Study on Physical Properties of Desulfurized Electrolytic Manganese Residue Cement and Properties of Mortar
Abstract
1. Introduction
2. Materials and Methods
2.1. Raw Materials
2.1.1. Cement
2.1.2. Sand for Test
2.1.3. DMR
2.2. Preparation of Cement Mortar
2.3. Detection Method
3. Results and Discussion
3.1. Effect of GDMR on Physical Properties of Cement
3.1.1. Fluidity and Normal Consistency
- (1)
- GDMR fineness has little effect on the water requirement for normal consistency of cement, but has a great effect on fluidity (Figure 4a). With the increase in the specific surface area of GDMR, its fluidity first increases slightly and then decreases obviously. This is mainly due to the filling effect of GDMR in cement mortar, which releases some free water and increases its fluidity. With the further increase in the specific surface area of GDMR, the released free water is absorbed by the finer GDMR particles, which ultimately leads to the decrease in mobility [30].
- (2)
- As the content of GDMR increases gradually, the water requirement for normal consistency of cement does not change, showing a slow downward trend, and having little influence on fluidity (Figure 4b).
- (3)
- The influence of the GDMR on water requirement for normal consistency and fluidity of OPC and PPC cement is just the opposite. For PPC, GDMR can improve its fluidity and reduce its water requirement for normal consistency. However, for OPC, GDMR will reduce its fluidity and increase its water requirement for normal consistency. The fluidity and water requirement for normal consistency of two kinds of cement mixed with GDMR are basically the same, which shows that GDMR can regulate the fluidity and the water requirement for normal consistency of cement.
3.1.2. Setting Time
- (1)
- With the increase in GDMR specific surface area, the initial setting time and final setting time of cement are prolonged gradually. Compared with the final setting time, GDMR fineness has a more significant influence on the initial setting time of cement. Moreover, with the increase in GDMR fineness, the trend of the increasing cement setting time ratio decreases.
- (2)
- With the increase in GDMR content, the initial setting time and final setting time of cement are prolonged gradually, and the setting time ratio is also increased gradually. When the content of DMR is more than 20%, the setting time of cement is prolonged significantly. Compared with the final setting time, the influence of GDMR content on the initial setting time of cement is more significant.
- (3)
- The GDMR can prolong the setting time of the two kinds of cement significantly. Compared with the final setting time, the influence of GDMR on the initial setting time of the two kinds of cement is more significant.
3.2. Effect of GDMR on Mechanical Properties of Cement Mortar
3.2.1. Strength Activity Index
- (1)
- Fineness and strength activity index
- (2)
- Content and Strength Activity Index
3.2.2. Compressive Strength
- (1)
- As can be seen from Figure 7a, with the gradual increase in fineness of GDMR, the compressive strength of cement mortar at all ages shows an upward trend and has a significant influence on the compressive strength at later ages. With the increase in specific surface area of desulfurized manganese slag, it will have a dense filling effect and increase its activity at the same time. Therefore, with the gradual increase in fineness of desulfurized manganese slag, its mechanical properties will be improved to a certain extent. Compared with the compressive strength, the fineness of GDMR has little influence on the bending strength of cement mortar. Comparing the mortar strength of OPC with that of GDMR cement, the compressive strength of GDMR cement at 3d, 7 d, 28 d, and 90 d is lower than that of OPC at 12.8 MPa, 16.5 Mpa, 17.2 Mpa, and 17.6 MPa, respectively. Under the condition that the specific surface area of powder is basically the same, this proves that the addition of GDMR will significantly reduce the mortar strength of cement, especially the mortar strength at an early age.
