Structural, Thermal and Magnetic Analysis of Two Fe-X-B (X = Nb, NiZr) Nanocrystalline Alloy
Abstract
1. Introduction
2. Materials and Methods
3. Results and Discussion
3.1. Morphology Analysis
3.2. XRD Analysis
3.3. Thermal Analysis
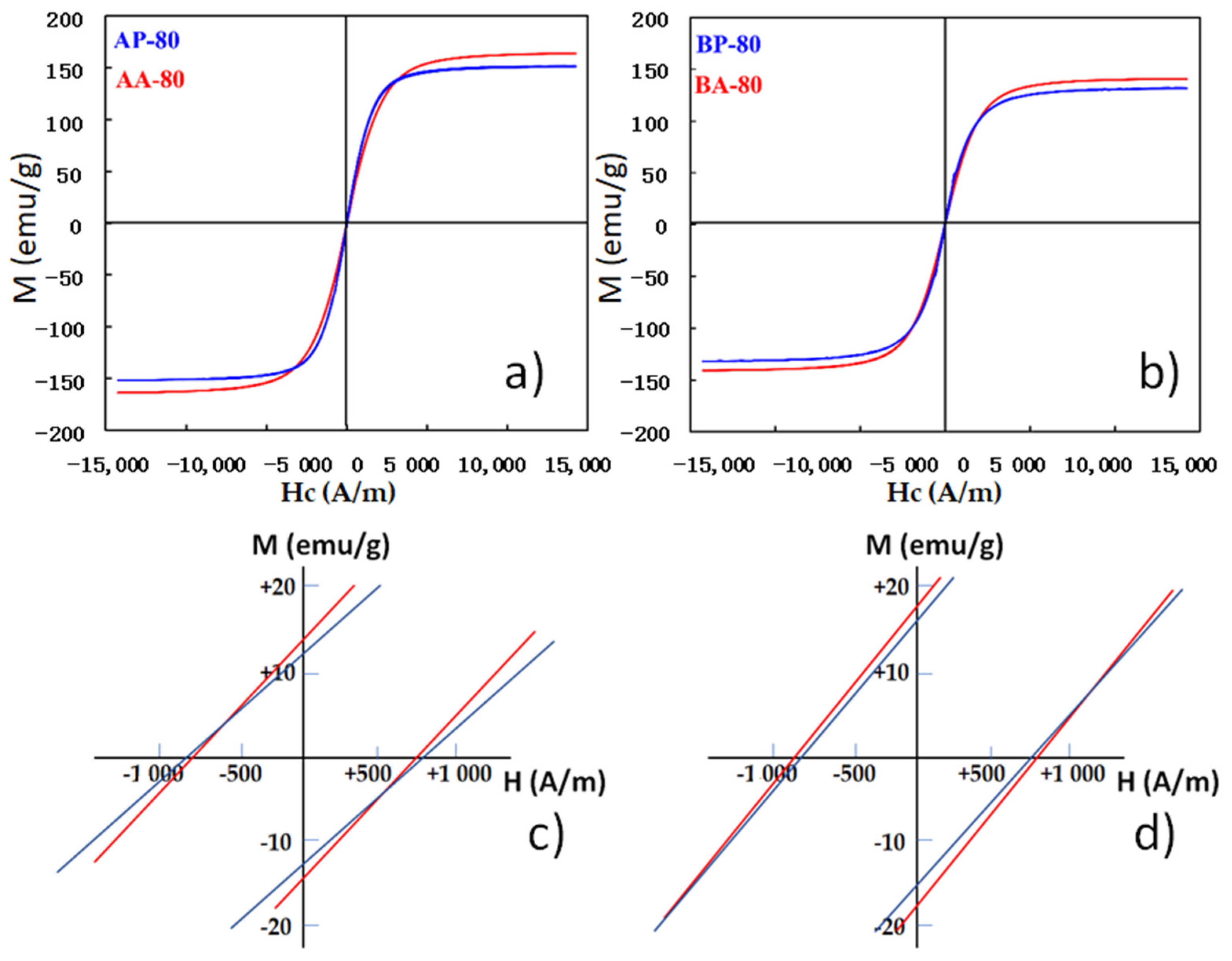
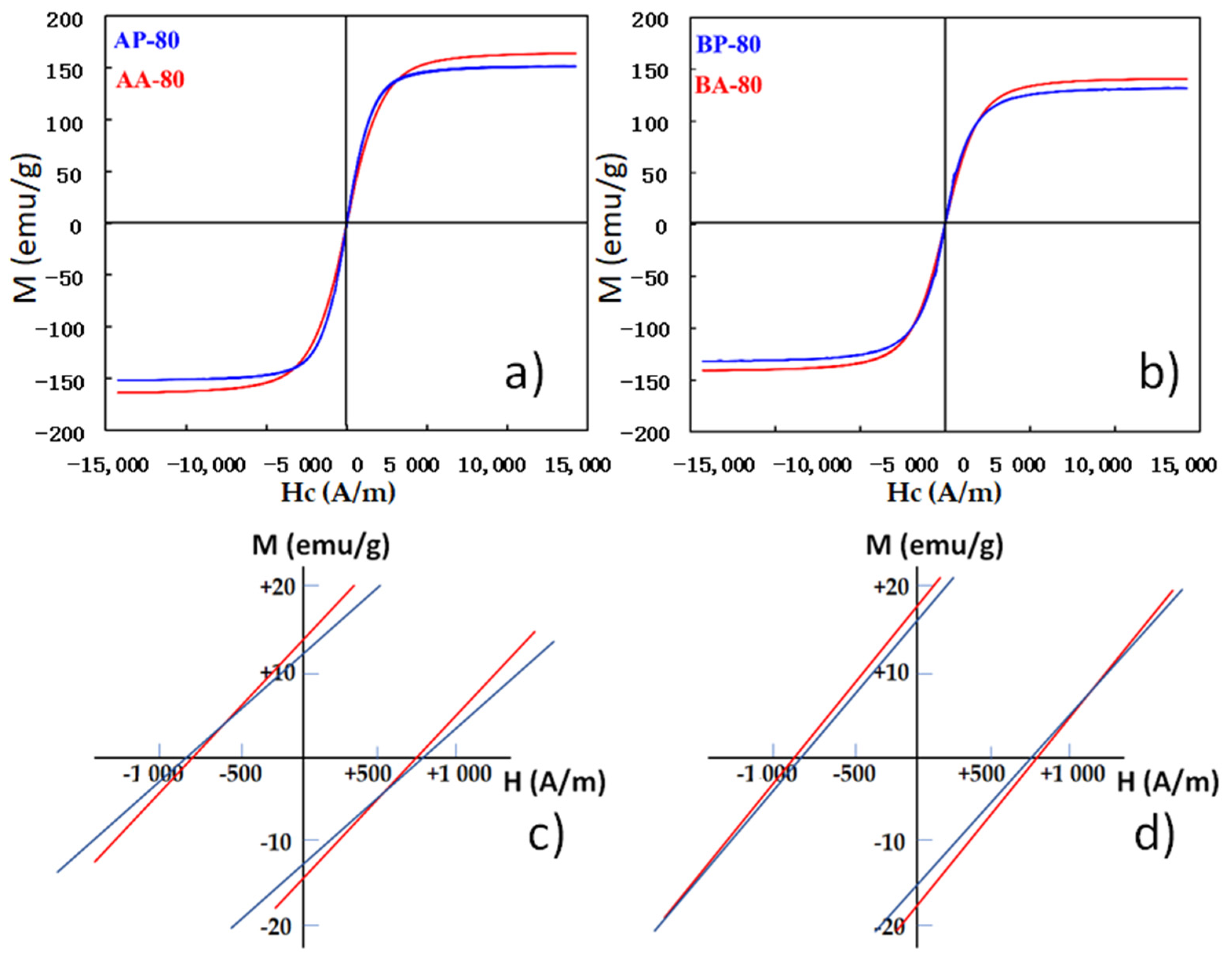
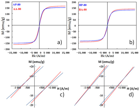
3.4. Magnetic Analysis
4. Conclusions
Author Contributions
Funding
Institutional Review Board Statement
Informed Consent Statement
Data Availability Statement
Conflicts of Interest
References
- Ma, H.J.; Wei, W.Q.; Bao, W.K.; Shen, X.B.; Wang, C.C.; Wang, W.M. Research progress and application prospect of Fe-based nanocrystalline soft magnetic alloys. Rare Metal Mater. Eng. 2020, 49, 2904–2912. [Google Scholar]
- Sun, Y.; Li, J.W.; He, A.A.; Xie, L.; Dong, Y.Q.; Liu, Y.X.; Zhang, R.H.; Zhang, K.W. Influence of microstructure and anisotropy on the high-frequency soft magnetic properties of nanocrystalline FeSiBNbCuP alloys. J. Magn. Magn. Mater. 2022, 560, 169639. [Google Scholar] [CrossRef]
- Suzuki, K.; Parsons, R.; Zang, B.; Onodera, K.; Kishimoto, H.; Shoji, T.; Kato, A. Nanocrystalline soft magnetic materials from binary alloy precursors with high saturation magnetization. AIP Adv. 2019, 9, 035311. [Google Scholar] [CrossRef]
- Kolano-Burian, A.; Kowalczyk, M.; Grabias, A.; Radon, A.; Blyskun, P.; Warski, T.; Karpinski, M.; Hawelek, L.; Kulik, T. The influence of ultra-rapid annealing on nanocrystallization and magnetic properties of Fe76-xNi10B14. J. Alloys Compd. 2022, 921, 165943. [Google Scholar] [CrossRef]
- Suryanarayana, C.; Al-Joubori, A.A.; Wang, Z. Nanostructured materials and nanocomposites by mechanical alloying: An overview. Met. Mater. Inter. 2022, 28, 41–53. [Google Scholar] [CrossRef]
- Blázquez, J.S.; Ipus, J.J.; Conde, C.F.; Conde, A. Evolution of Fe environments in mechanically alloyed Fe-Nb-(B) compositions. J. Alloys Comp. 2014, 615, s555–s558. [Google Scholar] [CrossRef]
