The Effect of Cementitious Materials on the Engineering Properties and Pore Structure of Concrete with Recycled Fine Aggregate
Abstract
1. Introduction
2. Materials and Experimental Program
2.1. Materials Properties
2.2. Mix Proportions
2.3. Experiment Method
3. Results and Discussion
3.1. Compressive Strength
3.2. Drying Shrinkage
3.3. Accelerated Carbonation
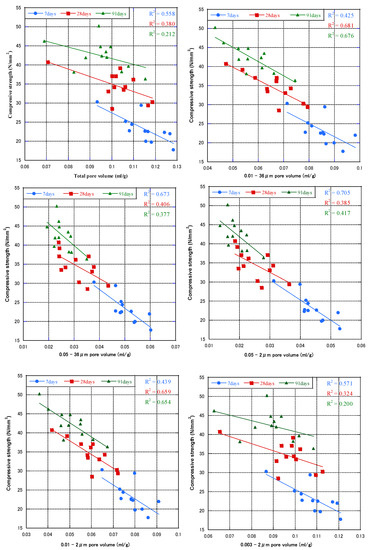
3.4. Pore Structure
4. Conclusions
- Adding fly ash and GGBS to RFA concrete increased its compressive strength. M50BS45 and M50FA15BS15 exhibited similar 91-day compressive strengths with normal concrete. Therefore, the compressive strength of RFA concrete can be effectively improved by the use of cementitious materials.
- Replacement of cement with fly ash or GGBS significantly decreased the drying shrinkage of the RFA concrete. The drying shrinkage of all specimens in this experiment reached the level of ordinary concrete, and even lower than that of ordinary concrete. M50FA15BS15 showed 16.5% lower drying shrinkage, M50BS45 and M50FA15BS30 showed around 25% lower drying shrinkage than normal concrete.
- Increasing the cementitious (fly ash and GGBS) materials content decreased the carbonation resistance of RFA concrete. Fly ash had a greater effect on carbonation than GGBS.
- Incorporating FA or GGBS into concrete modified the pore structure of concrete, and reduced the volume of capillaries larger than 0.05 μm. In addition, the compressive strength was mainly affected by capillary pores (greater than 0.01 μm or 0.05 μm), and the carbonation was mainly affected by gel pores (less than 0.01 μm).
- For compressive strength, pores with a diameter greater than 0.05 μm are considered harmful pores, 0.01–0.05 μm are considered small harmful pores, and less than 0.01 μm are considered harmless pores.
Author Contributions
Funding
Institutional Review Board Statement
Informed Consent Statement
Data Availability Statement
Acknowledgments
Conflicts of Interest
References
- Meyer, C. The greening of the concrete industry. Cem. Concr. Compos. 2009, 31, 601–605. [Google Scholar] [CrossRef]
- Evangelista, L.; Guedes, M.; de Brito, J.; Ferro, A.; Pereira, M. Physical, chemical and mineralogical properties of fine recycled aggregates made from concrete waste. Construct. Build. Mater. 2015, 86, 178–188. [Google Scholar] [CrossRef]
- Kumar, G.S. Influence of fluidity on mechanical and permeation performances of recycled aggregate mortar. Constr. Build. Mater. 2019, 213, 404–412. [Google Scholar] [CrossRef]
- Elavenil, S.; Vijaya, B. Manufactured sand, a solution and an alternative to river sand and in concrete manufacturing. J. Eng. Comput. Appl. Sci. 2013, 2, 20–24. [Google Scholar]
- Villalobos, S.; Lange, D.A.; Roesler, J.R. Evaluation, Testing and Comparison between Crushed Manufactured Sand and Natural Sand; Technical Note; University of Illinois, Department of Civil Enviroment Eng.: Champaign, IL, USA, 2005; p. 15. [Google Scholar]
- Fischer, C.; Werge, M. EU as a recycling society. In European Topic Centre on Resource Waste Management; Working Paper 2/2009; European Topic Centre on Sustainable Consumption and Production: Copenhagen, Denmark, 2009. [Google Scholar]
