Influence of SHS Precursor Composition on the Properties of Yttria Powders and Optical Ceramics
Abstract
1. Introduction
2. Materials and Methods
3. Results and Discussion
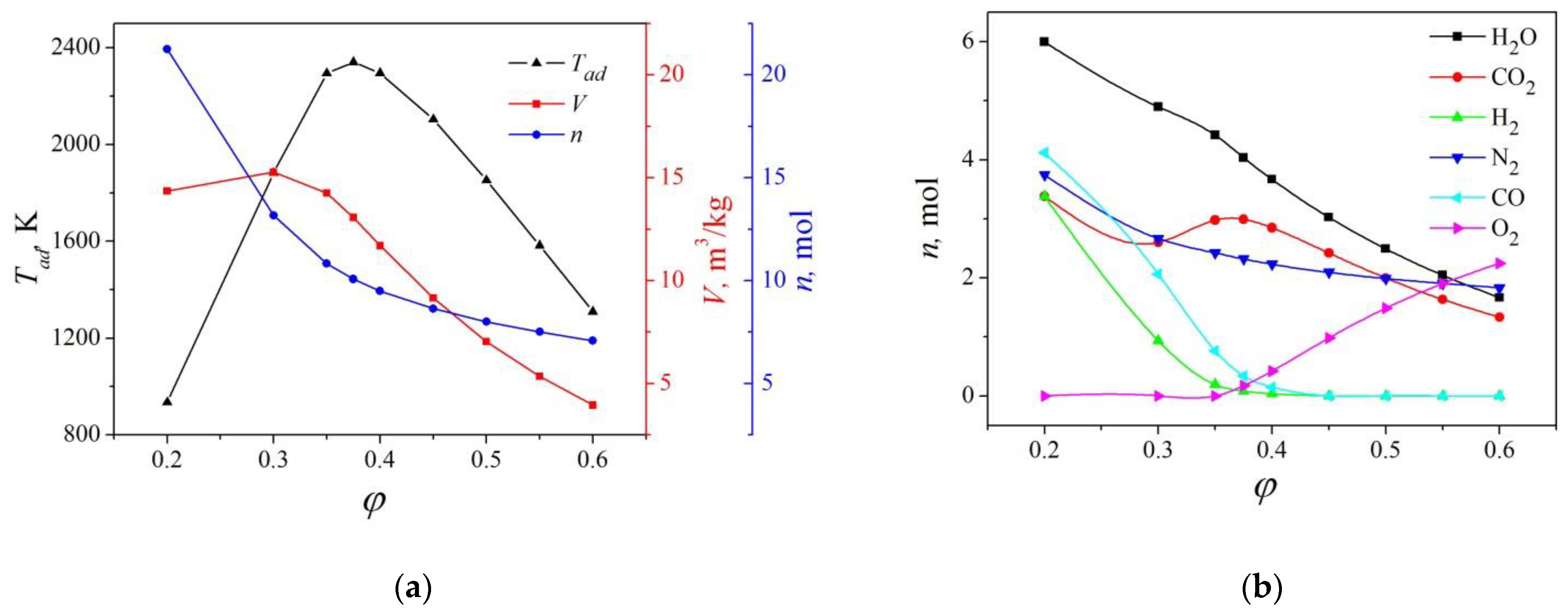
3.1. Thermodynamic Analysis of the Reaction System Y(NO3)3–NH2CH2COOH
3.2. SHS Y2O3 Powder Characterization
3.3. Properties of Y2O3 Ceramics Produced by Hot Pressing of SHS Powders
4. Conclusions
Author Contributions
Funding
Institutional Review Board Statement
Informed Consent Statement
Data Availability Statement
Conflicts of Interest
References
- Tian, F.; Ikesue, A.; Li, J. Progress and Perspectives on Composite Laser Ceramics: A Review. J. Eur. Ceram. Soc. 2022, 42, 1833–1851. [Google Scholar] [CrossRef]
- Sanghera, J.; Kim, W.; Villalobos, G.; Shaw, B.; Baker, C.; Frantz, J.; Sadowski, B.; Aggarwal, I. Ceramic Laser Materials. Materials 2012, 5, 258–277. [Google Scholar] [CrossRef] [PubMed]
- Moncorgé, R.; Guyot, Y.; Kränkel, C.; Lebbou, K.; Yoshikawa, A. Mid-Infrared Emission Properties of the Tm3+-Doped Sesquioxide Crystals Y2O3, Lu2O3, Sc2O3 and Mixed Compounds (Y,Lu,Sc)2O3 around 1.5-, 2- and 2.3-Μm. J. Lumin. 2022, 241, 118537. [Google Scholar] [CrossRef]
- Balabanov, S.; Evstropov, T.; Permin, D.; Postnikova, O.; Praded, A.; Popov, P. Thermal Conductivity of Yttria-Gadolinia Solid Solution Optical Ceramics in the Temperature Range 50–300 K. Inorganics 2022, 10, 78. [Google Scholar] [CrossRef]
- Jin, L.; Zhou, G.; Shimai, S.; Zhang, J.; Wang, S. ZrO2-Doped Y2O3 Transparent Ceramics via Slip Casting and Vacuum Sintering. J. Eur. Ceram. Soc. 2010, 30, 2139–2143. [Google Scholar] [CrossRef]
- Wang, J.; Zhang, J.; Ning, K.; Luo, D.; Yang, H.; Yin, D.; Tang, D.; Kong, L.B. Densification of Yttria Transparent Ceramics: The Utilization of Activated Sintering. J. Am. Ceram. Soc. 2016, 99, 1671–1675. [Google Scholar] [CrossRef]
- Oh, H.-M.; Park, Y.-J.; Kim, H.-N.; Ko, J.-W.; Lee, H.-K. Effect of Milling Ball Size on the Densification and Optical Properties of Transparent Y2O3 Ceramics. Ceram. Int. 2021, 47, 4681–4687. [Google Scholar] [CrossRef]
- Rhodes, W.H.; Wei, G.C.; Trickett, E.A. Lanthana-Doped Yttria: A New Infrared Window Material; Schwartz, R.W., Ed.; SPIE: Bellingham, WA, USA, 1986; p. 12. [Google Scholar]
- Snetkov, I.L.; Mukhin, I.B.; Balabanov, S.S.; Permin, D.A.; Palashov, O. V Efficient Lasing in Yb:(YLa)2O3 Ceramics. Quantum Electron. 2015, 45, 95–97. [Google Scholar] [CrossRef]
- Yavetskiy, R.P.; Balabanov, A.E.; Parkhomenko, S.V.; Kryzhanovska, O.S.; Doroshenko, A.G.; Mateychenko, P.V.; Tolmachev, A.V.; Li, J.; Jiang, N.; Gheorghe, L.; et al. Effect of Starting Materials and Sintering Temperature on Microstructure and Optical Properties of Y2O3:Yb3+ 5 At% Transparent Ceramics. J. Adv. Ceram. 2021, 10, 49–61. [Google Scholar] [CrossRef]
