based Nano-Reinforced Polymers. Materials 2021, 14, 5828. [Google Scholar] [CrossRef] [PubMed]
- Madenci, E.; Özkılıç, Y.O.; Aksoylu, C.; Asyraf, M.R.; Syamsir, A.; Supian, A.B.; Mamaev, N. Buckling Analysis of CNT-Reinforced Polymer Composite Beam Using Experimental and Analytical Methods. Materials 2023, 16, 614. [Google Scholar] [CrossRef]
- Alsmairat, O.; Barakat, N. Characterizing the Effect of Adding Boron Nitride Nanotubes on the Mechanical Properties of Electrospun Polymer Nanocomposite Microfibers Mesh. Materials 2022, 15, 1634. [Google Scholar] [CrossRef]
- Zhang, S.; Lv, Y.; Li, J.; Liang, S.; Liu, Z. Mechanical enhancement of zirconia reinforced polyimine nanocomposites. J. Appl. Polym. Sci. 2017, 134, 45183. [Google Scholar] [CrossRef]
- Du, S.; Yan, H.; Liu, Z.; Tang, A.; Li, Y. A robust and transparent nanosilica-filled silicone rubber coating with synergistically enhanced mechanical properties and barrier performance. J. Mater. Sci. Technol. 2023, 151, 219–226. [Google Scholar] [CrossRef]
- Li, A.; Wang, J.; He, W.; Wei, Z.; Wang, X.; He, Q. Enhancing mechanical property and thermal conductivity of fluororubber by the synergistic effect of CNT and BN. Diam. Relat. Mater. 2023, 134, 109790. [Google Scholar] [CrossRef]
- Mekonen, S.W.; Palani, S.; Ravi, B.; Atnaw, S.M.; Desta, M.; Regassa, Y. Mechanical Properties of Bone Particulate and E-Glass Fiber Reinforced Hybrid Polymer Composite. Adv. Mater. Sci. Eng. 2022, 2022, 5902616. [Google Scholar] [CrossRef]
- Wang, M.; Miao, R.; He, J.; Xu, X.; Liu, J. Silicon Carbide whiskers reinforced polymer-based adhesive for joining C/C composites. Mater. Des. 2016, 99, 293–302. [Google Scholar] [CrossRef]
- Jiang, X.; Ai, Y.; Han, Z.; You, Y.; Luo, H.; Cui, J.; Wei, F.; Fu, J.; He, Q.; Cheng, J.; et al. Block Copolymer-Directed Synthesis of Conjugated Polyimine Nanospheres with Multichambered Mesopores. Macromol. Chem. Phys. 2020, 221, 2000061. [Google Scholar] [CrossRef]
- Kardelis, V.; Chadwick, R.C.; Adronov, A. Click Functionalization of a Dibenzocyclooctyne-Containing Conjugated Polyimine. Angew. Chem. 2016, 128, 957–961. [Google Scholar] [CrossRef]
- Lee, T.S.; Kim, J.; Kumar, J.; Tripathy, S. Synthesis and self-assembled multilayer thin film formation of water-soluble conjugated aromatic polyimines. Macromol. Chem. Phys. 1998, 199, 1445–1450. [Google Scholar] [CrossRef]
- Akbarzadeh, E.; Shockravi, A.; Vatanpour, V. Efficient thiazole-based polyimines as selective and reversible chemical absorbents for CO2 capture and separation: Synthesis, characterization and application. Polymer 2019, 182, 121840. [Google Scholar] [CrossRef]
- Li, Z.; Zhang, H.; Zhu, Y.; Luo, B.; He, J.; Lan, F.; Wu, Y. Rapid synthesis of magnetic polyimine nanospheres at room temperature for enrichment of endogenous C-peptide. Colloid Interface Sci. Commun. 2021, 42, 100390. [Google Scholar] [CrossRef]
- Mo, R.; Hu, J.; Huang, H.; Sheng, X.; Zhang, X. Tunable, self-healing and corrosion inhibiting dynamic epoxy–polyimine network built by post-crosslinking. J. Mater. Chem. A 2019, 7, 3031–3038. [Google Scholar] [CrossRef]
- Zhao, S.; Abu-Omar, M.M. Recyclable and Malleable Epoxy Thermoset Bearing Aromatic Imine Bonds. Macromolecules 2018, 51, 9816–9824. [Google Scholar] [CrossRef]
- Li, P.; Hao, C.; Wang, H.; He, T.; Shu, T.; Li, C.; Yu, L.; Yan, N. Eco-friendly recyclable high performance ramie yarn reinforced polyimine vitrimer composites. Chem. Eng. J. 2023, 457, 141341. [Google Scholar] [CrossRef]