- (2)
- As can be seen from Figure 7b, with the increase in the content of GDMR, the compressive strength of cement mortar decreased by 4.2%, 16%, and 33.1% at 3 d; 8%, 17.1%, and 31.3% at 7 d; 4.7%, 14.8%, and 23.3% at 28 d; and 8%, 11.7%, and 18.4% in 90 d, respectively. It can be seen that the increase in dosage has a significant effect on the compressive strength of cement mortar at an early age (3 d, 7 d). When the content of GDMR is more than 10%, the compressive strength of cement mortar decreases obviously. Comparing the compressive strength of OPC and GDMR cement at different ages, the compressive strength of cement mortar at an early age (3 d, 7 d) is basically the same as that of OPC when the content of GDMR is 20%. When the content of GDMR is less than 20%, the compressive strength of cement mortar at early age (3 d, 7 d) is slightly higher than that of OPC, while the strength of 28 d and 90 d mortar is lower than that of OPC, with the difference of 7% and 8.6%, respectively. Due to the increasing content of GDMR, the amount of cement decreases, the hydration products gradually decrease, the Ca(OH)2 generated by cement hydration decreases, and the excitation effect on GDMR is relatively weakened, resulting in a decrease in strength [31].
- (3)
- As can be seen from Figure 8, the influence of GDMR on the compressive strength of OPC mortar at various ages is much higher than that of PPC.
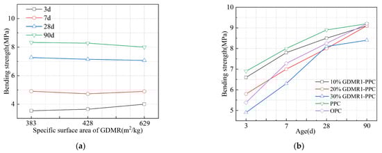
3.2.3. Bending Strength
- (1)
- Comparing the bending strength of cement mortar at different ages, it can be seen that the bending strength of cement mortar at younger age increases with the increasing fineness of GDMR, while the bending strength at later ages decreases.
- (2)
- The bending strength of cement mortar decreased by 4.3%, 16%, and 29% at 3 days; 2.5%, 12.5%, and 21.3% at 7 days; 4.5%, 10.1%, and 9% at 28 days; and 1.1%, 1.1%, and 8.7% at 90 days with the increase in the content of DMR. It can be seen that the content of GDMR has a similar influence on bending strength and compressive strength, and both have a greater influence on early-age strength. When the content of GDMR is less than 20%, its 90-day bending strength is basically the same as that of OPC and PPC.
- (3)
- The effect of GDMR on the bending strength of PPC at different ages is almost the same.
3.3. Heavy Metal Ion Leachability
3.4. Microscopic Analysis of GDMR Cement Paste
4. Conclusions
- (1)
- GDMR can adjust the fluidity of cement and the water requirement for normal consistency. When using GDMR–cement to prepare concrete, the regulation of mineral admixture GDMR and superplasticizer on concrete workability should be fully considered in the design of concrete mix proportion. The unit water consumption and water–cement ratio should be determined according to compressive strength, and appropriate modifications should be made to give consideration to durability.
- (2)
- When the content of GDMR in cement is less than 20%, the leachable heavy metal content in cement is lower than the maximum limit value of leachable heavy metal content in clinker, but attention should be paid to the environmental impact of chromium, copper, nickel, and manganese dissolution.
- (3)
- With the increase in the specific surface area of GDMR, the initial setting time and final setting time of cement are extended by 12 min and 15 min, respectively. The cement set time ratio increased by 0.06.
- (4)
- The addition of GDMR will delay the hydration process of cement, thus reducing the strength of cement mortar, especially at early ages. When the dosage is 20%, the compressive strength of 3 d and 7 d cement decreases by 16% and 17.1%, respectively. The greater the fineness of GDMR, the smaller the reduction degree of flexural strength and compressive strength, and the higher the activity index. However, the fineness should not be too large, when it is too fine it will increase the production cost and will have an adverse effect on the cement fluidity. At the same time, the content of desulfurization manganese slag should be controlled within 20%.
