The New Reliable pH Sensor Based on Hydrous Iridium Dioxide and Its Composites
Abstract
1. Introduction
2. Materials and Methods
2.1. Materials
2.2. Sensor’s Preparation
2.3. Conducted Measurements
3. Results
3.1. Materials’ Microstructure Characteristics
3.2. Potentiometric Response towards Hydrogen Ions
3.3. Potential Stability
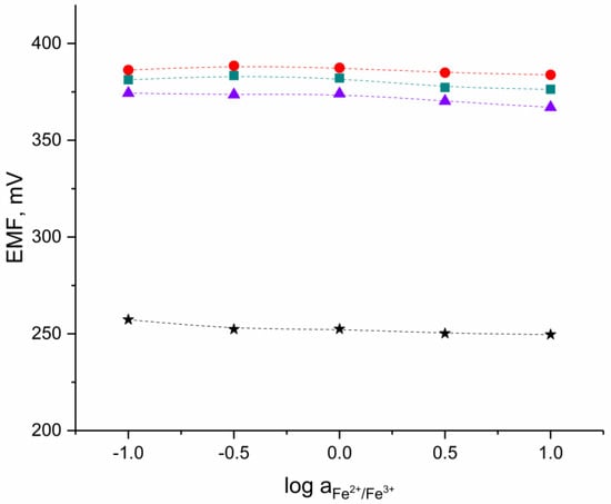
3.4. Redox Test
3.5. Light Test
3.6. Water Layer Test
3.7. Electrical Parameters of PH-Sensors
4. Discussion
5. Conclusions
Author Contributions
Funding
Institutional Review Board Statement
Informed Consent Statement
Data Availability Statement
Conflicts of Interest
References
- Sørensen, S.P.L.; Linderstrøm-Lang, K.L.C. On the ionisation of proteins. Trav. Lab. Carlsb. 1924, 15, 6. [Google Scholar]
 - Spitzer, P.; Wilson, G.S.; Rondinini, S.; Naumann, R.; Covington, A.K.; Camoes, M.F.; Mussini, T.; Milton, M.J.T.; Buck, R.P.; Brett, C.M.A.; et al. Measurement of pH. Definition, standards, and procedures (IUPAC Recommendations 2002). Pure Appl. Chem. 2007, 74, 2169–2200. [Google Scholar]
 - Shao, Y.; Ying, Y.; Ping, J. Recent advances in solid-contact ion-selective electrodes: Functional materials, transduction mechanisms, and development trends. Chem. Soc. Rev. 2020, 49, 4405–4465. [Google Scholar] [CrossRef] [PubMed]
 - Zdrachek, E.; Bakker, E. Potentiometric Sensing. Anal. Chem. 2019, 91, 2–26. [Google Scholar] [CrossRef]
 - Bakker, E.; Bühlmann, P.; Pretsch, E. Polymer membrane ion-selective electrodes-what are the limits? Electroanalysis 1999, 11, 915–933. [Google Scholar] [CrossRef]
 - Bakker, E. Ion-Selective Electrodes. In Encyclopedia of Analytical Science, 3rd ed.; Elsevier: Amsterdam, The Netherlands, 2019; pp. 231–251. [Google Scholar]
 - Haber, F.; Klemensiewicz, Z. über elektrische Phasengrenzkräfte. Z. F. Phys. Chem. 1909, 67, 385. [Google Scholar] [CrossRef]
 - Cremer, M. Über die Ursache der Elektromotorischen Eigenschaften der Gewebe, Zugleich ein Beitrag zur Lehre von den Polyphasischen Elektrolytketten; Oldenbourg: Munich, Germany, 1906. [Google Scholar]
 - Bakker, E.; Telting-Diaz, E.B. Electrochemical Sensors. Anal. Chem. 2002, 74, 2781–2800. [Google Scholar] [CrossRef]
 - Hu, J.; Stein, A.; Bühlmann, P. Rational design of all-solid-state ion-selective electrodes and reference electrodes. TrAC—Trends Anal. Chem. 2016, 76, 102–114. [Google Scholar] [CrossRef]
 - Cattrall, R.W.; Freiser, H. Coated wire ion-selective electrodes. Anal. Chem. 1971, 43, 1905–1906. [Google Scholar] [CrossRef]
 - Bobacka, J. Potential Stability of All-Solid-State Ion-Selective Electrodes Using Conducting Polymers as Ion-to-Electron Transducers. Anal. Chem. 1999, 71, 4932–4937. [Google Scholar] [CrossRef] [PubMed]
 - Nikolskii, B.P.; Materova, E. Solid contact in membrane ion-selective electrodes. In Ion-Selective Electrode Reviews; Elsevier: Amsterdam, The Netherlands, 1985; Volume 7, pp. 3–39. [Google Scholar]
