Effect of Curing Conditions on the Hydration of MgO in Cement Paste Mixed with MgO Expansive Agent
Abstract
1. Introduction
2. Materials and Methods
2.1. Materials
2.2. Methods
2.2.1. Simulation of the Temperature Change Process of Mass Concrete
2.2.2. Preparation and Curing of Cement Pastes
2.2.3. Determination of the Remaining MgO Content in Cement Paste
3. Results and Discussion
3.1. Effect of Curing Temperature on MgO Hydration in Cement Paste
3.2. Effect of Curing Methods on the Hydration of MgO in Cement Paste
3.3. Effect of Cementitious System on MgO in Cement Paste
4. Conclusions
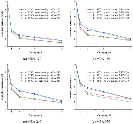
- Under variable temperature curing conditions with a peak temperature of 65 °C and 85 °C, the hydration of MgO in cement paste presented a trend that produced first fast and then slowly changed. The MgO of the cement paste mixed with highly active MEA was nearly half hydrated at the curing age of 1 d. After that, the change in the remaining content of MgO in the cement slurry slowed down significantly.
- When the peak temperature of variable temperature curing increased from 65 °C to 85 °C, it accelerated the hydration rate of MgO in the cement paste in the early stage (1–3 d), and the increase in the curing temperature led to a plateau period for the change in the MgO content in cement paste. It was observed that when there was a plateau of the MgO content change, MgO in the cement paste was nearly 70% hydrated (remaining content above 2.0 wt.%).
- When the curing temperature and the cementitious system were the same, the effect of curing methods on the hydration of MgO in the cement paste was mainly reflected in the early stage (1–3 d). With the increase in the curing age, the difference in the MgO content caused by curing methods gradually decreased. In addition, the increase in the variable curing temperature could aggravate the effect of curing methods on MgO hydration in the cement paste.
- By comparing the effects of temperature, the curing methods and the cementitious system on MgO hydration in the cement paste, it was found that temperature was the main factor affecting the hydration of MgO. The increase in the temperature could significantly promote the hydration of MgO in cement paste, under the condition of non-wet curing, compared to 65 °C variable temperature non-wet curing. The residual content of MgO in cement paste at a 85 °C variable temperature with non-wet curing ages 1 d, 3 d, 7 d and 14 d decreased by 0.50 wt.%, 0.69 wt.%, 0.76 wt.% and 0.21 wt.%, respectively; the other two had effects on the hydration of MgO, but this effect was not obvious.
Author Contributions
Funding
Institutional Review Board Statement
Informed Consent Statement
Data Availability Statement
Acknowledgments
Conflicts of Interest
References
- Kayondo, M.; Combrinck, R.; Boshoff, W.P. State-of-the-Art Review on Plastic Cracking of Concrete. Constr. Build. Mater. 2019, 225, 886–899. [Google Scholar] [CrossRef]
- Tran, N.P.; Gunasekara, C.; Law, D.W.; Houshyar, S.; Setunge, S.; Cwirzen, A. A Critical Review on Drying Shrinkage Mitigation Strategies in Cement-Based Materials. J. Build. Eng. 2021, 38, 102210. [Google Scholar] [CrossRef]
- Wu, L.M.; Farzadnia, N.; Shi, C.J.; Zhang, Z.H.; Wang, H. Autogenous Shrinkage of High Performance Concrete: A Review. Constr. Build. Mater. 2017, 149, 62–75. [Google Scholar] [CrossRef]
- Yodsudjai, W.; Wang, K.J. Chemical Shrinkage Behavior of Pastes Made with Different Types of Cements. Constr. Build. Mater. 2013, 40, 854–862. [Google Scholar] [CrossRef]
- Neville, A.M. Properties of Concrete; Longman: London, UK, 1995; Volume 4. [Google Scholar]
- Shi, X.M.; Xie, N.; Fortune, K.; Gong, J. Durability of Steel Reinforced Concrete in Chloride Environments: An Overview. Constr. Build. Mater. 2012, 30, 125–138. [Google Scholar] [CrossRef]