- Suñol, J.J.; González, A.; Saurina, J.; Escoda, L.; Bruna, P. Thermal and structural characterization of Fe-Nb-B alloys prepared by mechanical alloying. Mater. Sci. Eng. A 2002, 375–377, 874–880. [Google Scholar] [CrossRef]
- Alleg, S.; Hamouda, A.; Bensalem, R.; Suñol, J.J.; Greneche, J.M.; Azzaza, S. Solid state amorphization transformation in the mechanically alloyed Fe27.9Nb2.2B69.9 powders. Mater. Chem. Phys. 2010, 122, 35–40. [Google Scholar] [CrossRef]
- Ipus, J.J.; Blázquez, J.S.; Franco, V.; Conde, A. Mechanical alloying of Fe100-x-yNbxBy (x = 5, 10; y = 10, 15): From pure powder mixture to amorphous phase. Intermetallics 2008, 16, 1073–1082. [Google Scholar] [CrossRef]
- Alleg, S.; Ibrir, M.; Fenineche, N.E.; Azzaza, S.; Bensalem, R.; Suñol, J.J. Magnetic and structural characterization of the mechanically alloyed Fe75Si15B10 powders. J. Alloys Compd. 2010, 494, 109–111. [Google Scholar] [CrossRef]
- Chabi, T.; Alleg, S.; Suñol, J.J.; Bensebaaa, N.; Azzaza, S.; Hlil, E.K. Effect of the boron content on the amorphization process and magnetic properties of the mechanically alloyed Fe92-xNb8Bx powders. J. Supercond. Nov. Magn. 2019, 32, 893–901. [Google Scholar] [CrossRef]
- Mnasri, C.; Cheminghi, M.; Nivot, C.; Tricoteeaux, A.; Lorgouilloux, Y.; Dammak, M. Phase transformation and microstructural evolution in nanocrystalline Fe71B23Nb6 alloy prepared by mechanical alloying. Inter. J. Mater. Res. 2020, 111, 307–315. [Google Scholar]
- Ipus, J.J.; Blázquez, J.S.; Franco, V.; Lozano-Pérez, S.; Conde, A. Role of starting phase of boron on the mechanical alloying of FeNbB composition. J. Alloys Compd. 2013, 553, 119–124. [Google Scholar] [CrossRef]
- Lamoglia, M.S.; Goncalves, P.H.; Pontes, A.M.P.; Serrano, L.B.; Silva, G.; da Silva, A.A.A.P. Effect of Process control agents on Fe-15at.%Nb powder during mechanical alloying. Mater. Res. Ibero-Amer. J. Mater. 2022, 25, e20210318. [Google Scholar] [CrossRef]
- Hong, S.J.; Kao, P.W. Mechanical properties of AlSiC composites made by resistance sintering of mechanically alloyed powders. Mater. Sci. Eng. A 1991, 148, 189–195. [Google Scholar] [CrossRef]