- Sáez, P.V.; Merino, M.; Del, R.; Porras-Amores, C. Managing construction and demolition (C&D) waste—A European perspective. In International Conference on Petroleum and Sustainable Development; IPCBEE: Dubai, United Arab Emirates, 2011; pp. 27–31. [Google Scholar]
- CSI. The Cement Sustainability Initiative. Recycling Concrete: Executive Summary; CSI: Geneva, Switzerland, 2009. [Google Scholar]
- Gonçalves, P.; de Brito, J. Recycled aggregate concrete (RAC)—Comparative analysis of existing specifications. Mag. Concr. Res. 2010, 62, 339–346. [Google Scholar] [CrossRef]
- Gholampour, A.; Zheng, J.; Ozbakkaloglu, T. Development of waste-based concretes containing foundry sand, recycled fine aggregate, ground granulated blast furnace slag and fly ash. Constr. Build. Mater. 2021, 267, 121004. [Google Scholar] [CrossRef]
- Kirthika, S.K.; Singh, S.K. Durability studies on recycled fine aggregate concrete. Constr. Build. Mater. 2020, 250, 118850. [Google Scholar] [CrossRef]
- Khatib, J.M. Properties of concrete incorporating fine recycled aggregate. Cem. Concr. Res. 2005, 35, 763–769. [Google Scholar] [CrossRef]
- Abbas, A.; Fathifazl, G.; Isgor, O.B.; Razaqpur, A.G.; Fournier, B.; Foo, S. Durability of recycled aggregate concrete designed with equivalent mortar volume method. Cem. Concr. Compos. 2009, 31, 555–563. [Google Scholar] [CrossRef]
- Corinaldesi, V.; Moriconi, G. Influence of mineral additions on the performance of 100% recycled aggregate concrete. Constr. Build. Mater. 2009, 23, 2869–2876. [Google Scholar] [CrossRef]
- Xiao, J.; Li, W.; Fan, Y.; Huang, X. An overview of study on recycled aggregate concrete in China (1996–2011). Constr. Build. Mater. 2012, 31, 364–383. [Google Scholar] [CrossRef]
- Somna, R.; Jaturapitakkul, C.; Amde, A.M. Effect of ground fly ash and ground bagasse ash on the durability of recycled aggregate concrete. Cem. Concr. Compos. 2012, 34, 848–854. [Google Scholar] [CrossRef]
- Ann, K.Y.; Moon, H.Y.; Kim, Y.B.; Ryou, J. Durability of recycled aggregate concrete using pozzolanic materials. Waste Manag. 2008, 28, 993–999. [Google Scholar] [CrossRef]
- Lovato, P.S.; Possan, E.; Dal Molin, D.C.C.; Masuero, Â.B.; Ribeiro, J.L.D. Modeling of mechanical properties and durability of recycled aggregate concretes. Constr. Build. Mater. 2012, 26, 437–447. [Google Scholar] [CrossRef]
- Evangelista, L.; De Brito, J.M.C.L. Durability performance of concrete made with fine recycled concrete aggregates. Cem. Concr. Compos. 2010, 32, 9–14. [Google Scholar] [CrossRef]
- Bu, C.; Liu, L.; Lu, X.; Zhu, D.; Sun, Y.; Yu, L.; OuYang, Y.; Cao, X.; Wei, Q. The Durability of recycled fine aggregate Concrete: A Review. Materials 2022, 15, 1110. [Google Scholar] [CrossRef]
- Martínez-García, R.; de Rojas, M.S.; Jagadesh, P.; López-Gayarre, F.; Morán-del-Pozo, J.M.; Juan-Valdes, A. Effect of pores on the mechanical and durability properties on high strength recycled fine aggregate mortar. Case Stud. Constr. Mater. 2022, 16, e01050. [Google Scholar] [CrossRef]