- Huo, X.S.; Wong, L.U. Experimental Study of Early-Age Behavior of High Performance Concrete Deck Slabs Under Different Curing Methods. Constr. Build. Mater. 2006, 20, 1049–1056. [Google Scholar] [CrossRef]
- Mo, L.; Deng, M.; Tang, M.; Al-Tabbaa, A. MgO Expansive Cement and Concrete in China: Past, Present and Future. Cem. Concr. Res. 2014, 57, 1–12. [Google Scholar] [CrossRef]
- Zhong, R.; Hou, G.P.; Qiang, S. An Improved Composite Element Method for the Simulation of Temperature Field in Massive Concrete with Embedded Cooling Pipe. Appl. Therm. Eng. 2017, 124, 1409–1417. [Google Scholar] [CrossRef]
- Bouasker, M.; Mounanga, P.; Turcry, P.; Loukili, A.; Khelidj, A. Chemical Shrinkage of Cement Pastes and Mortars at Very Early Age: Effect of Limestone Filler and Granular Inclusions. Cem. Concr. Comp. 2008, 30, 13–22. [Google Scholar] [CrossRef]
- Tertnkhajornkit, P.; Nawa, T.; Nakai, M.; Saito, T. Effect of Fly Ash on Autogenous Shrinkage. Cem. Concr. Res. 2005, 35, 473–482. [Google Scholar] [CrossRef]
- Bentz, D.P.; Geiker, M.R.; Hansen, K.K. Shrinkage-Reducing Admixtures and Early-Age Desiccation in Cement Pastes and Mortars. Cem. Concr. Res. 2001, 31, 1075–1085. [Google Scholar] [CrossRef]
- Collepardi, M.; Borsoi, A.; Collepardi, S.; Olagot, J.; Troli, R. Effects of Shrinkage Reducing Admixture in Shrinkage Compensating Concrete Under Non-Wet Curing Conditions. Cem. Concr. Comp. 2005, 27, 704–708. [Google Scholar] [CrossRef]
- Yang, G.; Wu, Y.K.; Li, H.; Gao, N.X.; Jin, M.; Hu, Z.L.; Liu, J.P. Effect of Shrinkage-Reducing Polycarboxylate Admixture on Cracking Behavior of Ultra-High Strength Mortar. Cem. Concr. Comp. 2021, 122, 104117. [Google Scholar] [CrossRef]
- Liu, J.H.; Shi, C.J.; Ma, X.W.; Khayat, K.H.; Zhang, J.; Wang, D.H. An Overview on the Effect of Internal Curing on Shrinkage of High Performance Cement-Based Materials. Constr. Build. Mater. 2017, 146, 702–712. [Google Scholar] [CrossRef]
- Masum, A.; Manzur, T. Delaying Time to Corrosion Initiation in Concrete Using Brick Aggregate as Internal Curing Medium Under Adverse Curing Conditions. Constr. Build. Mater. 2019, 228, 116772. [Google Scholar] [CrossRef]
- Xu, F.M.; Lin, X.S.; Zhou, A.N. Performance of Internal Curing Materials in High-Performance Concrete: A Review. Constr. Build. Mater. 2021, 311, 125250. [Google Scholar] [CrossRef]
- Barluenga, G.; Hernandez-Olivares, F. Cracking Control of Concretes Modified with Short AR-Glass Fibers at Early Age. Experimental Results on Standard Concrete and Scc. Cem. Concr. Res. 2007, 37, 1624–1638. [Google Scholar] [CrossRef]
- Bertelsen, I.; Ottosen, L.M.; Fischer, G. Influence of Fiber Characteristics on Plastic Shrinkage Cracking in Cement-Based Materials: A Review. Constr. Build. Mater. 2020, 230, 116769. [Google Scholar] [CrossRef]
- Fang, C.F.; Ali, M.; Xie, T.Y.; Visintin, P.; Sheikh, A.H. The Influence of Steel Fiber Properties on the Shrinkage of Ultra-High Performance Fibre Reinforced Concrete. Constr. Build. Mater. 2020, 242, 117993. [Google Scholar] [CrossRef]
- Shen, D.J.; Wen, C.Y.; Zhu, P.F.; Wu, Y.H.; Yuan, J.J. Influence of Barchip Fiber on Early-Age Autogenous Shrinkage of High Strength Concrete. Constr. Build. Mater. 2020, 256, 119223. [Google Scholar] [CrossRef]
- Konik, Z.; Malolepszy, J.; Roszczynialski, W.; Stok, A. Production of Expansive Additive to Portland Cement. J. Eur. Ceram. Soc. 2007, 27, 605–609. [Google Scholar] [CrossRef]
- Mo, L.; Deng, M.; Wang, A. Effects of Mgo-Based Expansive Additive on Compensating the Shrinkage of Cement Paste Under Non-Wet Curing Conditions. Cem. Concr. Compos. 2012, 34, 377–383. [Google Scholar] [CrossRef]
- Nagataki, S.; Gomi, H. Expansive Admixtures (Mainly Ettringite). Cem. Concr. Comp. 1998, 20, 163–170. [Google Scholar] [CrossRef]