- Palashov, O.V.; Starobor, A.V.; Perevezentsev, E.A.; Snetkov, I.L.; Mironov, E.A.; Yakovlev, A.I.; Balabanov, S.S.; Permin, D.A.; Belyaev, A.V. Thermo-Optical Studies of Laser Ceramics. Materials 2021, 14, 3944. [Google Scholar] [CrossRef]
- Dutta, S.K.; Gazza, G.E. Transparent Y2O3 by Hot-Pressing. Mater. Res. Bull. 1969, 4, 791–796. [Google Scholar] [CrossRef]
- Hu, Z.; Xu, X.; Wang, J.; Liu, P.; Li, D.; Wang, X.; An, L.; Zhang, J.; Xu, J.; Tang, D. Spark Plasma Sintering of Sm3+ Doped Y2O3 Transparent Ceramics for Visible Light Lasers. Ceram. Int. 2017, 43, 12057–12060. [Google Scholar] [CrossRef]
- Wang, Y.; Wang, J.; Ni, M.; Liu, P.; Zhang, J.; Lee, K.Y.; Hsiang, H.-I.; Dong, Z.; Tang, D. Exploring the Evolution of Pores in HIPed Y2O3 Transparent Ceramics. Ceram. Int. 2021, 47, 11637–11643. [Google Scholar] [CrossRef]
- Mingsheng, H.; Jianbao, L.; Hong, L.; Gangfeng, G.; Long, L. Fabrication of Transparent Polycrystalline Yttria Ceramics by Combination of SPS and HIP. J. Rare Earths 2006, 24, 222–224. [Google Scholar] [CrossRef]
- Lefever, R.A.; Matsko, J. Transparent Yttrium Oxide Ceramics. Mater. Res. Bull. 1967, 2, 865–869. [Google Scholar] [CrossRef]
- Majima, K.; Niimi, N.; Watanabe, M.; Katsuyama, S.; Nagai, H. Effect of LiF Addition on the Preparation of Transparent Y2O3 by the Vacuum Hot Pressing Method. J. Alloys Compd. 1993, 193, 280–282. [Google Scholar] [CrossRef]
- Sanghera, J.; Bayya, S.; Villalobos, G.; Kim, W.; Frantz, J.; Shaw, B.; Sadowski, B.; Miklos, R.; Baker, C.; Hunt, M.; et al. Transparent Ceramics for High-Energy Laser Systems. Opt. Mater. 2011, 33, 511–518. [Google Scholar] [CrossRef]
- Balabanov, S.; Permin, D.; Evstropov, T.; Andreev, P.; Basyrova, L.; Camy, P.; Baranov, M.; Mateos, X.; Loiko, P. Hot Pressing of Yb:Y2O3 Laser Ceramics with LiF Sintering Aid. Opt. Mater. 2021, 119, 111349. [Google Scholar] [CrossRef]
- Kong, J.; Tang, D.Y.; Chan, C.C.; Lu, J.; Ueda, K.; Yagi, H.; Yanagitani, T. High-Efficiency 1040 and 1078 Nm Laser Emission of a Yb:Y2O3 Ceramic Laser with 976 Nm Diode Pumping. Opt. Lett. 2007, 32, 247. [Google Scholar] [CrossRef]
- Li, Q.; Wang, J.; Ma, J.; Ni, M.; Yang, F.; Liu, P.; Lee, K.Y.; Hsiang, H.; Shen, D.; Tang, D. Fabrication of High-efficiency Yb:Y2O3 Laser Ceramics without Photodarkening. J. Am. Ceram. Soc. 2022, 105, 3375–3381. [Google Scholar] [CrossRef]
- Ma, H.J.; Jung, W.K.; Baek, C.; Kim, D.K. Influence of Microstructure Control on Optical and Mechanical Properties of Infrared Transparent Y2O3-MgO Nanocomposite. J. Eur. Ceram. Soc. 2017, 37, 4902–4911. [Google Scholar] [CrossRef]
- Chavan, S.V.; Pillai, K.T.; Tyagi, A.K. Combustion Synthesis of Nanocrystalline Yttria: Tailoring of Powder Properties. Mater. Sci. Eng. B 2006, 132, 266–271. [Google Scholar] [CrossRef]