- Martínez-García, R.; Rojas, M.I.S.D.; Pozo, J.M.M.D.; Fraile-Fernández, F.J.; Juan-Valdés, A. Evaluation of mechanical characteristics of cement mortar with fine recycled concrete aggregates (FRCA). Sustainability 2021, 13, 414. [Google Scholar] [CrossRef]
- Jiang, X.; Xiao, R.; Bai, Y.; Huang, B.; Ma, Y. Influence of waste glass powder as a supplementary cementitious material (SCM) on physical and mechanical properties of cement paste under high temperatures. J. Clean. Prod. 2022, 340, 130778. [Google Scholar] [CrossRef]
- Chindaprasirt, P.; Jaturapitakkul, C.; Sinsiri, T. Effect of fly ash fineness on compressive strength and pore size of blended cement paste. Cem. Concr. Compos. 2005, 27, 425–428. [Google Scholar] [CrossRef]
- Moradi, N.; Tavana, M.H.; Habibi, M.R.; Amiri, M.; Moradi, M.J.; Farhangi, V. Predicting the Compressive Strength of Concrete Containing Binary Supplementary Cementitious Material Using Machine Learning Approach. Materials 2022, 15, 5336. [Google Scholar] [CrossRef] [PubMed]
- Saha, A.K. Effect of class F fly ash on the durability properties of concrete. Sustain. Environ. Res. 2018, 28, 25–31. [Google Scholar] [CrossRef]
- Moffatt, E.G.; Thomas, M.D.; Fahim, A. Performance of high-volume fly ash concrete in marine environment. Cem. Concr. Res. 2017, 102, 127–135. [Google Scholar] [CrossRef]
- De Maeijer, P.K.; Craeye, B.; Snellings, R.; Kazemi-Kamyab, H.; Loots, M.; Janssens, K.; Nuyts, G. Effect of ultra-fine fly ash on concrete performance and durability. Constr. Build. Mater. 2020, 263, 120493. [Google Scholar] [CrossRef]
- Ross, A.D. Some problems in concrete construction. Mag. Concr. Res. 1960, 12, 27–34. [Google Scholar] [CrossRef]
- Bamforth, P. In situ measurement of the effect of partial Portland cement replacement using either fly ash or ground granulated blast-furnace slag on the performance of mass concrete. Proc. Inst. Civ. Eng. 1980, 69, 777–800. [Google Scholar] [CrossRef]
- Kristiawan, S.A.; Aditya, M.T.M. Effect of high volume fly ash on shrinkage of self-compacting concrete. Procedia Eng. 2015, 125, 705–712. [Google Scholar] [CrossRef]
- Özbay, E.; Erdemir, M.; Durmuş, H.İ. Utilization and efficiency of ground granulated blast furnace slag on concrete properties–A review. Constr. Build. Mater. 2016, 105, 423–434. [Google Scholar] [CrossRef]
- Li, K.; Zeng, Q.; Luo, M.; Pang, X. Effect of self-desiccation on the pore structure of paste and mortar incorporating 70% GGBS. Constr. Build. Mater. 2014, 51, 329–337. [Google Scholar] [CrossRef]
- El-Chabib, H.; Syed, A. Properties of Self-Consolidating Concrete Made with High Volumes of Supplementary Cementitious Materials. J. Mater. Civ. Eng. 2013, 25, 1579–1586. [Google Scholar] [CrossRef]
- Darquennes, A.; Rozière, E.; Khokhar, M.I.A.; Turcry, P.; Loukili, A.; Grondin, F. Long-term deformations and cracking risk of concrete with high content of mineral additions. Mater. Struct. 2012, 45, 1705–1716. [Google Scholar] [CrossRef]
- Brooks, J.J.; Wainwright, P.J.; Boukendakji, M. Influence of Slag Type and Replacement Level on Strength Elasticity, Shrinkage and Creep of Concrete. Spec. Publ. 1992, 132, 1325–1342. [Google Scholar]