Author Contributions
Funding
Institutional Review Board Statement
Informed Consent Statement
Data Availability Statement
Acknowledgments
Conflicts of Interest
References
- Liu, Z.Y. Discussion on the trend of cement output. Chin. J. Build. Mater. 2023, 482, 81–94. [Google Scholar] [CrossRef]
- Kalpokaite-Dickuviene, R.; Pitak, I.; Baltusnikas, A.; Lukosiute, S.I.; Denafas, G.; Cesniene, J. Cement substitution by sludge-biomass gasification residue: Synergy with silica fume. Constr. Build. Mater. 2022, 326, 126902. [Google Scholar] [CrossRef]
- Bao, S.H.; Zhang, Y.F.; Liu, H.; Zhang, W.J.; Zeng, K. Flexural behavior of the UHPCC containing glass powder as partial substitute of cement/silica fume. Constr. Build. Mater. 2023, 365, 130142. [Google Scholar] [CrossRef]
- Mohit, M.; Haftbaradaran, H.; Riahi, H.T. Investigating the ternary cement containing Portland cement, ceramic waste powder, and limestone. Constr. Build. Mater. 2023, 369, 130596. [Google Scholar] [CrossRef]
- Ruviaro, A.S.; Lima, G.T.D.; Silvestro, L.; Barraza, M.T.; Rocha, J.C.; de Brito, J.; Gleize, P.J.P.; Pelisser, F. Characterization and investigation of the use of oat husk ash as supplementary cementitious material as partial replacement of Portland cement: Analysis of fresh and hardened properties and environmental assessment. Constr. Build. Mater. 2023, 363, 129762. [Google Scholar] [CrossRef]
- Patel, D.; Tiwari, R.P.; Shrivastava, R.; Yadav, R.K. Effective utilization of waste glass powder as the substitution of cement in making paste and mortar. Constr. Build. Mater. 2019, 199, 406–415. [Google Scholar] [CrossRef]
- Zhao, Z.F.; Benzerzour, M.; Abriak, N.E.; Damidot, D.; Courard, L.; Wang, D.X. Use of uncontaminated marine sediments in mortar and concrete by partial substitution of cement. Cem. Concr. Comp. 2018, 93, 155–162. [Google Scholar] [CrossRef]
- Chen, X.; Chen, H.M.; Chen, Q.; La, A.S.; Chen, J. Effect of partial substitution of cement with Dolomite powder on Glass-Fiber-Reinforced mortar. Constr. Build. Mater. 2022, 344, 128201. [Google Scholar] [CrossRef]
- Ozkan, S.; Ceylan, H. The effects on mechanical properties of sustainable use of waste andesite dust as a partial substitution of cement in cementitious composites. J. Build. Eng. 2022, 58, 104959. [Google Scholar] [CrossRef]
- He, D.J.; Shu, J.C.; Zeng, X.F.; Wei, Y.F.; Chen, M.J.; Tan, D.Y.; Liang, Q. Synergistic solidification/stabilization of electrolytic manganese residue and carbide slag. Sci. Total Environ. 2022, 810, 152175. [Google Scholar] [CrossRef]
- Li, J.; Sun, P.; Li, J.X.; Lv, Y.; Ye, H.P.; Shao, L.; Du, D.Y. Synthesis of electrolytic manganese residue-fly ash based geopolymers with high compressive strength. Constr. Build. Mater. 2020, 248, 118489. [Google Scholar] [CrossRef]
- He, D.J.; Shu, J.C.; Wang, R.; Chen, M.J.; Wang, R.; Gao, Y.S.; Liu, R.L.; Liu, Z.H.; Xu, Z.H.; Tan, D.Y.; et al. A critical review on approaches for electrolytic manganese residue treatment and disposal technology: Reduction, pretreatment, and reuse. J. Hazard. Mater. 2021, 418, 126235. [Google Scholar] [CrossRef] [PubMed]