- Suryanarayana, C. Mechanical alloying: A critical review. Mater. Res. Lett. 2022, 10, 619–647. [Google Scholar] [CrossRef]
- Yapici, G.G. simultaneous improvement in strength and ductility of severely deformed niobium alloy. Mater. Lett. 2020, 279, 128443. [Google Scholar] [CrossRef]
- Izumi, K.; Seriya, C.; Okada, K.; Kudou, K.; Shishido, T. Mechanochemically alloyed assisted preparation of NbB2 powder. J. Eur. Ceram. Soc. 2006, 26, 635–638. [Google Scholar] [CrossRef]
- Malayathodi, R.; Sreekanth, M.S.; Deepak, A.; Dev, K.; Surendranathan, A.O. Effect of milling time on production of aluminium nanoparticle by high energy ball milling. Int. J. Mech. Eng. Technol. 2018, 46, 646–652. [Google Scholar]
- Suryanarayana, C. Mechanical alloying and milling. Prog. Mater. Sci. 2001, 46, 1–184. [Google Scholar] [CrossRef]
- Cotai, A.; Miraglia, S.; Neamtu, B.V.; Marinca, T.F.; Chicinas, H.F.; Isnard, O.; Chicinas, I. A comparative study of nanocrystalline Fe38.5Co38.5Nb7P15Cu1 alloys obtained by mechanical alloying and rapid quenching. Arch. Metall. Mater. 2022, 67, 555–561. [Google Scholar]
- Ipus, J.J.; Blázquez, J.S.; Franco, V.; Conde, A. The use of amorphous boron powder enhances mechanical alloying in soft magnetic Fe-Nb-B alloy: A magnetic study. J. Appl. Phys. 2013, 113, 17A330. [Google Scholar] [CrossRef]
- Kissinger, H.E. Reaction kinetics in differential thermal analysis. Anal. Chem. 1957, 29, 1702–1706. [Google Scholar] [CrossRef]
- Silveira, J.M.; Ferrara, E.; Huber, D.L.; Monson, T.C. Soft Magnetic materials for a sustainable and electrified world. Science 2018, 362, eaao0195. [Google Scholar] [CrossRef] [PubMed]
- Triki, M.; Mechri, T.; Azzaz, H.; Azzaz, M. Characterization of nanostructured magnetic alloy based on Ni-Co-Mn produced by mechanical alloying. J. Magn. Magn. Mater. 2002, 541, 168514. [Google Scholar] [CrossRef]
- Sun, Y.M.; Yu, W.Q.; Hua, Z. Effect of the thermal treatment on the microstructure and Magnetic property of Fe68Zr20B12 alloy prepared by mechanical alloying. Acta Phys. Pol. A 2011, 119, 374–377. [Google Scholar] [CrossRef]
