Thermostability of Organobentonite Modified with Poly(acrylic acid)
Abstract
1. Introduction
2. Materials and Methods
2.1. Materials
- Calcium bentonite (SN, ZGM Zębiec S.A., Zębiec, Poland). It is characterized by its cation exchange capacity determined by the Cu(II)-TET adsorption method: 65.3 meq·100 g−1 clay; MMT content: 69.2%. For the determination of CEC, water was introduced into the weighed amount of bentonite in a weight ratio of 1:20, and then the whole was dispersed with ultrasound. To the obtained suspension, 10 mL of 0.01 M Cu(II)-triethylenetetramine solution was added, after which the whole was centrifuged until a clear solution required for photometric measurement was formed. Spectrophotometric determination of the resulting solution was carried out at 620 nm in a 10 mm cuvette versus water as a blank. CEC was determined, taking into account the prepared calibration curve and the measurement difference. MMT content (%) was determined relative to a bentonite standard of known MMT content. The swelling index is 8 cm3·2 g−1. The chemical composition of the unmodified SN bentonite is as follows: SiO2 67.39%, Al2O3 18.96%, MgO 4.58%, CaO 3.02%, Fe2O3 2.73%, Na2O 1.28%, K2O 1.13% (manufacturer’s data).
- Poly(acrylic acid): average molar mass Mw = 1800 g·mol−1 (PAA, Merck, Saint Louis, MA, USA).
- Organobentonites SN/5PAA, SN/15PAA, SN/25PAA formed by the modification of calcium bentonite with poly(acrylic acid). The preparation of the modification is presented below in Section 2.2.
2.2. Preparation of Composite Materials
2.3. Characterization Methods
2.3.1. Thermogravimetry and Differential Scanning Calorimetry (TG-DSC)
2.3.2. Pyrolysis Gas Chromatography Mass Spectrometry (Py-GC/MS)
3. Results and Discussions
3.1. TG-DTG-DSC Studies
3.2. Py–GC/MS Studies
4. Conclusions
Author Contributions
Funding
Institutional Review Board Statement
Informed Consent Statement
Data Availability Statement
Conflicts of Interest
References
- Modabberi, S.; Namayandeh, A.; Setti, M.; López-Galindo, A. Genesis of the Eastern Iranian Bentonite Deposits. Appl. Clay Sci. 2019, 168, 56–67. [Google Scholar] [CrossRef]
- Guégan, R. Organoclay Applications and Limits in the Environment. C. R. Chim. 2019, 22, 132–141. [Google Scholar] [CrossRef]