- Zhou, Y.X. Reusing electrolytic manganese residue as an activator: The effect of calcination on its mineralogy and activity. Constr. Build. Mater. 2021, 294, 123533. [Google Scholar] [CrossRef]
- Wang, D.Q.; Wang, Q.; Xue, J.F. Reuse of hazardous electrolytic manganese residue: Detailed leaching characterization and novel application as a cementitious material. Resour. Conserv. Recycl. 2019, 154, 104645. [Google Scholar] [CrossRef]
- Zheng, F.; Zhu, H.; Luo, T.; Wang, H.J.; Hou, H.B. Pure water leaching soluble manganese from electrolytic manganese residue: Leaching kinetics model analysis and characterization. J. Environ. Chem. Eng. 2020, 8, 103916. [Google Scholar] [CrossRef]
- Shu, J.C.; Cai, L.H.; Zhao, J.J.; Feng, H.; Chen, M.J.; Zhang, X.R.; Wu, H.P.; Yang, Y.; Liu, R.L. A low cost of phosphate-based binder for Mn2+ and NH4+-N simultaneous stabilization in electrolytic manganese residue. Ecotoxicol. Environ. Saf. 2020, 205, 111317. [Google Scholar] [CrossRef]
- Pang, L.; Wang, D.Q.; Wang, H.; An, M.Z.; Wang, Q. Occurrence and leaching behaviors of heavy-metal elements in metallurgical slags. Constr. Build. Mater. 2022, 330, 127268. [Google Scholar] [CrossRef]
- Lan, J.R.; Dong, Y.Q.; Sun, Y.; Fen, L.; Zhou, M.; Hou, H.B.; Du, D.Y. A novel method for solidification/stabilization of Cd(II), Hg(II), Cu(II), and Zn(II) by activated electrolytic manganese slag. J. Hazard. Mater. 2021, 409, 124933. [Google Scholar] [CrossRef]
- Du, B.; Zhou, C.B.; Dan, Z.G.; Luan, Z.K.; Duan, N. Preparation and characteristics of steam-autoclaved bricks produced from electrolytic manganese solid waste. Constr. Build. Mater. 2014, 50, 291–299. [Google Scholar] [CrossRef]
- He, W.L.; Li, R.; Zhang, Y.; Nie, D.P. Synergistic use of electrolytic manganese residue and barium slag to prepare belite- sulphoaluminate cement study. Constr. Build. Mater. 2022, 326, 126672. [Google Scholar] [CrossRef]
- Hou, P.K.; Qian, J.S.; Deng, C. Production of quasi-sulfoaluminate cementitious materials with electrolytic manganese residue. Cem. Concr. Comp. 2012, 34, 248–254. [Google Scholar] [CrossRef]
- Lan, J.R.; Sun, Y.; Huang, P.; Du, Y.G.; Zhan, W.; Zhang, T.C.; Du, D.Y. Using Electrolytic Manganese Residue to prepare novel nanocomposite catalysts for efficient degradation of Azo Dyes in Fenton-like processes. Chemosphere 2020, 252, 126487. [Google Scholar] [CrossRef] [PubMed]
- Tang, B.W.; Gao, S.; Wang, Y.G.; Liu, X.M.; Zhang, N. Pore structure analysis of electrolytic manganese residue based permeable brick by using industrial CT. Constr. Build. Mater. 2019, 208, 697–709. [Google Scholar] [CrossRef]
- Wang, Y.G.; Gao, S.; Liu, X.M.; Tang, B.; Mukiza, E.M.L.; Zhang, N. Preparation of non-sintered permeable bricks using elec-trolytic manganese residue: Environmental and NH3-N recovery benefits. J. Hazard. Mater. 2019, 378, 120768. [Google Scholar] [CrossRef] [PubMed]