- Ulianov, A.L.; Elsukov, E.P.; Eremina, M.A.; Zagaimov, A.V.; Chulkina, A.A. Structural and phase transformations during heat treatment of the Fe71.4Si14.3C14.3 amorphous alloy prepared by mechanical alloying. Phys. Met. Metallogr. 2010, 110, 542–552. [Google Scholar] [CrossRef]
- Carrillo, A.; Daza, J.; Saurina, J.; Escoda, L.; Suñol, J.J. Structural, thermal and magnetic analysis of Fe75Co10Nb6B9 and Fe65Co20Nb6B9 nanostructured alloys. Materials 2021, 14, 4542. [Google Scholar] [CrossRef]









| Samples | A = Fe80(NiZr)8B12 | B = Fe80Nb8B12 |
|---|---|---|
| MA for 40 h (powder) | AP-40 | BP-40 |
| MA for 40 h (agglomerate) | AA-40 | BA-40 |
| MA for 80 h (powder) | AP-80 | BP-80 |
| MA for 80 h (agglomerate) | AA-80 | BA-80 |
| MA for 80 h (compacted) | AC-80 | BC-80 |
| Samples | a (Ǻ) | Crystallite Size (nm) | ε (%) | ρ (1016 m−2) | Rwp (%) | Rexp (%) | GoF |
|---|---|---|---|---|---|---|---|
| AP-40 | 2.869(4) | 11.98 | 0.33 (6) | 0.69 (6) | 16.50 | 15.257 | 1.081 |
| AA-40 | 2.869(3) | 11.19 | 0.53 (1) | 0.79 (8) | 17.456 | 16.27 | 1.072 |
| AP-80 | 2.870(1) | 14.47 | 0.55 (1) | 0.47 (7) | 14.920 | 13.552 | 1.100 |
| AA-80 | 2.869(9) | 14.05 | 0.61 (3) | 0.50 (6) | 16.153 | 14.396 | 1.121 |
| AC-80 | 2.869(1) | 26.11 | 0.30 (1) | 0.14 (6) | 17.258 | 13.585 | 1.270 |
| Samples | a (Ǻ) | Crystallite Size (nm) | ε (%) | ρ (1016 m−2) | Rwp (%) | Rexp (%) | GoF |
|---|---|---|---|---|---|---|---|
| BP-40 | 2.876(1) | 8.21 | 0.34 (3) | 1.48 (3) | 18.657 | 14.924 | 1.250 |
| BA-40 | 2.876(9) | 12.15 | 0.46 (8) | 0.67 (7) | 20.490 | 14.26 | 1.43 |
| BP-80 | 2.876(4) | 12.02 | 0.48 (7) | 0.69 (2) | 16.36 | 13.17 | 1.241 |
| BA-80 | 2.880(9) | 11.78 | 0.51 (1) | 0.72 (1) | 16.09 | 13.65 | 1.178 |
| BC-80 | 2.879(7) | 15.45 | 0.44 (6) | 0.41 (8) | 14.89 | 13.49 | 1.06 |
| Samples | Activation Energy/kJ mol−1 | Samples | Activation Energy/kJ mol−1 |
|---|---|---|---|
| AP-40 | 214 (6) | BP-40 | 173 (13) |