- Kadir, S.; Ülah, T.; Önalgil, N.; Erkoyun, H.; Elliott, W.C. Mineralogy, Geochemistry, and Genesis of Bentonites in Miocene Volcanic-Sedimentary Units of the Ankara-Çankiri Basin, Central Anatolia, Turkey. Clays Clay Min. 2017, 65, 64–91. [Google Scholar] [CrossRef]
- Lewandowski, J.L. Tworzywa Na Formy Odlewnicze; Akapit: Kraków, Poland, 1997. [Google Scholar]
- Holtzer, M.; Kmita, A.; Roczniak, A. Processes of Pyrolysis and Their Effect on Cast Quality and Working Conditions. Pr. Inst. Odlew. 2016, 56, 3. [Google Scholar] [CrossRef]
- Vasková, I.; Hrubovčáková, M. Ecological Binding Material of First Generation. Arch. Foundry Eng. 2014, 14, 123–128. [Google Scholar] [CrossRef]
- Holtzer, M.; Grabowska, B.; Żymankowska-Kumon, S.; Kwaśniewska-Królikowska, D.; Dańko, R.; Solarski, W.; Bobrowski, A. Harmfulness of Moulding Sands with Bentonite and Lustrous Carbon Carriers. Metalurgija 2012, 51, 437–440. [Google Scholar]
- Miller, L.; Vakili, R.; St-Onge, J.; Wang, Z. Green Sand Emissions and the Concentration of Carbonaceous Additives. Mod. Cast. Mag. 2019, 12, 26–28. [Google Scholar]
- Kumara, P.; Bhat, V.; Ranganatha; Banagara, A. Effect of Wood Flours on Moulding Sand Properties. IJRDO J. Mech. Civ. Eng. 2016, 2, 1–6. [Google Scholar] [CrossRef]
- Pagacz, J.; Pielichowski, K. Modyfikacja Krzemianów Warstwowych Do Zastosowań w Nanotechnologii. Czas. Tech. Chem. 2007, 104, 133–147. [Google Scholar]
- Lagaly, G.; Ogawa, M.; Dékány, I. Clay Mineral-Organic Interactions. In Developments in Clay Science; Elsevier: Amsterdam, The Netherlands, 2013; Volume 5, pp. 435–505. ISBN 9780080982588. [Google Scholar]
- He, H.; Ma, L.; Zhu, J.; Frost, R.L.; Theng, B.K.G.; Bergaya, F. Synthesis of Organoclays: A Critical Review and Some Unresolved Issues. Appl. Clay Sci. 2014, 100, 22–28. [Google Scholar] [CrossRef]
- Cukrowicz, S.; Sitarz, M.; Kornaus, K.; Kaczmarska, K.; Bobrowski, A.; Gubernat, A.; Grabowska, B. Organobentonites Modified with Poly(Acrylic Acid) and Its Sodium Salt for Foundry Applications. Materials 2021, 14, 1947. [Google Scholar] [CrossRef] [PubMed]
- Huang, P.; Kazlauciunas, A.; Menzel, R.; Lin, L. Determining the Mechanism and Efficiency of Industrial Dye Adsorption through Facile Structural Control of Organo-Montmorillonite Adsorbents. ACS Appl. Mater. Interfaces 2017, 9, 26383–26391. [Google Scholar] [CrossRef] [PubMed]