- Liu, Z.; Takasu, K.; Koyamada, H.; Suyama, H. A study on engineering properties and environmental impact of sustainable concrete with fly ash or GGBS. Constr. Build. Mater. 2022, 316, 125776. [Google Scholar] [CrossRef]
- Qureshi, L.A.; Ali, B.; Ali, A. Combined effects of supplementary cementitious materials (silica fume, GGBS, fly ash and rice husk ash) and steel fiber on the hardened properties of recycled aggregate concrete. Constr. Build. Mater. 2020, 263, 120636. [Google Scholar] [CrossRef]
- Ahmad, J.; Martínez-García, R.; Szelag, M.; De-Prado-Gil, J.; Marzouki, R.; Alqurashi, M.; Hussein, E.E. Effects of Steel Fibers (SF) and Ground Granulated Blast Furnace Slag (GGBS) on Recycled Aggregate Concrete. Materials 2021, 14, 7497. [Google Scholar] [CrossRef]
- Kurad, R.; Silvestre, J.D.; de Brito, J.; Ahmed, H. Effect of incorporation of high volume of recycled concrete aggregates and fly ash on the strength and global warming potential of concrete. J. Clean. Prod. 2017, 166, 485–502. [Google Scholar] [CrossRef]
- Ali, B.; Qureshi, L.A.; Nawaz, M.A.; Aslam, H.M.U. Combined influence of fly ash and recycled coarse aggregates on strength and economic performance of concrete. Civ. Eng. J. 2019, 5, 832–844. [Google Scholar] [CrossRef]
- Ali, B.; Qureshi, L.A.; Shah SH, A.; Rehman, S.U.; Hussain, I.; Iqbal, M. A step towards durable, ductile and sustainable concrete: Simultaneous incorporation of recycled aggregates, glass fiber and fly ash. Constr. Build. Mater. 2020, 251, 118980. [Google Scholar] [CrossRef]
- Kou, S.C.; Poon, C.S.; Agrela, F. Comparisons of natural and recycled aggregate concretes prepared with the addition of different mineral admixtures. Cem. Concr. Compos. 2011, 33, 788–795. [Google Scholar] [CrossRef]
- Anastasiou, E.; Filikas, K.G.; Stefanidou, M. Utilization of fine recycled aggregates in concrete with fly ash and steel slag. Constr. Build. Mater. 2014, 50, 154–161. [Google Scholar] [CrossRef]
- JIS A 5022; Recycled Aggregate Concrete-Class M. Japanese Industrial Standard Committee: Tokyo, Japan, 2018.
- JIS R 5210; Portland Cement. Japanese Industrial Standard Committee: Tokyo, Japan, 2019.
- JIS A 6201; Fly Ash for Use in Concrete. Japanese Industrial Standard Committee: Tokyo, Japan, 2015.
- JIS A 6206; Ground Granulated Blast-Furnace Slag for Concrete. Japanese Industrial Standard Committee: Tokyo, Japan, 2013.
- Japanese Architectural Standard Specification JASS 5 Reinforced Concrete Work, Japan. Available online: www.aij.or.jp/jpn/databox/2020/public_jass5-01.pdf (accessed on 20 December 2022).
- JIS A 1108; Method of Test for Compressive Strength of Concrete. Japanese Industrial Standard Committee: Tokyo, Japan, 2018.
- JIS A 1129-2; Method of Measurement for Length Change of Mortar and Concrete- Part 2: Method with Contact-Type Strain Gauge. Japanese Industrial Standard Committee: Tokyo, Japan, 2010.
- JIS A 1153; Method of Accelerated Carbonation Test for Concrete. Japanese Industrial Standard Committee: Tokyo, Japan, 2022.