- Lu, X.C.; Chen, B.F.; Tian, B.; Li, Y.B.; Lv, C.C.; Xiong, B.B. A New Method for Hydraulic Mass Concrete Temperature Control: Design and Experiment. Constr. Build. Mater. 2021, 302, 124167. [Google Scholar] [CrossRef]
- Zhao, C.G.; Wang, Z.Y.; Zhu, Z.Y.; Guo, Q.Y.; Wu, X.R.; Zhao, R.D. Research on Different Types of Fiber Reinforced Concrete in Recent Years: An Overview. Constr. Build. Mater. 2023, 365, 130075. [Google Scholar] [CrossRef]
- Collepardi, M. A State-of-the-Art Review on Delayed Ettringite Attack on Concrete. Cem. Concr. Comp. 2003, 25, 401–407. [Google Scholar] [CrossRef]
- Zhao, H.T.; Jiang, K.D.; Di, Y.F.; Xu, W.; Li, W.; Tian, Q.; Liu, J.P. Effects of Curing Temperature and Superabsorbent Polymers on Hydration of Early-Age Cement Paste Containing a CaO-Based Expansive Additive. Mater. Struct. 2019, 52, 108. [Google Scholar] [CrossRef]
- Mo, L.; Deng, M.; Tang, M. Effects of Calcination Condition on Expansion Property of MgO-Type Expansive Agent Used in Cement-Based Materials. Cem. Concr. Res. 2010, 40, 437–446. [Google Scholar] [CrossRef]
- Salomao, R.; Bittencourt, L.; Pandolfelli, V.C. A Novel Approach for Magnesia Hydration Assessment in Refractory Castables. Ceram. Int. 2007, 33, 803–810. [Google Scholar] [CrossRef]
- Mo, L.W.; Fang, J.W.; Hou, W.H.; Ji, X.K.; Yang, J.B.; Fan, T.T.; Wang, H.L. Synergetic Effects of Curing Temperature and Hydration Reactivity of MgO Expansive Agents on their Hydration and Expansion Behaviours in Cement Pastes. Constr. Build. Mater. 2019, 207, 206–217. [Google Scholar] [CrossRef]







| Item | Chemical Components (%) | ||||||||
|---|---|---|---|---|---|---|---|---|---|
| CaO | SiO2 | Al2O3 | Fe2O3 | MgO | SO3 | Na2O | K2O | LOSS | |
| Portland cement | 65.32 | 18.55 | 3.95 | 3.41 | 1.01 | 2.78 | 0.72 | 0.17 | 2.88 |
| Fly ash | 4.07 | 50.53 | 31.65 | 4.48 | 0.91 | 1.32 | 0.67 | 1.26 | 2.77 |
| Slag | 38.00 | 33.72 | 17.74 | 0.77 | 6.35 | 1.04 | 0.41 | 0.40 | −0.72 |
| MEA-120 | 1.89 | 3.38 | 0.54 | 0.66 | 85.23 | 0.92 | - | - | 3.12 |
| MEA-180 | 3.90 | 5.17 | 0.64 | 0.68 | 85.57 | 0.75 | - | - | 2.97 |
| MEA-240 | 1.88 | 4.07 | 0.85 | 0.78 | 90.45 | 0.03 | - | - | 1.53 |
| MEA-330 | 4.37 | 5.82 | 0.71 | 0.61 | 85.71 | 0.60 | - | - | 1.88 |
| System | Cement | Fly Ash | Slag | MEA | Water |
|---|---|---|---|---|---|
| a | 66 | 18 | 8 | 8 | 32 |
| b | 74 | 18 | - | 8 | 32 |
Disclaimer/Publisher’s Note: The statements, opinions and data contained in all publications are solely those of the individual author(s) and contributor(s) and not of MDPI and/or the editor(s). MDPI and/or the editor(s) disclaim responsibility for any injury to people or property resulting from any ideas, methods, instructions or products referred to in the content. |
© 2023 by the authors. Licensee MDPI, Basel, Switzerland. This article is an open access article distributed under the terms and conditions of the Creative Commons Attribution (CC BY) license (https://creativecommons.org/licenses/by/4.0/).
Share and Cite
Zhao, X.; Mao, Z.; Huang, X.; Luo, P.; Deng, M.; Tang, M. Effect of Curing Conditions on the Hydration of MgO in Cement Paste Mixed with MgO Expansive Agent. Materials 2023, 16, 4032. https://doi.org/10.3390/ma16114032
Zhao X, Mao Z, Huang X, Luo P, Deng M, Tang M. Effect of Curing Conditions on the Hydration of MgO in Cement Paste Mixed with MgO Expansive Agent. Materials. 2023; 16(11):4032. https://doi.org/10.3390/ma16114032
Chicago/Turabian StyleZhao, Xuefeng, Zhongyang Mao, Xiaojun Huang, Penghui Luo, Min Deng, and Mingshu Tang. 2023. "Effect of Curing Conditions on the Hydration of MgO in Cement Paste Mixed with MgO Expansive Agent" Materials 16, no. 11: 4032. https://doi.org/10.3390/ma16114032
APA StyleZhao, X., Mao, Z., Huang, X., Luo, P., Deng, M., & Tang, M. (2023). Effect of Curing Conditions on the Hydration of MgO in Cement Paste Mixed with MgO Expansive Agent. Materials, 16(11), 4032. https://doi.org/10.3390/ma16114032