- Mousavi, M.; Fini, E.H.; Hung, A.M. Underlying Molecular Interactions between Sodium Montmorillonite Clay and Acidic Bitumen. J. Phys. Chem. C 2019, 123, 15513–15522. [Google Scholar] [CrossRef]
- Shen, C.C.; Petit, S.; Li, C.J.; Li, C.S.; Khatoon, N.; Zhou, C.H. Interactions between Smectites and Polyelectrolytes. Appl. Clay Sci. 2020, 198, 105778. [Google Scholar] [CrossRef]
- Cukrowicz, S.; Goj, P.; Stoch, P.; Bobrowski, A.; Tyliszczak, B.; Grabowska, B. Molecular Dynamic (MD) Simulations of Organic Modified Montmorillonite. Appl. Sci. 2021, 12, 314. [Google Scholar] [CrossRef]
- Shirsath, S.R.; Hage, A.P.; Zhou, M.; Sonawane, S.H.; Ashokkumar, M. Ultrasound Assisted Preparation of Nanoclay Bentonite-FeCo Nanocomposite Hybrid Hydrogel: A Potential Responsive Sorbent for Removal of Organic Pollutant from Water. Desalination 2011, 281, 429–437. [Google Scholar] [CrossRef]
- Meyers, K.S.; Speyer, R.F. Thermal Analysis of Clays. In Handbook of Thermal Analysis and Calorimetry; Elsevier: Amsterdam, The Netherlands, 2003; Volume 2, pp. 261–306. ISBN 9780444820860. [Google Scholar]
- Önal, M.; Sarıkaya, Y. Thermal Behavior of a Bentonite. J. Therm. Anal. Calorim. 2007, 90, 167–172. [Google Scholar] [CrossRef]
- Çaykara, T.; Güven, O. Effect of Preparation Methods on Thermal Properties of Poly(Acrylic Acid)/Silica Composites. J. Appl. Polym. Sci. 1998, 70, 891–895. [Google Scholar] [CrossRef]
- Singh, B.; Sharma, N. Mechanistic Implications of Plastic Degradation. Polym. Degrad. Stab. 2008, 93, 561–584. [Google Scholar] [CrossRef]
- Grabowska, B. Nowe Spoiwa Polimerowe w Postaci Wodnych Kompozycji z Udziałem Poli(Kwasu Akrylowego) Lub Jego Soli i Modyfikowanego Biopolimeru do Zastosowania w Odlewnictwie; Wydawnictwo Naukowe “Akapit”: Kraków, Poland, 2013; ISBN 978-83-63663-13-1. [Google Scholar]
- Grabowska, B.; Cukrowicz, S.; Bobrowski, A.; Drożyński, D.; Żymankowska-Kumon, S.; Kaczmarska, K.; Tyliszczak, B.; Pribulová, A. Organobentonite Binder for Binding Sand Grains in Foundry Moulding Sands. Materials 2023, 16, 1585. [Google Scholar] [CrossRef]
- Bayram, H.; Önal, M.; Yılmaz, H.; Sarıkaya, Y. Thermal Analysis of a White Calcium Bentonite. J. Therm. Anal. Calorim. 2010, 101, 873–879. [Google Scholar] [CrossRef]
- Kamińska, J.; Puzio, S.; Angrecki, M. Effect of Bentonite Clay Addition on the Thermal and Mechanical Properties of Conventional Moulding Sands. Arch. Foundry Eng. 2020, 20, 111–116. [Google Scholar] [CrossRef]
