Experimental Study on Lap-Spliced Performance of High-Strength Stainless Steel Wire Mesh in Engineering Cementitious Composites
Abstract
1. Introduction
2. Test Specimens and Experimental Parameters
2.1. Materials
2.2. Specimen Design and Preparation
2.3. Test Setup and Instrumentation
3. Experimental Phenomena and Results
3.1. Failure Mode
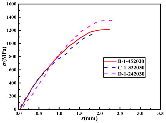
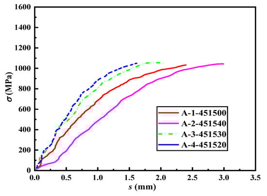
3.2. Test Results and Analysis
4. Influences on the Lap-Spliced Performance
4.1. Transverse Steel Strand and Its Spacing
4.2. Lap Length
4.3. The Diameter of Steel Strand
5. Prediction Model of Lap Strength in HSSSW-ECCs
6. Conclusions
- (1)
- Transverse steel strands in lap-spliced specimens can effectively limit the longitudinal steel strand from slipping. Within a certain range, smaller transverse steel strand spacing resulted in a smaller slip amount at the peak load;
- (2)
- Lap strength was found to be negatively correlated with the diameter of steel strands, with larger diameters resulting in smaller lap strength when other factors were kept constant;
- (3)
- A calculation formula for the lap strength of HSSSW in ECCs was proposed based on the test results and the calculation formula for the tensile strength of the interface between HSSSW and ECCs.
Author Contributions
Funding
Data Availability Statement
Acknowledgments
Conflicts of Interest
References
- Ahmed, S.F.U.; Mihashi, H. A review on durability properties of strain hardening fibre reinforced cementitious composites (SHFRCC). Cem. Concr. Compos. 2007, 29, 365–376. [Google Scholar] [CrossRef]
- Al-Quraishi, H.; Al-Farttoosi, M.; AbdulKhudhur, R. Tension Lap Splice Length of Reinforcing Bars Embedded in Reactive Powder Concrete (RPC). Structures 2019, 19, 362–368. [Google Scholar] [CrossRef]
- Al-Salloum, Y.A.; Siddiqui, N.A.; Elsanadedy, H.M.; Abadel, A.A.; Aqel, M.A. Textile-Reinforced Mortar versus FRP as Strengthening Material for Seismically Deficient RC Beam-Column Joints. J. Compos. Constr. 2011, 15, 920–933. [Google Scholar] [CrossRef]
- Li, V.C.; Leung, C.K.Y. Steady-state and multiple cracking of short random fiber composites. J. Eng. Mech.-ASCE 1992, 118, 2246–2264. [Google Scholar] [CrossRef]
- Chen, J.X.; Fang, Z.; Chen, X.; Jiang, R.N. Experimental study on lap behavior of CFRP indented bars in UHPC. Constr. Build. Mater. 2022, 344, 127959. [Google Scholar] [CrossRef]
- Choi, Y.C.; Cho, K.H.; Bae, B.I.; Choi, H.K. Experimental study on the performance of tensile lap-spliced GFRP rebars in concrete beam. Mag. Concr. Res. 2014, 66, 1250–1262. [Google Scholar] [CrossRef]
- Dong, Z.; Deng, M.; Zhang, Y.; Ma, P. Strengthening of unreinforced masonry walls against out-of-plane loads using carbon textile reinforced mortar optimized by short PVA fibers. Eng. Struct. 2021, 227, 111433. [Google Scholar] [CrossRef]
- Fang, Y.; Jinlong, P.; Zhun, X.; Leung, C.K.Y. A comparison of engineered cementitious composites versus normal concrete in beam-column joints under reversed cyclic loading. Mater. Struct. 2013, 46, 145–159. [Google Scholar] [CrossRef]