| AA-40 | 290 (4) | BA-40 | 222 (6) |
| AP-80 | 221 (18) | BP-80 | 199 (5) |
| AA-80 | 314 (9) | BA-80 | 182 (3) |
| AC-80 | 231 (20) | BC-80 | 205 (10) |
| Samples | Hc (A/m) | Mr (emu/g) | Ms (emu/g) | Mr/Ms |
|---|---|---|---|---|
| AP-80 | 770 | 13.8 | 151.0 | 0.091 |
| AA-80 | 785 | 11.5 | 163.6 | 0.007 |
| BP-80 | 812 | 18.1 | 131.3 | 0.138 |
| BA-80 | 833 | 17.3 | 140.8 | 0.123 |
| Sample | Hc (RT) /A m−1 | Hc (300 °C) /A m−1 | Hc (600 °C) /A m−1 |
|---|---|---|---|
| Fe80(NiZr)8B12 | 827 | 784 | 1873 |
| Fe80Nb8B12 | 845 | 807 | 2012 |
Disclaimer/Publisher’s Note: The statements, opinions and data contained in all publications are solely those of the individual author(s) and contributor(s) and not of MDPI and/or the editor(s). MDPI and/or the editor(s) disclaim responsibility for any injury to people or property resulting from any ideas, methods, instructions or products referred to in the content. |
© 2022 by the authors. Licensee MDPI, Basel, Switzerland. This article is an open access article distributed under the terms and conditions of the Creative Commons Attribution (CC BY) license (https://creativecommons.org/licenses/by/4.0/).
Share and Cite
Zaara, K.; Daza, J.; Ben Mbarek, W.; Suñol, J.-J. Structural, Thermal and Magnetic Analysis of Two Fe-X-B (X = Nb, NiZr) Nanocrystalline Alloy. Materials 2023, 16, 155. https://doi.org/10.3390/ma16010155
Zaara K, Daza J, Ben Mbarek W, Suñol J-J. Structural, Thermal and Magnetic Analysis of Two Fe-X-B (X = Nb, NiZr) Nanocrystalline Alloy. Materials. 2023; 16(1):155. https://doi.org/10.3390/ma16010155
Chicago/Turabian StyleZaara, Kaouther, Jason Daza, Wael Ben Mbarek, and Joan-Josep Suñol. 2023. "Structural, Thermal and Magnetic Analysis of Two Fe-X-B (X = Nb, NiZr) Nanocrystalline Alloy" Materials 16, no. 1: 155. https://doi.org/10.3390/ma16010155
APA StyleZaara, K., Daza, J., Ben Mbarek, W., & Suñol, J.-J. (2023). Structural, Thermal and Magnetic Analysis of Two Fe-X-B (X = Nb, NiZr) Nanocrystalline Alloy. Materials, 16(1), 155. https://doi.org/10.3390/ma16010155