- Li, J.; Li, J.X.; Wei, H.; Yang, X.D.; Benoit, G.; Jiao, X.K. Alkaline-thermal activated electrolytic manganese residue-based ge-opolymers for efficient immobilization of heavy metals. Constr. Build. Mater. 2021, 298, 123853. [Google Scholar] [CrossRef]
- Li, J.; Lv, Y.; Jiao, X.K.; Sun, P.; Li, J.X.; Wuri, L.; Zhang, T.C. Electrolytic manganese residue based autoclaved bricks with Ca(OH)(2) and thermal-mechanical activated K-feldspar additions. Constr. Build. Mater. 2020, 230, 116848. [Google Scholar] [CrossRef]
- Zhang, Y.L.; Liu, X.M.; Xu, Y.T.; Wang, Y.G. Preparation of road base material by utilizing electrolytic manganese residue based on Si-Al structure: Mechanical properties and Mn2+ stabilization/solidification characterization. J. Hazard. Mater. 2020, 390, 122188. [Google Scholar] [CrossRef]
- Zhang, Y.L.; Liu, X.M.; Xu, Y.T.; Tang, B.W.; Wang, Y.G.; Mukiza, E. Synergic effects of electrolytic manganese residue-red mud-carbide slag on the road base strength and durability properties. Constr. Build. Mater. 2019, 220, 364–374. [Google Scholar] [CrossRef]
- Wang, D.Q.; Fang, J.G.; Wang, Q.; Liu, Y.J. Utilizing desulphurized electrolytic-manganese residue as a mineral admixture: A feasibility study. Cem. Concr. Compos. 2022, 134, 104822. [Google Scholar] [CrossRef]
- Nasir, M.; Johari, M.A.M.; Yusuf, M.O.; Maslehuddin, M.; Al-Harthi, M.A. Effect of alkaline activators on the fresh properties and strength of silico-manganese fume-slag activated mortar. Adv. Concr. Constr. 2022, 10, 403–416. [Google Scholar] [CrossRef]
- Nasir, M.; Johari, M.A.M.; Yusuf, M.O.; Maslehuddin, M.; Al-Harthi, M.A. Synthesis of Alkali-Activated Binary Blended Silico-Manganese Fume and Ground Blast Furnace Slag Mortar. J. Concr. Technol. 2019, 17, 728–735. [Google Scholar] [CrossRef]
- Ni, T.D.; Ma, W.B.; Yang, Y.; Chen, G.H.; Zhang, R.Z. Compressive strength and fluidity of cement-sludge incineration composite cementitious materials. J. Build. Mater. 2022, 25, 677–685. [Google Scholar] [CrossRef]












| Sample | 45 μm Fineness (%) | Standard Consistency (%) | Initial Setting Time (min) | Final Setting Time (min) | Bending Strength (MPa) | Compressive Strength (MPa) | ||
|---|---|---|---|---|---|---|---|---|
| 3d | 28 d | 3d | 28 d | |||||
| OPC | 0.7 | 28.4 | 165 | 260 | 5.4 | 8.3 | 27.6 | 56.1 |
| PPC | 0.6 | 30 | 142 | 202 | 6.9 | 8.9 | 33.2 | 55.3 |
| Sample | SiO2 | CaO | Al2O3 | MnO | Fe2O3 | MgO | SO3 | Na2O | K2O |
|---|---|---|---|---|---|---|---|---|---|
| OPC | 22.35 | 59.22 | 6.49 | - | 2.73 | 4.01 | 2.22 | - | - |
| PPC | 22.06 | 59.76 | 6.25 | - | 2.81 | 3.98 | 2.31 | - | - |
| DMR | 40.22 | 31.14 | 7.98 | 6.63 | 6.41 | 1.89 | 1.36 | 1.31 | 1.25 |
| Sample | Cement | Mcement/MDMR | DMR Specific Surface Area (m2/kg) | 45 μm Sieve Allowance (%) | 80 μm Sieve Allowance (%) |
|---|---|---|---|---|---|
| PPC | PPC | 100:0 | / | / | / |