- Paź, S.; Drożyński, D.; Górny, M.; Cukrowicz, S. Properties of Bentonites and Bentonite Mixtures Used in Casting Processes. Arch. Foundry Eng. 2019, 19, 35–40. [Google Scholar] [CrossRef]
- Alves, J.L.; e Rosa, P.d.T.V.; Realinho, V.; Antunes, M.; Velasco, J.I.; Morales, A.R. The Effect of Brazilian Organic-Modified Montmorillonites on the Thermal Stability and Fire Performance of Organoclay-Filled PLA Nanocomposites. Appl. Clay Sci. 2020, 194, 105697. [Google Scholar] [CrossRef]
- Grabowska, B.; Sitarz, M.; Olejnik, E.; Kaczmarska, K. FT-IR and FT-Raman Studies of Cross-Linking Processes with Ca2+ Ions, Glutaraldehyde and Microwave Radiation for Polymer Composition of Poly(Acrylic Acid)/Sodium Salt of Carboxymethyl Starch-Part I. Spectrochim. Acta A Mol. Biomol. Spectrosc. 2015, 135, 529–535. [Google Scholar] [CrossRef]
- Grabowska, B.; Sitarz, M.; Olejnik, E.; Kaczmarska, K.; Tyliszczak, B. FT-IR and FT-Raman Studies of Cross-Linking Processes with Ca2+ Ions, Glutaraldehyde and Microwave Radiation for Polymer Composition of Poly(Acrylic Acid)/Sodium Salt of Carboxymethyl Starch—In Moulding Sands, Part II. Spectrochim. Acta A Mol Biomol. Spectrosc. 2015, 151, 27–33. [Google Scholar] [CrossRef]
- Grabowska, B.; Hodor, K.; Kaczmarska, K.; Bobrowski, A.; Kurleto-Kozioł, Ż.; Fischer, C. Thermal Analysis in Foundry Technology: Part 2. TG–DTG–DSC, TG–MS and TG–IR Study of the New Class of Polymer Binders BioCo. J. Therm. Anal. Calorim. 2017, 130, 301–309. [Google Scholar] [CrossRef]
- Grabowska, B.; Żymankowska-Kumon, S.; Cukrowicz, S.; Kaczmarska, K.; Bobrowski, A.; Tyliszczak, B. Thermoanalytical Tests (TG–DTG–DSC, Py-GC/MS) of Foundry Binders on the Example of Polymer Composition of Poly(Acrylic Acid)–Sodium Carboxymethylcellulose. J. Therm. Anal. Calorim. 2019, 138, 4427–4436. [Google Scholar] [CrossRef]
- Yang, Z.; Peng, H.; Wang, W.; Liu, T. Crystallization behavior of poly(ε-caprolactone)/layered double hydroxide nanocomposites. J. Appl. Polym. Sci. 2010, 116, 2658–2667. [Google Scholar] [CrossRef]
- Svidró, J.T.; Diószegi, A.; Svidró, J.; Ferenczi, T. The Effect of Different Binder Levels on the Heat Absorption Capacity of Moulding Mixtures Made by the Phenolic Urethane Cold-Box Process. J. Therm. Anal. Calorim. 2017, 130, 1769–1777. [Google Scholar] [CrossRef]