- Hwang, C.-C.; Tsai, J.-S.; Huang, T.-H.; Peng, C.-H.; Chen, S.-Y. Combustion Synthesis of Ni–Zn Ferrite Powder—Influence of Oxygen Balance Value. J. Solid State Chem. 2005, 178, 382–389. [Google Scholar] [CrossRef]
- Popkov, V.I.; Almjasheva, O.V.; Nevedomskiy, V.N.; Sokolov, V.V.; Gusarov, V.V. Crystallization Behavior and Morphological Features of YFeO3 Nanocrystallites Obtained by Glycine-Nitrate Combustion. Nanosyst. Phys. Chem. Math. 2015, 6, 866–874. [Google Scholar] [CrossRef]
- Belov, G.V.; Iorish, V.S.; Yungman, V.S. IVTANTHERMO for Windows—Database on Thermodynamic Properties and Related Software. Calphad 1999, 23, 173–180. [Google Scholar] [CrossRef]
- Database of Thermal Constants of Substances (Version 2). Available online: http://www.chem.msu.ru/cgi-bin/tkv.pl (accessed on 15 December 2010).
- Balabanov, S.S.; Gavrishchuk, E.M.; Kut’in, A.M.; Permin, D.A. Self-Propagating High-Temperature Synthesis of Y2O3 Powders from Y(NO3)3x (CH3COO)3(1−x) · NH2O. Inorg. Mater. 2011, 47, 484–488. [Google Scholar] [CrossRef]
- Permin, D.A.; Boldin, M.S.; Belyaev, A.V.; Balabanov, S.S.; Novikova, A.V.; Koshkin, V.A.; Murashov, A.A.; Ladenkov, I.V.; Popov, A.A.; Lantsev, E.A.; et al. IR-Transparent MgO-Y2O3 Ceramics by Self-Propagating High-Temperature Synthesis and Spark Plasma Sintering. Ceram. Int. 2020, 46, 15786–15792. [Google Scholar] [CrossRef]
- Gavrishchuk, E.M.; Klyusik, O.N.; Kut?in, A.M.; Permin, D.A. Thermodynamic Analysis of the Self-Propagating High-Temperature Synthesis of Scandium and Lutetium Oxides Nanopowders. Inorg. Mater. 2015, 51, 958–963. [Google Scholar] [CrossRef]
- Permin, D.A.; Novikova, A.V.; Gavrishchuk, E.M.; Balabanov, S.S.; Sorokin, A.A. Self-Propagating High-Temperature Synthesis of Lu2O3 Powders for Optical Ceramics. Inorg. Mater. 2017, 53, 1330–1335. [Google Scholar] [CrossRef]
- Permin, D.A.; Kurashkin, S.V.; Novikova, A.V.; Savikin, A.P.; Gavrishchuk, E.M.; Balabanov, S.S.; Khamaletdinova, N.M. Synthesis and Luminescence Properties of Yb-Doped Y2O3, Sc2O3 and Lu2O3 Solid Solutions Nanopowders. Opt. Mater. 2018, 77, 240–245. [Google Scholar] [CrossRef]
- Balabanov, S.; Filofeev, S.; Ivanov, M.; Kaigorodov, A.; Krugovykh, A.; Kuznetsov, D.; Permin, D.; Popov, P.; Rostokina, E. Fabrication and Characterizations of Erbium Oxide Based Optical Ceramics. Opt. Mater. 2020, 101, 109732. [Google Scholar] [CrossRef]
- Chaika, M.; Balabanov, S.; Permin, D. Optical Spectra and Gain Properties of Er3+:Lu2O3 Ceramics for Eye-Safe 1.5-Μm Lasers. Opt. Mater. 2021, 112, 110785. [Google Scholar] [CrossRef]
- Balabanov, S.S.; Gavrishchuk, E.M.; Drobotenko, V.V.; Katkova, E.E.; Krylov, V.A.; Storozheva, T.I.; Chernova, O.Y. Preparation of Weakly Agglomerated Yttrium Aluminum Garnet Powders by Burning a Mixture of Yttrium Aluminum Hydroxynitrates, Urea, and Acetic Acid. Inorg. Mater. 2012, 48, 478–481. [Google Scholar] [CrossRef]