- Lyu, M.; Liu, Y.; Yang, X.; Liang, D.; Wang, Y.; Liang, X.; Hu, Y.; Liang, L.; Zhang, C. Vanillin-based liquid crystalline polyimine thermosets and their composites for recyclable thermal management application. Compos. Part B Eng. 2023, 250, 110462. [Google Scholar] [CrossRef]
- Aarnæs, T.S.; Ringdalen, E.; Tangstad, M. Silicon carbide formation from methane and silicon monoxide. Sci. Rep. 2020, 10, 21831. [Google Scholar] [CrossRef]
- Seeger, T.; Kohler-Redlich, P.; Rühle, M. Synthesis of Nanometer-Sized SiC Whiskers in the Arc-Discharge. Adv. Mater. 2000, 12, 279–282. [Google Scholar] [CrossRef]
- Cai, Y.; Yue, Z.; Jiang, Q.; Xu, S. Modified silicon carbide whisker reinforced polybenzimidazole used for high temperature proton exchange membrane. J. Energy Chem. 2018, 27, 820–825. [Google Scholar] [CrossRef]
- Hua, Y.; Zhang, L.; Cheng, L.; Wang, J. Silicon carbide whisker reinforced silicon carbide composites by chemical vapor infiltration. Mater. Sci. Eng. A 2006, 428, 346–350. [Google Scholar] [CrossRef]
- Lv, X.; Ye, F.; Cheng, L.; Zhang, L. Novel processing strategy and challenges on whisker-reinforced ceramic matrix composites. Compos. Part A Appl. Sci. Manuf. 2022, 158, 106974. [Google Scholar] [CrossRef]
- Taynton, P.; Yu, K.; Shoemaker, R.K.; Jin, Y.; Qi, H.J.; Zhang, W. Heat- or Water-Driven Malleability in a Highly Recyclable Covalent Network Polymer. Adv. Mater. 2014, 26, 3938–3942. [Google Scholar] [CrossRef] [PubMed]
- Song, B.; Meng, L.; Huang, Y. Preparation and characterization of (POSS/TiO2)n multi-coatings based on PBO fiber surface for improvement of UV resistance. Fibers Polym. 2013, 14, 375–381. [Google Scholar] [CrossRef]
- Fu, H.; Zhu, W.; Xu, Z.; Chen, P.; Yan, C.; Zhou, K.; Shi, Y. Effect of silicon addition on the microstructure, mechanical and thermal properties of Cf/SiC composite prepared via selective laser sintering. J. Alloys Compd. 2019, 792, 1045–1053. [Google Scholar] [CrossRef]
- Kitey, R.; Tippur, H.V. Role of particle size and filler-matrix adhesion on dynamic fracture of glass-filled epoxy. I. Macromeasurements. Acta Mater. 2005, 53, 1153–1165. [Google Scholar] [CrossRef]
- Li, S.; Zhang, Y.; Han, J.; Zhou, Y. Zirconia reinforced reaction bonded silicon carbide composites: Microstructure and mechanical properties. Int. J. Refract. Met. Hard Mater. 2012, 35, 257–261. [Google Scholar] [CrossRef]
- Launey, M.E.; Ritchie, R.O. On the Fracture Toughness of Advanced Materials. Adv. Mater. 2009, 21, 2103–2110. [Google Scholar] [CrossRef]
- Juan, L. Simultaneous Improvement in the Tensile and Impact Strength of Polypropylene Reinforced by Graphene. J. Nanomater. 2020, 2020, 7840802. [Google Scholar] [CrossRef]
- Liang, J.-Z.; Zou, S.-Y.; Du, Q. Impact and flexural properties of polypropylene composites reinforced with multi-walled carbon nanotubes. Polym. Test. 2018, 70, 434–440. [Google Scholar] [CrossRef]
- Liu, X.; Zhang, E.; Liu, J.; Qin, J.; Wu, M.; Yang, C.; Liang, L. Self-healing, reprocessable, degradable, thermadapt shape memory multifunctional polymers based on dynamic imine bonds and their application in nondestructively recyclable carbon fiber composites. Chem. Eng. J. 2023, 454, 139992. [Google Scholar] [CrossRef]
- Schoustra, S.K.; Groeneveld, T.; Smulders, M.M.J. The effect of polarity on the molecular exchange dynamics in imine-based covalent adaptable networks. Polym. Chem. 2021, 12, 1635–1642. [Google Scholar] [CrossRef]
- Zhang, S.; Xiong, Z.; Zhang, J.; Zhang, X.; Chen, Y.; Chen, Y. Mechanical properties and thermal analysis of graphene nanoplatelets reinforced polyimine composites. e-Polymers 2022, 22, 696–704. [Google Scholar] [CrossRef]