- Svidró, J.T.; Diószegi, A.; Svidró, J.; Ferenczi, T. Thermophysical Aspects of Reclaimed Moulding Sand Addition to the Epoxy-SO2 Coremaking System Studied by Fourier Thermal Analysis. J. Therm. Anal. Calorim. 2017, 130, 1779–1789. [Google Scholar] [CrossRef]
- Ikhtiyarova, G.A.; Özcan, A.S.; Gök, Ö.; Özcan, A. Characterization of Natural- and Organobentonite by XRD, SEM, FT-IR and Thermal Analysis Techniques and Its Adsorption Behaviour in Aqueous Solutions. Clay Miner. 2012, 47, 31–44. [Google Scholar] [CrossRef]
- Leite, I.F.; Soares, A.P.S.; Carvalho, L.H.; Raposo, C.M.O.; Malta, O.M.L.; Silva, S.M.L. Characterization of Pristine and Purified Organobentonites. J. Therm. Anal. Calorim. 2010, 100, 563–569. [Google Scholar] [CrossRef]
- Zhu, Y.; Cui, Y.; Shan, Z.; Dai, R.; Shi, L.; Chen, H. Fabrication and Characterization of a Multi-Functional and Environmentally-Friendly Starch/Organo-Bentonite Composite Liquid Dust Suppressant. Powder Technol. 2021, 391, 532–543. [Google Scholar] [CrossRef]





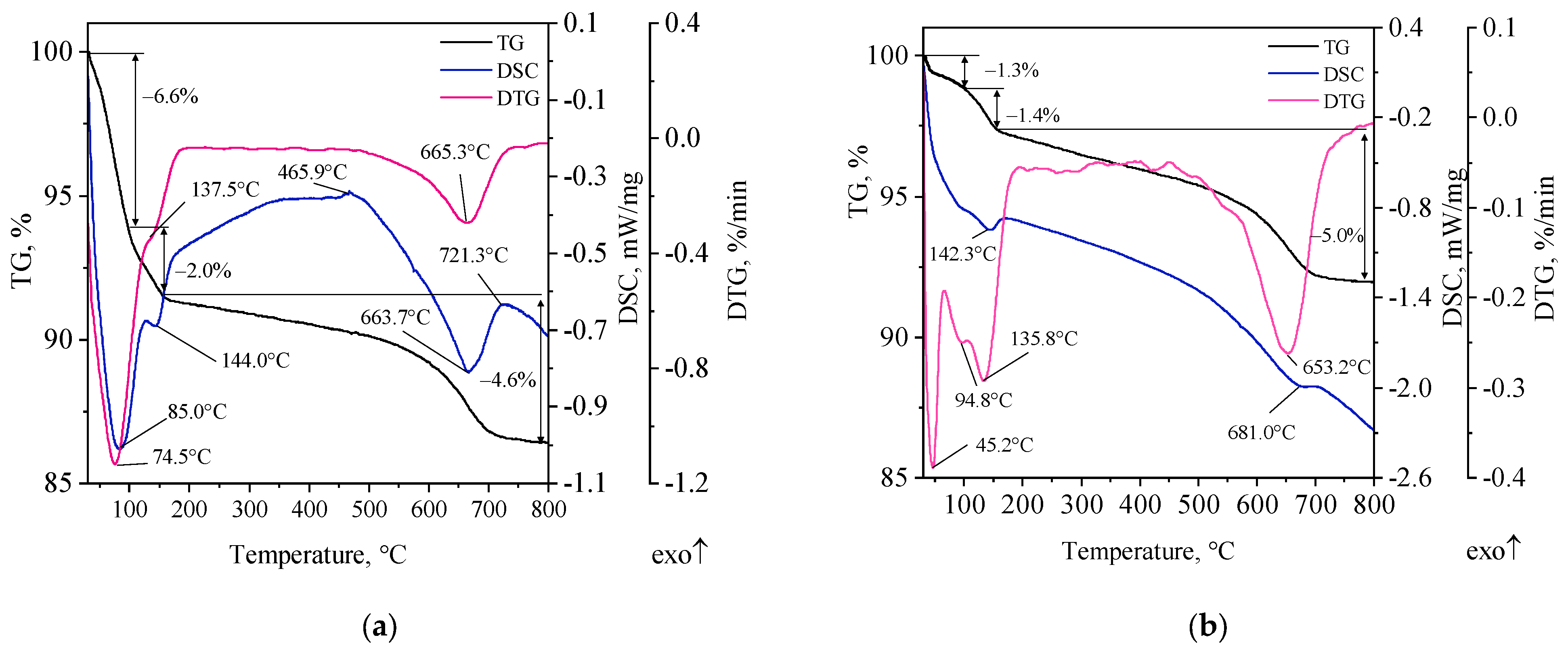
| Material | Atmosphere | Mass Change Δm, % | Temperature Range, °C | Maximum Rate of Mass Change, °C | DSC Effect Peak, °C | Residual Mass |
|---|---|---|---|---|---|---|
| SN | oxidative | –6.6 | 30–110 | 74.5 | 85.0 (endo) | 86.8% |
| –2.0 | 110–170 | – | 144.0 (endo) | |||
| −4.6 | 170–800 | 665.3 | 465.9 (exo) | |||
| 663.7 (endo) | ||||||
| inert | –1.3 | 30–110 | 45.2 | 142.3 (endo) | 92.3% | |
| –1.4 | 110–170 | 135.8 | – | |||
| –5.0 | 170–800 | 653.2 | – | |||
| 681.0 (endo) | ||||||
| SN/5PAA | oxidative | –7.0 | 30–120 | 56.1 | 83.9 (endo) | 79.2% |
| –3.0 | 120–180 | 142.4 | 144.3 (endo) | |||
| –6.1 | 180–440 | 353.6 | 364.2 (exo) | |||
| –4.7 | 440–800 | 661.7 | 698.3 (exo) | |||
| inert | –1.8 | 30–190 | 133.7 | 142.2 (endo) | 90.2% | |
| –1.7 | 190–360 | 297.7 | – | |||
| –3.3 | 360–520 | 474.1 | 530.3 (exo) | |||
| –3.0 | 520–800 | 646.7 | – | |||
| SN/15PAA | oxidative | –9.1 | 30–200 | 71.1 | 77.5 (endo) | 76.0% |
| –10.2 | 200–480 | 329.8 | 387.9 (exo) | |||
| –4.7 | 480–800 | 627.1 | – | |||
| inert | –1.6 | 30–160 | 112.1 | 122.1 (endo) | 84.3% | |
| –5.2 | 160–360 | 327.5 | – | |||
| –6.3 | 360–535 | 436.5 | 416.3 (exo) | |||
| –2.6 | 535–800 | 616.5 | 553.8 (exo) | |||
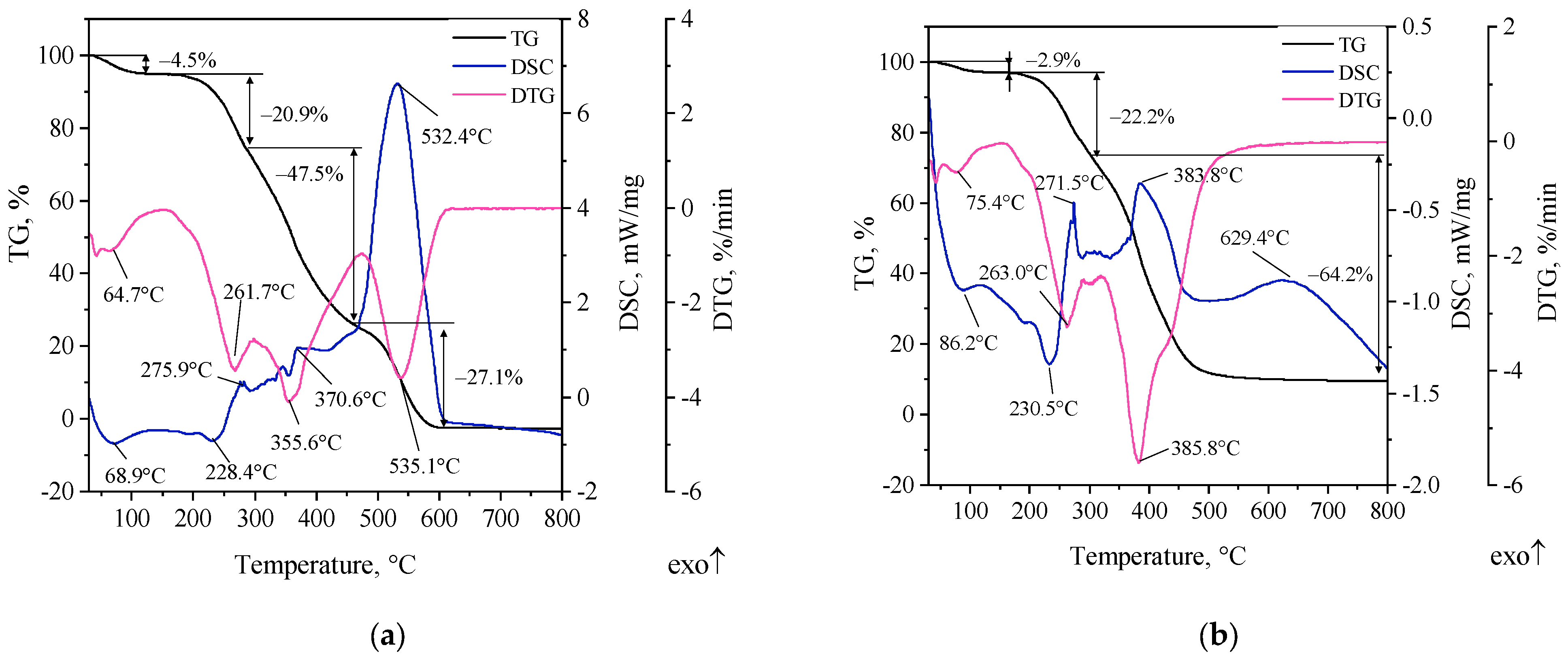