 - Lenar, N.; Paczosa-Bator, B.; Piech, R. Ruthenium dioxide nanoparticles as a high-capacity transducer in solid-contact polymer membrane-based pH-selective electrodes. Microchim. Acta 2019, 186, 777–788. [Google Scholar] [CrossRef] [PubMed]
 - Zhang, J.; Guo, Y.; Li, S.; Xu, H. A solid-contact pH-selective electrode based on tridodecylamine as hydrogen neutral ionophore. Meas. Sci. Technol. 2016, 27, 105101. [Google Scholar] [CrossRef]
 - Guzinski, M.; Jarvis, J.M.; D’Orazio, P.; Izadyar, A.; Pendley, B.D.; Lindner, E. Solid-contact pH sensor without CO2 Interference with a Superhydrophobic PEDOT-C14 as solid contact: The ultimate “water layer” test. Anal. Chem. 2017, 89, 8468–8475. [Google Scholar] [CrossRef] [PubMed]
 - Crespo, G.A.; Gugsa, D.; MacHo, S.; Rius, F.X. Solid-contact pH-selective electrode using multi-walled carbon nanotubes. Anal. Bioanal. Chem. 2009, 395, 2371–2376. [Google Scholar] [CrossRef] [PubMed]
 - Lenar, N.; Paczosa-Bator, B.; Piech, R. Ruthenium dioxide as high-capacitance solid-contact layer in K+-selective electrodes based on polymer membrane. J. Electrochem. Soc. 2019, 166, B1470–B1476. [Google Scholar] [CrossRef]
 - Lenar, N.; Paczosa-Bator, B.; Piech, R.; Królicka, A. Poly(3-octylthiophene-2,5-diyl)—Nanosized ruthenium dioxide composite material as solid-contact layer in polymer membrane-based K+-selective electrodes. Electrochim. Acta 2019, 322, 134718. [Google Scholar] [CrossRef]
 - Lenar, N.; Piech, R.; Paczosa-Bator, B. Potentiometric sensor with high capacity composite composed of ruthenium dioxide and poly(3,4-ethylenedioxythiophene) polystyrene sulfonate. Materials 2021, 14, 1891. [Google Scholar] [CrossRef]
 - Fog, A.; Buck, R.P. Electronic semiconducting oxides as pH sensors. Sens. Actuators 1984, 5, 137–146. [Google Scholar] [CrossRef]
 - Fibbioli, M.; Morf, W.E.; Badertscher, M.; De Rooij, N.F.; Pretsch, E. Potential drifts of solid-contacted ion-selective electrodes due to zero-current ion fluxes through the sensor membrane. Electroanalysis 2000, 12, 1286–1292. [Google Scholar] [CrossRef]
 - Michalska, A.; Hulanicki, A.; Lewenstam, A. All solid-state hydrogen ion-selective electrode based on a conducting poly(pyrro1e) solid contact. Analyst 1994, 119, 2417–2420. [Google Scholar] [CrossRef]
 - Zuaznabar-Gardona, J.C.; Fragoso, A. A wide-range sol- id state potentiometric pH sensor based on poly-dopamine T coated carbon nano-onion electrodes. Sens. Actuators B 2018, 273, 664–671. [Google Scholar] [CrossRef]
 - Lindfors, T.; Ervelä, S.; Ivaska, A. Polyaniline as pH-sensitive component in plasticized PVC membranes. J. Electroanal. Chem. 2003, 560, 69–78. [Google Scholar] [CrossRef]
 








| Electrode | Linear Range [pH] | Slope  S ± SD [mV/pH]  | Standard Potential E0 [mV]  | 
|---|---|---|---|
| GC/hIrO2/H+-ISM | 2–11 | 54.12 ± 0.16 | 557 ± 2 | 
| GC/hIrO2-NTs/H+-ISM | 2–11 | 54.40 ± 0.19 | 548 ± 1 | 