- Termkhajornkit, P.; Nawa, T.; Nakai, M.; Saito, T. Effect of fly ash on autogenous shrinkage. Cem. Concr. Res. 2005, 35, 473–482. [Google Scholar] [CrossRef]
- Hu, X.; Shi, Z.G.; Shi, C.J.; Wu, Z.M.; Tong, B.H.; Ou, Z.H.; de Schutter, G. Drying shrinkage and cracking resistance of concrete made with ternary cementitious components. Constr. Build. Mater. 2017, 149, 406–415. [Google Scholar] [CrossRef]
- Atis, C.D. Heat evolution of high-volume fly ash concrete. Cem. Concr. Res. 2002, 32, 751–756. [Google Scholar] [CrossRef]
- Wang, L.; Yang, H.Q.; Zhou, S.H.; Chen, E.; Tang, S.W. Mechanical properties, long-term hydration heat, shrinkage behavior and crack resistance of dam concrete designed with low heat Portland (LHP) cement and fly ash. Constr. Build. Mater. 2018, 187, 1073–1091. [Google Scholar] [CrossRef]
- Yin, B.; Kang, T.; Kang, J.; Chen, Y.; Wu, L.; Du, M. Investigation of the hydration kinetics and microstructure formation mechanism of fresh fly ash cemented filling materials based on hydration heat and volume resistivity characteristics. Appl. Clay Sci. 2018, 166, 146–158. [Google Scholar] [CrossRef]
- Yoon, Y.S.; Won, J.P.; Woo, S.K. Enhanced durability performance of fly ash concrete for concrete-faced rockfill dam application. Cem. Concr. Res. 2002, 32, 23–30. [Google Scholar] [CrossRef]
- Bouzoubaâ, N.; Zhang, M.H.; Malhotra, V.M. Mechanical properties and durability of concrete made with high-volume fly ash blended cements using a coarse fly ash. Cem. Concr. Res. 2001, 31, 1393–1402. [Google Scholar] [CrossRef]
- De Matos, P.R.; Foiato, M.; Prudencio, L.R., Jr. Studies of the physical properties of hardened Portland cement paste—Part 8. The freezing of water in hardened Portland cement paste. Constr. Build. Mater. 2019, 203, 282–293. [Google Scholar]
- Termkhajornkit, P.; Nawa, T.; Kurumisawa, K. Effect of water curing conditions on the hydration degree and compressive strengths of fly ash–cement paste. Cem. Concr. Compos. 2006, 28, 781–789. [Google Scholar] [CrossRef]
- Jiang, D.B.; Li, X.G.; Lv, Y.; Zhou, M.K.; Li, C.J. Utilization of limestone powder and fly ash in blended cement: Rheology, strength and hydration characteristics. Constr. Build. Mater. 2020, 232, 117228. [Google Scholar] [CrossRef]
- Poon, C.S.; Lam, L.; Wong, Y.L. A study on high strength concrete prepared with large volumes of low calcium fly ash. Cem. Concr. Res. 2000, 30, 447–455. [Google Scholar] [CrossRef]
- Sakai, E.; Miyahara, S.; Ohsawa, S.; Lee, S.H.; Daimon, M. Hydration of fly ash cement. Cem. Concr. Res. 2005, 35, 1135–1140. [Google Scholar] [CrossRef]
- Oner, A.; Akyuz, S.; Yildiz, R. An experimental study on strength development of concrete containing fly ash and optimum usage of fly ash in concrete. Cem. Concr. Res. 2005, 35, 1165–1171. [Google Scholar] [CrossRef]
- Oner, A.; Akyuz, S. An experimental study on optimum usage of GGBS for the compressive strength of concrete. Cem. Concr. Compos. 2007, 29, 505–514. [Google Scholar] [CrossRef]