| SN/25PAA | oxidative | –7.2 | 30–140 | 49.6 | 75.4 (endo) | 73.1% |
| –13.6 | 140–435 | 327.5 | 381.5 (exo) | |||
| –6.1 | 435–800 | 618.6 | – | |||
| inert | –3.2 | 30–155 | 92.7 | 100.0 (endo) | 79.7% | |
| –6.3 | 155–350 | 321.1 | 405.2 (exo) | |||
| –7.0 | 350–520 | 459.1 | 543.2 (exo) | |||
| –3.8 | 520–800 | 610.1 | – |
| No. | IUPAC Name | No. CAS | Mass Weight Mw, u | Retention Time RT, min | |||
|---|---|---|---|---|---|---|---|
| PAA | SN/5PAA | SN/15PAA | SN/25PAA | ||||
| 1 | carbon dioxide | 124-38-9 | 44 | 2.27 a 2.29 b | 2.20 a 2.27 b | 2.21 a 2.23 b | 2.24 a 2.25 b |
| 2 | benzene | 71-43-2 | 78 | 4.76 a | - | - | - |
| 3 | toluene | 108-88-3 | 92 | 7.74 a | - | - | - |
Disclaimer/Publisher’s Note: The statements, opinions and data contained in all publications are solely those of the individual author(s) and contributor(s) and not of MDPI and/or the editor(s). MDPI and/or the editor(s) disclaim responsibility for any injury to people or property resulting from any ideas, methods, instructions or products referred to in the content. |
© 2023 by the authors. Licensee MDPI, Basel, Switzerland. This article is an open access article distributed under the terms and conditions of the Creative Commons Attribution (CC BY) license (https://creativecommons.org/licenses/by/4.0/).
Share and Cite
Grabowska, B.; Cukrowicz, S.; Kaczmarska, K.; Żymankowska-Kumon, S.; Bobrowski, A.; Tyliszczak, B.; Mrówka, N.M. Thermostability of Organobentonite Modified with Poly(acrylic acid). Materials 2023, 16, 3626. https://doi.org/10.3390/ma16103626
Grabowska B, Cukrowicz S, Kaczmarska K, Żymankowska-Kumon S, Bobrowski A, Tyliszczak B, Mrówka NM. Thermostability of Organobentonite Modified with Poly(acrylic acid). Materials. 2023; 16(10):3626. https://doi.org/10.3390/ma16103626
Chicago/Turabian StyleGrabowska, Beata, Sylwia Cukrowicz, Karolina Kaczmarska, Sylwia Żymankowska-Kumon, Artur Bobrowski, Bożena Tyliszczak, and Natalia Maria Mrówka. 2023. "Thermostability of Organobentonite Modified with Poly(acrylic acid)" Materials 16, no. 10: 3626. https://doi.org/10.3390/ma16103626
APA StyleGrabowska, B., Cukrowicz, S., Kaczmarska, K., Żymankowska-Kumon, S., Bobrowski, A., Tyliszczak, B., & Mrówka, N. M. (2023). Thermostability of Organobentonite Modified with Poly(acrylic acid). Materials, 16(10), 3626. https://doi.org/10.3390/ma16103626