| GC/hIrO2-NTs-POT/H+-ISM | 2–11.5 | 57.18 ± 0.07 | 554 ± 1 | 
| GC/H+-ISM | 2–7 | 48.93 ± 0.99 | 352 ± 8 | 
| Electrode | Potential Drift dE/dt ± SD [μV/s]  | Resistance R ± SD [kΩ]  | Capacitance C ± SD [μF]  | 
|---|---|---|---|
| GC/hIrO2/H+-ISM | 1531 ± 19 | 807 ± 8 | 66 ± 8 | 
| GC/hIrO2-NTs/H+-ISM | 253 ± 3 | 577 ± 4 | 174 ± 12 | 
| GC/hIrO2-NTs-POT/H+-ISM | 309 ± 14 | 299 ± 3 | 387 ± 17 | 
| Solid Contact Material | pH Linear Range | Slope [mV/pH]  | Potential Drift [mV/h]  | Capacitance [μF]  | Reference | 
|---|---|---|---|---|---|
| Polypyrrole doped with hexacyanoferrate(II) (PPy-Fe(CN))  | 2–12 | 56.9 ± 4.3 | 0.005 | - | [23] | 
| Multi-walled carbon nanotube (MWCNT)  | 2.89–9.90 | 58.8 ± 0.4 | 0.5 | 30 | [17] | 
| Polydopamine-carbon nano-onion (CNO-PDA)  | 1.50–10.50 | 60.1 ± 0.3 | - | - | [24] | 
| Polyaniline (PANI)  | 2–9 | 52.7 ± 1.1 | - | - | [25] | 
| Derivative of poly(3,4-ethylenedioxythiophene)  (PEDOT-C14)  | 3–11 | 57.7 ± 0.2 | - | - | [16] | 
| poly(3,4-ethylenedioxythiophene)−poly(styrenesulfonate) (PEDOT-PSS)  | 5–10.3 | 55.7± 0.5 | 2.4 | - | [15] | 
| Hydrous ruthenium dioxide (RuO2)  | 2–12 | 59.31 ± 0.15 | 0.15 | 1120 | [14] | 
| Hydrous iridium dioxide (IrO2)  | 2–11 | 54.12 ± 0.16 | 0.1 | 66 | this work | 
| Iridium dioxide-carbon nanotubes (IrO2-NT)  | 2–11 | 54.40 ± 0.19 | 0.077 | 174 | this work | 
| Iridium dioxide-carbon nanotubes- poly(3-octylthiophene-2,5-diyl) (IrO2-NT-POT)  | 2–11.5 | 57.18 ± 0.07 | 0.036 | 387 | this work | 
Disclaimer/Publisher’s Note: The statements, opinions and data contained in all publications are solely those of the individual author(s) and contributor(s) and not of MDPI and/or the editor(s). MDPI and/or the editor(s) disclaim responsibility for any injury to people or property resulting from any ideas, methods, instructions or products referred to in the content.  | 
© 2022 by the authors. Licensee MDPI, Basel, Switzerland. This article is an open access article distributed under the terms and conditions of the Creative Commons Attribution (CC BY) license (https://creativecommons.org/licenses/by/4.0/).
Share and Cite
Lenar, N.; Piech, R.; Paczosa-Bator, B. The New Reliable pH Sensor Based on Hydrous Iridium Dioxide and Its Composites. Materials 2023, 16, 192. https://doi.org/10.3390/ma16010192
Lenar N, Piech R, Paczosa-Bator B. The New Reliable pH Sensor Based on Hydrous Iridium Dioxide and Its Composites. Materials. 2023; 16(1):192. https://doi.org/10.3390/ma16010192
Chicago/Turabian StyleLenar, Nikola, Robert Piech, and Beata Paczosa-Bator. 2023. "The New Reliable pH Sensor Based on Hydrous Iridium Dioxide and Its Composites" Materials 16, no. 1: 192. https://doi.org/10.3390/ma16010192
APA StyleLenar, N., Piech, R., & Paczosa-Bator, B. (2023). The New Reliable pH Sensor Based on Hydrous Iridium Dioxide and Its Composites. Materials, 16(1), 192. https://doi.org/10.3390/ma16010192
        