- Halvaei, M.; Jamshidi, M.; Latifi, M.; Ejtemaei, M. Effects of volume fraction and length of carbon short fibers on flexural properties of carbon textile reinforced engineered cementitious composites (ECCs); an experimental and computational study. Constr. Build. Mater. 2020, 245, 118394. [Google Scholar] [CrossRef]
- Hung, C.C.; Su, Y.F. Medium-term self-healing evaluation of Engineered Cementitious Composites with varying amounts of fly ash and exposure durations. Constr. Build. Mater. 2016, 118, 194–203. [Google Scholar] [CrossRef]
- Kondraivendhan, B.; Pradhan, B. Effect of ferrocement confinement on behavior of concrete. Constr. Build. Mater. 2009, 23, 1218–1222. [Google Scholar] [CrossRef]
- Li, K.; Liu, W.K.; Zhang, K.; Wang, X.L.; Zhu, J.T.; Sheikh, S. Bond behavior of stainless steel wire ropes embedded in engineered cementitious composites. Constr. Build. Mater. 2021, 281, 122622. [Google Scholar] [CrossRef]
- Xu, G.; Wang, Q.; Wei, J.; Liu, D. Experimental study of behavior of lap splice of corrosive reinforcing bars in concrete. Eng. J. Wuhan Univ. 2011, 44, 726–730. [Google Scholar]
- Ma, F.D.; Deng, M.K.; Fan, H.K.; Yang, Y.; Sun, H.Z. Study on the lap-splice behavior of post-yield deformed steel bars in ultra high performance concrete. Constr. Build. Mater. 2020, 262, 120611. [Google Scholar] [CrossRef]
- Tighiouart, B.; Benmokrane, B.; Mukhopadhyaya, P. Bond strength of glass FRP rebar splices in beams under static loading. Constr. Build. Mater. 1999, 13, 383–392. [Google Scholar] [CrossRef]
- Zemour, N.; Asadian, A.; Ahmed, E.A.; Benmokrane, B.; Khayat, K.H. Experimental Study on Splice Strength of Glass Fiber-Reinforced Polymer Reinforcing Bars in Normal and Self-Consolidating Concrete. ACI Mater. J. 2019, 116, 105–118. [Google Scholar] [CrossRef]
- Wu, C.; Hwang, H.J.; Ma, G. Effect of stirrups on the bond behavior of lap spliced GFRP bars in concrete beams. Eng. Struct. 2022, 266, 114552. [Google Scholar] [CrossRef]
- Tabatabaei, A.; Eslami, A.; Mohamed, H.M.; Benmokrane, B. Strength of compression lap-spliced GFRP bars in concrete columns with different splice lengths. Constr. Build. Mater. 2018, 182, 657–669. [Google Scholar] [CrossRef]
- Wu, C.; Li, V.C. CFRP-ECC hybrid for strengthening of the concrete structures. Compos. Struct. 2017, 178, 372–382. [Google Scholar] [CrossRef]
- Zhu, J.T.; Zhang, K.; Wang, X.L.; Li, K.; Zou, X.Y.; Feng, H. Bond-Slip Performance between High-Strength Steel Wire Rope Meshes and Engineered Cementitious Composites. J. Mater. Civ. Eng. 2022, 34, 04022048. [Google Scholar] [CrossRef]
- Zhang, K.; Yuan, Q.; Huang, T.; Zuo, S.; Yao, H. Utilization of novel stranded steel fiber to enhance fiber–matrix interface of cementitious composites. Constr. Build. Mater. 2023, 369, 130525. [Google Scholar] [CrossRef]
- Wang, L.C.; Yin, S.P.; Hua, Y.T. Flexural behavior of BFRP reinforced seawater sea-sand concrete beams with textile reinforced ECC tension zone cover. Constr. Build. Mater. 2021, 278, 122372. [Google Scholar] [CrossRef]
- Wang, Y.; Hou, M.; Yu, J.; Xu, S.; Yu, K.; Zhang, Z. Experimental Study on Mechanical Properties of Ultra-High Ductile Cementitious Composites. Mater. Rev. 2018, 32, 3535–3540. [Google Scholar]