- Mu, X.; Cai, W.; Xiao, Y.; He, L.; Zhou, X.; Wang, H.-J.; Guo, W.; Xing, W.; Song, L. A novel strategy to prepare COFs based BN co-doped carbon nanosheet for enhancing mechanical performance and fire safety to PVA nanocomposite. Compos. Part B Eng. 2020, 198, 108218. [Google Scholar] [CrossRef]
- Tsioptsias, C. Thermochemical Transition in Non-Hydrogen-Bonded Polymers and Theory of Latent Decomposition. Polymers 2022, 14, 5054. [Google Scholar] [CrossRef]
- Xiao, C.; Chen, L.; Tang, Y.; Zhang, X.; Zheng, K.; Tian, X. Enhanced thermal conductivity of silicon carbide nanowires (SiCw)/epoxy resin composite with segregated structure. Compos. Part A Appl. Sci. Manuf. 2019, 116, 98–105. [Google Scholar] [CrossRef]
- Zhou, W.; Chen, Q.; Sui, X.; Dong, L.; Wang, Z. Enhanced thermal conductivity and dielectric properties of Al/β-SiCw/PVDF composites. Compos. Part A Appl. Sci. Manuf. 2015, 71, 184–191. [Google Scholar] [CrossRef]










| Tensile Strength (MPa) | Impact Strength (KJ/m2) | Bending Strength (MPa) | Rockwell Hardness (HRR) | Tensile Elongation at Break (%) | Bending Elongation at Break (%) | |
|---|---|---|---|---|---|---|
| PI | 70.56 ± 1.63 | 9.66 ± 0.12 | 78.35 ± 1.91 | 125.55 ± 0.75 | 15.52 ± 0.79 | 3.49 ± 0.48 |
| PI-SiCw-0.5 | 85.55 ± 1.15 | 14.37 ± 1.71 | 104.45 ± 4.50 | 119.21 ± 0.54 | 21.61 ± 1.31 | 8.64 ± 0.79 |
| PI-SiCw-1 | 89.05 ± 2.35 | 16.65 ± 3.55 | 85.25 ± 1.63 | 120.01 ± 0.61 | 19.38 ± 0.17 | 6.50 ± 0.16 |
| PI-SiCw-2 | 78.60 ± 4.30 | 24.52 ± 0.73 | 82.05 ± 5.59 | 120.03 ± 0.55 | 18.36 ± 1.21 | 5.61 ± 0.18 |
| PI-SiCw-5 | 57.18 ± 5.72 | 14.76 ± 0.74 | 62.65 ± 7.57 | 119.78 ± 0.54 | 17.37 ± 1.03 | 3.77 ± 0.25 |
| Tmax (°C) | T50% (°C) | |
|---|---|---|
| PI | 453.50 | 594.85 |
| PI-SiCw-0.5 | 454.47 | 641.47 |
| PI-SiCw-1 | 453.00 | 649.40 |
| PI-SiCw-2 | 453.46 | 688.30 |
| PI-SiCw-5 | 453.40 | 750.90 |
Disclaimer/Publisher’s Note: The statements, opinions and data contained in all publications are solely those of the individual author(s) and contributor(s) and not of MDPI and/or the editor(s). MDPI and/or the editor(s) disclaim responsibility for any injury to people or property resulting from any ideas, methods, instructions or products referred to in the content. |
© 2023 by the authors. Licensee MDPI, Basel, Switzerland. This article is an open access article distributed under the terms and conditions of the Creative Commons Attribution (CC BY) license (https://creativecommons.org/licenses/by/4.0/).
Share and Cite
Ji, S.; Zhang, S.; Wang, Z.; Li, C.; Cao, W.; Zhu, Y.; He, C.; Chen, Y. High-Impact Performance and Thermal Properties of Polyimine Nanocomposites Reinforced by Silicon Carbide Nano-Whiskers. Materials 2023, 16, 4587. https://doi.org/10.3390/ma16134587
Ji S, Zhang S, Wang Z, Li C, Cao W, Zhu Y, He C, Chen Y. High-Impact Performance and Thermal Properties of Polyimine Nanocomposites Reinforced by Silicon Carbide Nano-Whiskers. Materials. 2023; 16(13):4587. https://doi.org/10.3390/ma16134587
Chicago/Turabian StyleJi, Shiyu, Si Zhang, Zifan Wang, Chaoyue Li, Wenjing Cao, Yongmei Zhu, Chaoshuai He, and Yun Chen. 2023. "High-Impact Performance and Thermal Properties of Polyimine Nanocomposites Reinforced by Silicon Carbide Nano-Whiskers" Materials 16, no. 13: 4587. https://doi.org/10.3390/ma16134587
APA StyleJi, S., Zhang, S., Wang, Z., Li, C., Cao, W., Zhu, Y., He, C., & Chen, Y. (2023). High-Impact Performance and Thermal Properties of Polyimine Nanocomposites Reinforced by Silicon Carbide Nano-Whiskers. Materials, 16(13), 4587. https://doi.org/10.3390/ma16134587