- Shariq, M.; Prasad, J.; Masood, A. Effect of GGBFS on time dependent compressive strength of concrete. Constr. Build. Mater. 2010, 24, 1469–1478. [Google Scholar] [CrossRef]
- Brooks, J.J.; Al-Kaisi, A.F. Early strength development of Portland and slag cement concretes cured at elevated temperatures. Mater. J. 1990, 87, 503–507. [Google Scholar]
- Zhao, Y.; Gong, J.; Zhao, S. Experimental study on shrinkage of HPC containing fly ash and ground granulated blast-furnace slag. Constr. Build. Mater. 2017, 155, 145–153. [Google Scholar] [CrossRef]
- Gesoğlu, M.; Güneyisi, E.; Özbay, E. Properties of self-compacting concretes made with binary, ternary, and quaternary cementitious blends of fly ash, blast furnace slag, and silica fume. Constr. Build. Mater. 2009, 23, 1847–1854. [Google Scholar] [CrossRef]
- Neville, A.M. Properties of Concrete; Longman: London, UK, 1995; Volume 4. [Google Scholar]
- Wang, L.; Yu, Z.; Liu, B.; Zhao, F.; Tang, S.; Jin, M. Effects of fly ash dosage on shrinkage, crack resistance and fractal characteristics of face slab concrete. Fractal Fract. 2022, 6, 335. [Google Scholar] [CrossRef]
- Altoubat, S.; Talha Junaid, M.; Leblouba, M.; Badran, D. Effectiveness of fly ash on the restrained shrinkage cracking resistance of self-compacting concrete. Cem. Concr. Compos. 2017, 79, 9–20. [Google Scholar] [CrossRef]
- Yuan, J.; Lindquist, W.; Darwin, D.; Browning, J. Effect of slag cement on drying shrinkage of concrete. ACI Mater. J. 2015, 112, 267–276. [Google Scholar] [CrossRef]
- Li, J.; Yao, Y. A study on creep and drying shrinkage of high performance concrete. Cem. Concr. Res. 2001, 31, 1203–1206. [Google Scholar] [CrossRef]
- Yang, J.; Huang, J.; He, X.; Su, Y.; Tan, H.; Chen, W.; Wang, X.; Strnadel, B. Segmented fractal pore structure covering nano- and micro-ranges in cementing composites produced with GGBS. Constr. Build. Mater. 2019, 225, 1170–1182. [Google Scholar] [CrossRef]
- Weng, J.R.; Liao, W.C. Microstructure and shrinkage behavior of high-performance concrete containing supplementary cementitious materials. Constr. Build. Mater. 2021, 308, 125045. [Google Scholar] [CrossRef]
- Ignjatovic, I.; Carevic, V.; Sas, Z.; Dragas, J. High Volume Fly Ash Concrete: Part 2: Durability and Radiological Properties. In Proceedings of the Macedonian Association of Structural Engineers of the 17th International Symposium, Ohrid, Macedonia, 4–7 October 2017; pp. 700–709. [Google Scholar]
- Ashraf, W. Carbonation of cement-based materials: Challenges and opportunities. Constr. Build. Mater. 2016, 120, 558–570. [Google Scholar] [CrossRef]
- Lu, C.F.; Wang, W.; Li, Q.T.; Hao, M.; Xu, Y. Effects of micro-environmental climate on the carbonation depth and the pH value in fly ash concrete. J. Clean. Prod. 2018, 181, 309–317. [Google Scholar] [CrossRef]