- Zhang, H.Y.; Liu, H.Y.; Kodur, V.; Li, M.Y.; Zhou, Y. Flexural behavior of concrete slabs strengthened with textile reinforced geopolymer mortar. Compos. Struct. 2022, 284, 115220. [Google Scholar] [CrossRef]
- Zhang, Q.; Wei, Z.Y.; Gu, X.L.; Yang, Q.C.; Li, S.Y.; Zhao, Y.S. Confinement behavior and stress-strain response of square concrete columns strengthened with carbon textile reinforced concrete (CTRC) composites. Eng. Struct. 2022, 266, 114592. [Google Scholar] [CrossRef]
- Zhou, J.F.; Stuempel, M.; Kang, C.J.; Marx, S. Lap-spliced connections of steel and FRP bars in reinforced flexure concrete structures. Eng. Struct. 2022, 263, 114409. [Google Scholar] [CrossRef]
- Meng, D.; Lee, C.K.; Zhang, Y.X. Flexural and shear behaviours of plain and reinforced polyvinyl alcohol-engineered cementitious composite beams. Eng. Struct. 2017, 151, 261–272. [Google Scholar] [CrossRef]
- Meng, D.; Zhang, Y.X.; Lee, C.K. Flexural fatigue behaviour of steel reinforced PVA-ECC beams. Constr. Build. Mater. 2019, 221, 384–398. [Google Scholar] [CrossRef]
- Metelli, G.; Marchina, E.; Plizzari, G.A. Experimental study on staggered lapped bars in fiber reinforced concrete beams. Compos. Struct. 2017, 179, 655–664. [Google Scholar] [CrossRef]
- Mousavi, S.S.; Dehestani, M.; Mousavi, S.M. Bond strength and development length of glass fiber-reinforced polymer bar in unconfined self-consolidating concrete. J. Reinf. Plast. Compos. 2016, 35, 924–941. [Google Scholar] [CrossRef]
- Najafgholipour, M.A.; Dehghan, S.M.; Khani, M.; Heidari, A. The performance of lap splices in RC beams under inelastic reversed cyclic loading. Structures 2018, 15, 279–291. [Google Scholar] [CrossRef]
- Nie, J.; Tao, W.; Zhang, T. Experimental study on the flexural behavior of RC beams strengthened with prestressed stainless steel wire mesh and permeability polymer mortar. China Civ. Eng. J. 2007, 40, 1–7. [Google Scholar]
- Parra-Montesinos, G.; Wight, J.K. Seismic response of exterior RC column-to-steel beam connections. J. Struct. Eng. 2000, 126, 1113–1121. [Google Scholar] [CrossRef]
- Si, Z.H.; Liu, F.; Pan, J.W.; Dong, H. Research on Impact Resistance of Reinforced Concrete Beams Strengthened with Carbon Fiber Reinforced Polymer Grid and Engineered Cementitious Composites. Polymers 2022, 14, 1951. [Google Scholar] [CrossRef] [PubMed]
- Wang, X.L.; Yang, G.H.; Qian, W.W.; Li, K.; Zhu, J.T. Tensile Behavior of High-Strength Stainless Steel Wire Rope (HSSSWR)-Reinforced ECC. Int. J. Concr. Struct. Mater. 2021, 15, 43. [Google Scholar] [CrossRef]
- Li, K.; Zhao, D.P.; Fan, J.J.; Zhu, J.T. Local Bond Stress-Slip Model of High-Strength Stainless Steel Wire Ropes in ECC. KSCE J. Civ. Eng. 2022, 26, 2259–2272. [Google Scholar] [CrossRef]
- Xu, S.; Li, Q.; Li, H. An experimental study on the flexural properties of carbon textile reinforced ECC. China Civ. Eng. J. 2007, 40, 69–76. [Google Scholar]
- Yang, Y.Z.; Lepech, M.D.; Yang, E.H.; Li, V.C. Autogenous healing of engineered cementitious composites under wet-dry cycles. Cem. Concr. Res. 2009, 39, 382–390. [Google Scholar] [CrossRef]
- Yu, K.Q.; Li, L.Z.; Yu, J.T.; Wang, Y.C.; Ye, J.H.; Xu, Q.F. Direct tensile properties of engineered cementitious composites: A review. Constr. Build. Mater. 2018, 165, 346–362. [Google Scholar] [CrossRef]