| 30%GDMR1-OPC | OPC | 70:30 | 383 | 16.5 | 4.2 |
| 30%GDMR2-OPC | OPC | 70:30 | 428 | 15.8 | 3.6 |
| 30%GDMR3-OPC | OPC | 70:30 | 629 | 2.3 | 1.6 |
| OPC | OPC | 100:0 | / | / | / |
| 10%GDMR1-PPC | PPC | 90:10 | 383 | 16.5 | 4.2 |
| 20%GDMR1-PPC | PPC | 80:20 | 383 | 16.5 | 4.2 |
| 30%GDMR1-PPC | PPC | 70:30 | 383 | 16.5 | 4.2 |
| Sample | Specific Surface Area of GDMR (m2/kg) | Initial Setting Time (min) | Final Setting Time (min) | Initial Setting Time Ratio | Final Setting Time Ratio |
|---|---|---|---|---|---|
| PPC | - | 165 | 260 | 1.00 | 1.00 |
| 30%GDMR1-OPC | 383 | 220 | 305 | 1.33 | 1.17 |
| 30%GDMR2-OPC | 428 | 228 | 314 | 1.38 | 1.21 |
| 30%GDMR3-OPC | 629 | 232 | 320 | 1.40 | 1.23 |
| OPC | - | 142 | 202 | 1.00 | 1.00 |
| 10%GDMR1-PPC | 383 | 162 | 217 | 1.14 | 1.07 |
| 20%GDMR1-PPC | 383 | 175 | 230 | 1.23 | 1.14 |
| 30%GDMR1-PPC | 383 | 185 | 255 | 1.30 | 1.26 |
| Sample | Arsenic (As) | Lead (Pb) | Cadmium (Cd) | Chromium (Cr) | Copper (Cu) | Nickel (Ni) | Zinc (Zn) | Manganese (Mn) |
|---|---|---|---|---|---|---|---|---|
| PPC | 0.0004 | <0.001 | <0.001 | 0.009 | 0.005 | 0.015 | 0.127 | 0.46 |
| 10%GDMR1-PPC | 0.0010 | 0.003 | <0.001 | 0.044 | 0.050 | 0.116 | 0.167 | 0.86 |
| 20%GDMR1-PPC | 0.0010 | 0.002 | <0.001 | 0.030 | 0.034 | 0.122 | 0.148 | 1.00 |
| 30%GDMR1-PPC | 0.0009 | 0.001 | <0.001 | 0.015 | 0.017 | 0.127 | 0.128 | 1.12 |
| Limits | 0.1 | 0.3 | 0.03 | 0.2 | 1 | 0.2 | 1 | 1 |
Disclaimer/Publisher’s Note: The statements, opinions and data contained in all publications are solely those of the individual author(s) and contributor(s) and not of MDPI and/or the editor(s). MDPI and/or the editor(s) disclaim responsibility for any injury to people or property resulting from any ideas, methods, instructions or products referred to in the content. |
© 2023 by the authors. Licensee MDPI, Basel, Switzerland. This article is an open access article distributed under the terms and conditions of the Creative Commons Attribution (CC BY) license (https://creativecommons.org/licenses/by/4.0/).
Share and Cite
Chen, S.; Wang, F.; Ma, L.; Che, J. Study on Physical Properties of Desulfurized Electrolytic Manganese Residue Cement and Properties of Mortar. Materials 2023, 16, 4035. https://doi.org/10.3390/ma16114035
Chen S, Wang F, Ma L, Che J. Study on Physical Properties of Desulfurized Electrolytic Manganese Residue Cement and Properties of Mortar. Materials. 2023; 16(11):4035. https://doi.org/10.3390/ma16114035
Chicago/Turabian StyleChen, Shichao, Fang Wang, Lihua Ma, and Jialing Che. 2023. "Study on Physical Properties of Desulfurized Electrolytic Manganese Residue Cement and Properties of Mortar" Materials 16, no. 11: 4035. https://doi.org/10.3390/ma16114035
APA StyleChen, S., Wang, F., Ma, L., & Che, J. (2023). Study on Physical Properties of Desulfurized Electrolytic Manganese Residue Cement and Properties of Mortar. Materials, 16(11), 4035. https://doi.org/10.3390/ma16114035