- Liu, J.; Qiu, Q.; Chen, X.; Wang, X.; Xing, F.; Han, N.; He, Y. Degradation of fly ash concrete under the coupled effect of carbonation and chloride aerosol ingress. Corros. Sci. 2016, 112, 364–372. [Google Scholar] [CrossRef]
- Younsi, A.; Turcry, P.; Aït-Mokhtar, A.; Staquet, S. Accelerated carbonation of concrete with high content of mineral additions: Effect of interactions between hydration and drying. Cem. Concr. Res. 2013, 43, 25–33. [Google Scholar] [CrossRef]
- Castellote, M.; Fernandez, L.; Andrade, C.; Alonso, C. Chemical changes and phase analysis of OPC pastes carbonated at different CO2 concentrations. Mater. Struct. 2009, 42, 515–525. [Google Scholar] [CrossRef]
- Lye, C.-Q.; Dhir, R.K.; Ghataora, G.S. Carbonation resistance of GGBS concrete. Mag. Concr. Res. 2016, 68, 936–969. [Google Scholar] [CrossRef]
- Sulapha, P.; Wong, S.F.; Wee, T.H.; Swaddiwudhipong, S. Carbonation of concrete containing cementitious materials. J. Mater. Civ. Eng. 2003, 15, 134–143. [Google Scholar] [CrossRef]
- Jones, M.; Dhir, R.; Magee, B. Concrete containing ternary blended binders: Resistance to chloride ingress and carbonation. Cem. Concr. Res. 1997, 27, 825–831. [Google Scholar] [CrossRef]
- Kurda, R.; de Brito, J.; Silvestre, J.D. Carbonation of concrete made with high amount of fly ash and recycled concrete aggregates for utilization of CO2. J. CO2 Util. 2019, 29, 12–19. [Google Scholar] [CrossRef]
- Poon, C.S.; Lam, L.; Wong, Y.L. Effects of Fly Ash and Silica Fume on Interfacial Porosity of Concrete. J. Mater. Civ. Eng. 1999, 11, 197–205. [Google Scholar] [CrossRef]
- Yu, Z.; Ma, J.; Ye, G.; van Breugel, K.; Shen, X. Effect of fly ash on the pore structure of cement paste under a curing period of 3 years. Constr. Build. Mater. 2017, 144, 493–501. [Google Scholar] [CrossRef]
- Yu, Z.; Ni, C.; Tang, M.; Shen, X. Relationship between water permeability and pore structure of Portland cement paste blended with fly ash. Constr. Build. Mater. 2018, 175, 458–466. [Google Scholar] [CrossRef]
- Mindess, S.; Young, F.; Darwin, D. Concrete 2nd Edition; Technical Documents; Prentice Hall: Upper Saddle River, NJ, USA, 2003. [Google Scholar]
- Mehta, P.; Monteiro, P. Concrete Microstructure, Properties and Materials; McGraw-Hill Education: New York, NY, USA, 2014. [Google Scholar]
- Wu, Z.; Lian, H. High Performance Concrete; China Railway Publication House: Beijing, China, 1999. [Google Scholar]
- Ho, H.-L.; Huang, R.; Lin, W.-T.; Cheng, A. Pore-structures and durability of concrete containing pre-coated fine recycled mixed aggregates using pozzolan and polyvinyl alcohol materials. Constr. Build. Mater. 2018, 160, 278–292. [Google Scholar] [CrossRef]










| Property | Coarse Aggregate | Sea Sand | RFA | JIS A5022 (M) |
|---|---|---|---|---|
| Oven-dried density (g/cm3) | 2.69 | 2.59 | 2.37 | >2.2 |
| Fineness modulus | 6.9 | 2.41 | 2.58 | _ |
| Water absorption (%) | 1.41 | 1.04 | 6.86 | <7.0 |
| Void content (%) | 43.3 | 38.8 | 32.6 | _ |
| FA | MFA | GGBS | Cement | |
|---|---|---|---|---|