- Yuan, F.; Chen, M.C.; Pan, J.L. Flexural strengthening of reinforced concrete beams with high-strength steel wire and engineered cementitious composites. Constr. Build. Mater. 2020, 254, 119284. [Google Scholar] [CrossRef]
- Zhu, J.; Liu, Y.; Li, Z.; Zou, X.; Li, K.; Fan, J. Bond behavior between high-strength steel wire meshes and ECC: Experimental study and analytical modelling. Eng. Struct. 2023, 287, 116115. [Google Scholar] [CrossRef]
- Zhu, J.; Liu, Y.; Wang, J.; Li, K. Experimental on bond properties of grooved interface between high-strength steel wire mesh reinforced ECC and concrete. J. Compos. Mater. 2022, 40, 2913–2925. [Google Scholar] [CrossRef]












| Fly Ash | Silica Powder | Cement | Silica Sand | PVA Fiber | Water | Superplasticizer |
|---|---|---|---|---|---|---|
| 2.5 | 0.093 | 1 | 0.4 | 0.02 | 1.15 | 0.058 |
| Diameter/mm | Measured Area/mm2 | Young’s Modulus/GPa | Ultimate Tensile Strength/MPa | Mean Ultimate Tensile Strain/% | Ultimate Load/kN |
|---|---|---|---|---|---|
| 4.5 | 9.62 | 108 | 1687.4 | 3.78 | 16.23 |
| 3.2 | 4.94 | 97 | 1589.2 | 4.08 | 7.87 |
| 2.4 | 2.82 | 130 | 1568.3 | 3.07 | 4.42 |
| Group | Specimen | Diameter of HSSSW (mm) | Splice Length (mm) | The Spacing of Transverse HSSSW (mm) | Size (mm3) | |
|---|---|---|---|---|---|---|
| A | A-1 | A-1-451500 | 4.5 | 15d | 0 | 150 × 150 × 50 |
| A-2 | A-2-451520 | 4.5 | 15d | 20 | ||
| A-3 | A-3-451530 | 4.5 | 15d | 30 | ||
| A-4 | A-4-451540 | 4.5 | 15d | 40 | ||
| B | B-1 | B-1-452030 | 4.5 | 20d | 30 | 150 × 150 × 50 |
| B-2 | B-2-452830 | 4.5 | 28d | 30 | 150 × 200 × 50 | |
| B-3 | B-3-453230 | 4.5 | 32d | 30 | ||
| C | C-1 | C-1-322030 | 3.2 | 20d | 30 | 150 × 150 × 37 |
| C-2 | C-2-322230 | 3.2 | 22d | 30 | ||
| C-3 | C-3-322530 | 3.2 | 25d | 30 | ||
| D | D-1 | D-1-242030 | 2.4 | 20d | 30 | 150 × 100 × 27 |
| D-2 | D-2-242230 | 2.4 | 22d | 30 | ||
| D-3 | D-3-242530 | 2.4 | 25d | 30 | ||
| Group | Specimen | Size (mm3) | Test Result | |||||
|---|---|---|---|---|---|---|---|---|
| Failure Mode | Ta (kN) | τa (MPa) | lLP (mm) | φ (%) | ||||
| A | A-1 | A-1-451500-1 | 150 × 150 × 50 | Pull-out | 10.25 | 10.75 | 2.93 | 63.1 |
| A-1-451500-2 | Pull-out | 10.32 | 10.82 | 3.05 | 63.6 | |||
| A-1-451500-3 | Pull-out | 10.04 | 10.53 | 2.98 | 61.9 | |||
| A-2 | A-2-451520-1 | 150 × 150 × 50 | Pull-out | 10.14 | 10.63 | 1.65 | 62.5 | |
| A-2-451520-2 | Pull-out | 10.17 | 10.66 | 1.62 | 62.7 | |||
| A-2-451520-3 | Pull-out | 13.05 | 13.68 | 1.45 | 80.4 | |||
| A-3 | A-3-451530-1 | 150 × 150 × 50 | Pull-out | 10.22 | 10.72 | 2.03 | 63 | |
| A-3-451530-2 | Pull-out | 10.54 | 11.05 | 2.03 | 64.9 | |||
| A-3-451530-3 | Pull-out | 10.23 | 10.73 | 2.02 | 63 | |||
| A-4 | A-4-451540-1 | 150 × 150 × 50 | Pull-out | 9.99 | 10.47 | 2.41 | 61.5 | |
| A-4-451540-2 | Pull-out | 10.25 | 10.75 | 2.53 | 63.1 | |||
| A-4-451540-3 | Pull-out | 10.42 | 10.93 | 2.5 | 64.2 | |||
| B | B-1 | B-1-452030-1 | 150 × 150 × 50 | Pull-out | 11.7 | 9.2 | 2.23 | 72.1 |
| B-1-452030-2 | Pull-out | 11.7 | 9.2 | 2.18 | 72.1 | |||
| B-1-452030-3 | Pull-out | 11.38 | 8.95 | 2.22 | 70.1 | |||