- Balabanov, S.S.; Filofeev, S.V.; Ivanov, M.G.; Kalinina, E.G.; Kuznetsov, D.K.; Permin, D.A.; Rostokina, E.Y. Self-Propagating High-Temperature Synthesis of (Ho1-XLax)2O3 Nanopowders for Magneto-Optical Ceramics. Heliyon 2019, 5, e01519. [Google Scholar] [CrossRef]
- Permin, D.A.; Balabanov, S.S.; Snetkov, I.L.; Palashov, O.V.; Novikova, A.V.; Klyusik, O.N.; Ladenkov, I.V. Hot Pressing of Yb:Sc2O3 Laser Ceramics with LiF Sintering Aid. Opt. Mater. 2020, 100, 109701. [Google Scholar] [CrossRef]
- Balabanov, S.S.; Belyaev, A.V.; Novikova, A.V.; Permin, D.A.; Rostokina, E.Y.; Yavetskiy, R.P. Densification Peculiarities of Transparent MgAl2O4 Ceramics—Effect of LiF Sintering Additive. Inorg. Mater. 2018, 54, 1045–1050. [Google Scholar] [CrossRef]
- Belyaev, A.V.; Lelet, M.I.; Kirillova, N.I.; Khamaletdinova, N.M.; Boldin, M.S.; Murashov, A.A.; Balabanov, S.S. Sol-Gel Synthesis and Characterization of ZnAl2O4 Powders for Transparent Ceramics. Ceram. Int. 2019, 45, 4835–4839. [Google Scholar] [CrossRef]











| Precursor Composition, φ. | Number of Pore Clusters |
|---|---|
| 0.3 | 80 |
| 0.35 | 120 |
| 0.375 | 65 |
| 0.4 | 60 |
| 0.45 | 16 |
| 0.5 | 24 |
Disclaimer/Publisher’s Note: The statements, opinions and data contained in all publications are solely those of the individual author(s) and contributor(s) and not of MDPI and/or the editor(s). MDPI and/or the editor(s) disclaim responsibility for any injury to people or property resulting from any ideas, methods, instructions or products referred to in the content. |
© 2022 by the authors. Licensee MDPI, Basel, Switzerland. This article is an open access article distributed under the terms and conditions of the Creative Commons Attribution (CC BY) license (https://creativecommons.org/licenses/by/4.0/).
Share and Cite
Permin, D.; Postnikova, O.; Balabanov, S.; Belyaev, A.; Koshkin, V.; Timofeev, O.; Li, J. Influence of SHS Precursor Composition on the Properties of Yttria Powders and Optical Ceramics. Materials 2023, 16, 260. https://doi.org/10.3390/ma16010260
Permin D, Postnikova O, Balabanov S, Belyaev A, Koshkin V, Timofeev O, Li J. Influence of SHS Precursor Composition on the Properties of Yttria Powders and Optical Ceramics. Materials. 2023; 16(1):260. https://doi.org/10.3390/ma16010260
Chicago/Turabian StylePermin, Dmitry, Olga Postnikova, Stanislav Balabanov, Alexander Belyaev, Vitaliy Koshkin, Oleg Timofeev, and Jiang Li. 2023. "Influence of SHS Precursor Composition on the Properties of Yttria Powders and Optical Ceramics" Materials 16, no. 1: 260. https://doi.org/10.3390/ma16010260
APA StylePermin, D., Postnikova, O., Balabanov, S., Belyaev, A., Koshkin, V., Timofeev, O., & Li, J. (2023). Influence of SHS Precursor Composition on the Properties of Yttria Powders and Optical Ceramics. Materials, 16(1), 260. https://doi.org/10.3390/ma16010260