| SiO2 (%) | 53.8 | 62.4 | 32.7 | 21.5 |
| Al2O3 (%) | 13.5 | 17.6 | 13.4 | 5.4 |
| Fe2O3 (%) | 13 | 8.7 | 0.5 | 3.0 |
| CaO (%) | 8.99 | 2.3 | 41.6 | 64.9 |
| SO3 (%) | 0.49 | _ | 6.9 | 1.4 |
| MgO (%) | 1.48 | 1.32 | 0.3 | 2.1 |
| Loss on ignition (%) | 2.1 | 1.2 | 0.6 | 0.8 |
| Density (g/cm3) | 2.31 | 2.18 | 2.91 | 3.16 |
| Blaine specific area (cm2/g) | 3270 | 5480 | 4100 | 3000 |
| Type | Unit Mass (kg/m³) | ||||||||
|---|---|---|---|---|---|---|---|---|---|
| W/B | W | C | FA | MFA | GGBS | S | RFA | G | |
| N | 0.55 | 180 | 327 | 0 | 0 | 0 | 832 | 0 | 945 |
| M50 | 0.55 | 180 | 327 | 0 | 0 | 0 | 416 | 379 | 945 |
| M50FA10 | 0.55 | 180 | 294 | 33 | 0 | 0 | 411 | 375 | 945 |
| M50FA15 | 0.55 | 180 | 278 | 49 | 0 | 0 | 409 | 372 | 945 |
| M50MFA10 | 0.55 | 180 | 294 | 0 | 33 | 0 | 411 | 375 | 945 |
| M50MFA15 | 0.55 | 180 | 278 | 0 | 49 | 0 | 409 | 372 | 945 |
| M50BS30 | 0.55 | 180 | 229 | 0 | 0 | 98 | 413 | 376 | 945 |
| M50BS45 | 0.55 | 180 | 180 | 0 | 0 | 147 | 411 | 375 | 945 |
| M50FA10BS20 | 0.55 | 180 | 229 | 33 | 0 | 65 | 409 | 373 | 945 |
| M50FA15BS15 | 0.55 | 180 | 229 | 49 | 0 | 49 | 407 | 371 | 945 |
| M50FA15BS30 | 0.55 | 180 | 180 | 49 | 0 | 98 | 405 | 369 | 945 |
| M50FA22.5BS22.5 | 0.55 | 180 | 180 | 74 | 0 | 74 | 402 | 367 | 945 |
Disclaimer/Publisher’s Note: The statements, opinions and data contained in all publications are solely those of the individual author(s) and contributor(s) and not of MDPI and/or the editor(s). MDPI and/or the editor(s) disclaim responsibility for any injury to people or property resulting from any ideas, methods, instructions or products referred to in the content. |
© 2022 by the authors. Licensee MDPI, Basel, Switzerland. This article is an open access article distributed under the terms and conditions of the Creative Commons Attribution (CC BY) license (https://creativecommons.org/licenses/by/4.0/).
Share and Cite
Liu, Z.; Takasu, K.; Suyama, H.; Koyamada, H.; Liu, S.; Hao, Q. The Effect of Cementitious Materials on the Engineering Properties and Pore Structure of Concrete with Recycled Fine Aggregate. Materials 2023, 16, 305. https://doi.org/10.3390/ma16010305
Liu Z, Takasu K, Suyama H, Koyamada H, Liu S, Hao Q. The Effect of Cementitious Materials on the Engineering Properties and Pore Structure of Concrete with Recycled Fine Aggregate. Materials. 2023; 16(1):305. https://doi.org/10.3390/ma16010305
Chicago/Turabian StyleLiu, Zihao, Koji Takasu, Hiroki Suyama, Hidehiro Koyamada, Shilun Liu, and Qi Hao. 2023. "The Effect of Cementitious Materials on the Engineering Properties and Pore Structure of Concrete with Recycled Fine Aggregate" Materials 16, no. 1: 305. https://doi.org/10.3390/ma16010305
APA StyleLiu, Z., Takasu, K., Suyama, H., Koyamada, H., Liu, S., & Hao, Q. (2023). The Effect of Cementitious Materials on the Engineering Properties and Pore Structure of Concrete with Recycled Fine Aggregate. Materials, 16(1), 305. https://doi.org/10.3390/ma16010305