| B-2 | B-2-452830-1 | 150 × 200 × 50 | Rupture | 14.4 | 8.09 | 2.62 | 88.7 | |
| B-2-452830-2 | Pull-out | 14.21 | 7.98 | 2.52 | 87.5 | |||
| B-2-452830-3 | Pull-out | 14.19 | 7.97 | 2.63 | 87.4 | |||
| B-3 | B-3-453230-1 | 150 × 200 × 50 | Rupture | 14.35 | 7.05 | 2.79 | 88.4 | |
| B-3-453230-2 | Rupture | 14.5 | 7.13 | 2.73 | 89.3 | |||
| B-3-453230-3 | Rupture | 14.29 | 7.02 | 2.78 | 88 | |||
| C | C-1 | C-1-322030-1 | 150 × 150 × 37 | Pull-out | 6.41 | 9.97 | 2.3 | 81.7 |
| C-1-322030-2 | Pull-out | 6.29 | 9.78 | 2.35 | 80.1 | |||
| C-1-322030-3 | Pull-out | 6.36 | 9.89 | 2.34 | 81 | |||
| C-2 | C-2-322230-1 | 150 × 150 × 37 | Pull-out | 7 | 9.9 | 2.47 | 89.2 | |
| C-2-322230-2 | Pull-out | 7.08 | 10.01 | 2.56 | 90.2 | |||
| C-2-322230-3 | Pull-out | 6.98 | 9.87 | 2.49 | 88.9 | |||
| C-3 | C-3-322530-1 | 150 × 150 × 37 | Rupture | 7.71 | 9.59 | 2.64 | 98.2 | |
| C-3-322530-2 | Rupture | 7.78 | 9.68 | 2.63 | 99.1 | |||
| C-3-322530-3 | Rupture | 7.79 | 9.69 | 2.65 | 99.2 | |||
| D | D-1 | D-1-242030-1 | 150 × 100 × 27 | Pull-out | 3.84 | 10.62 | 2.42 | 86.8 |
| D-1-242030-2 | Pull-out | 3.83 | 10.59 | 2.38 | 86.6 | |||
| D-1-242030-3 | Pull-out | 3.85 | 10.64 | 2.35 | 87 | |||
| D-2 | D-2-242230-1 | 150 × 100 × 27 | Pull-out | 4.02 | 10.1 | 2.57 | 90.9 | |
| D-2-242230-2 | Pull-out | 4.07 | 10.23 | 2.53 | 92 | |||
| D-2-242230-3 | Pull-out | 3.99 | 10.03 | 2.52 | 90.2 | |||
| D-3 | D-3-242530-1 | 150 × 100 × 27 | Pull-out | 4.27 | 9.44 | 2.72 | 96.6 | |
| D-3-242530-2 | Pull-out | 4.43 | 9.8 | 2.78 | 98.4 | |||
| D-3-242530-3 | Pull-out | 4.29 | 9.49 | 2.63 | 97 | |||
Disclaimer/Publisher’s Note: The statements, opinions and data contained in all publications are solely those of the individual author(s) and contributor(s) and not of MDPI and/or the editor(s). MDPI and/or the editor(s) disclaim responsibility for any injury to people or property resulting from any ideas, methods, instructions or products referred to in the content. |
© 2023 by the authors. Licensee MDPI, Basel, Switzerland. This article is an open access article distributed under the terms and conditions of the Creative Commons Attribution (CC BY) license (https://creativecommons.org/licenses/by/4.0/).
Share and Cite
Zou, X.; Zhang, X.; Li, Z.; Zhu, J. Experimental Study on Lap-Spliced Performance of High-Strength Stainless Steel Wire Mesh in Engineering Cementitious Composites. Materials 2023, 16, 3959. https://doi.org/10.3390/ma16113959
Zou X, Zhang X, Li Z, Zhu J. Experimental Study on Lap-Spliced Performance of High-Strength Stainless Steel Wire Mesh in Engineering Cementitious Composites. Materials. 2023; 16(11):3959. https://doi.org/10.3390/ma16113959
Chicago/Turabian StyleZou, Xuyan, Xiyuan Zhang, Ziyuan Li, and Juntao Zhu. 2023. "Experimental Study on Lap-Spliced Performance of High-Strength Stainless Steel Wire Mesh in Engineering Cementitious Composites" Materials 16, no. 11: 3959. https://doi.org/10.3390/ma16113959
APA StyleZou, X., Zhang, X., Li, Z., & Zhu, J. (2023). Experimental Study on Lap-Spliced Performance of High-Strength Stainless Steel Wire Mesh in Engineering Cementitious Composites. Materials, 16(11), 3959. https://doi.org/10.3390/ma16113959

