Prediction of Ultrasonic Pulse Velocity for Cement, Mortar, and Concrete through a Multiscale Homogenization Approach
Abstract
:1. Introduction
2. Micromechanical Homogenization
3. Ultrasonic Pulse Velocity Model for Cement Paste
3.1. Hydration Model and Volume Fraction
3.2. Velocity Prediction
4. Ultrasonic Pulse Velocity Model Upgraded to Mortar and Concrete
4.1. Velocity Model for Mortar
4.2. Velocity Model for Concrete
5. Experimental Verification
5.1. Experimental Setup
5.2. Experimental Results and Comparison
6. Conclusions
- Based on the multiscale homogenization method and the elasticity formulation of homogenized multiphase materials, a multiscale ultrasonic pulse velocity model is established which can predict elastic parameters and ultrasonic pulse velocity during the hydration process, according to material parameters, mixture, and age.
- In this model, the iterative calculation of elastic parameters requires different schemes at different scales. The self-consistent scheme is applied at the scale of cement paste, while the Mori-Tanaka scheme is used at the mortar and concrete scales.
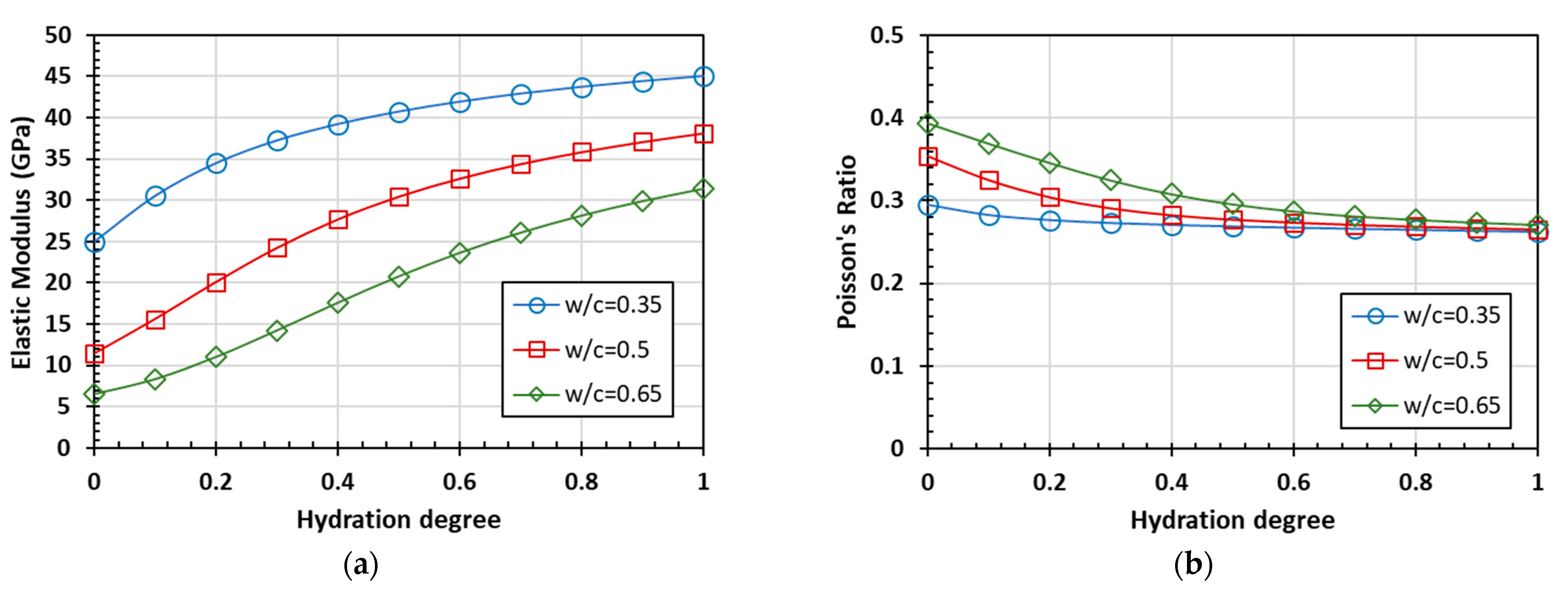
- The elastic parameters and ultrasonic pulse velocity at three scales of cement paste, mortar, and concrete were predicted by this model with the water-to-cement ratios of 0.35, 0.5, and 0.65, respectively. At the scale of cement paste, the volume fraction of water and the proportion of hydrates are the main influencing factors of the initial ultrasonic pulse velocity and final ultrasonic pulse velocity, respectively. At the scale of mortar and concrete, the aggregates make the influence of the water-to-cement ratio gradually decrease as hydration progresses, with the large volume fraction and stable nature.
- According to the experiments detailed in this paper, the relative error of the measured ultrasonic pulse velocity and the predicted value is within ±1.5%. According to Ye’s study [12], the ultrasonic pulse velocity of concrete was predicted by the prediction model, and the obtained prediction value agreed well with the measured value. Thus, the model is reliable for predicting the ultrasonic pulse velocity of concrete materials. This has reference value for the prediction of cement-based ultrasonic pulse velocity. However, for special concrete, the elastic parameters of special aggregates are very different from that of ordinary concrete, which cannot be ignored in the prediction of elastic parameters. Research will be carried out on the prediction of ultrasonic pulse velocity for special concrete in the future.
Author Contributions
Funding
Institutional Review Board Statement
Informed Consent Statement
Data Availability Statement
Acknowledgments
Conflicts of Interest
References
- Lin, Y.; Shih-Fang, K.; Hsiao, C.; Chao-Peng, L. Investigation of Pulse Velocity-Strength Relationship of Hardened Concrete. ACI Mater. J. 2007, 104, 344. [Google Scholar]
- Trtnik, G.; Kavčič, F.; Turk, G. Prediction of Concrete Strength Using Ultrasonic Pulse Velocity and Artificial Neural Networks. Ultrasonics 2009, 49, 53–60. [Google Scholar] [CrossRef] [PubMed] [Green Version]
- Lin, Y.; Lin, Y.; Chan, C. Use of Ultrasonic Pulse Velocity to Estimate Strength of Concrete at Various Ages. Mag. Concr. Res. 2016, 68, 739–749. [Google Scholar] [CrossRef]
- Phoon, K.K.; Wee, T.H.; Loi, C.S. Development of Statistical Quality Assurance Criterion for Concrete Using Ultrasonic Pulse Velocity Method. Mater. J. 1999, 96, 568–574. [Google Scholar]
- Hedjazi, S.; Castillo, D. Relationships among Compressive Strength and UPV of Concrete Reinforced with Different Types of Fibers. Heliyon 2020, 6, e03646. [Google Scholar] [CrossRef] [PubMed]
- Velay-Lizancos, M.; Martinez-Lage, I.; Azenha, M.; Vázquez-Burgo, P. Influence of Temperature in the Evolution of Compressive Strength and in its Correlations with UPV in Eco-Concretes with Recycled Materials. Constr. Build. Mater. 2016, 124, 276–286. [Google Scholar] [CrossRef]
- Yan, D.; Tian, Y.; Liu, K.; Chen, S.; Zeng, Q.; Ruan, S. Evaluation of Mechanical Properties of Concrete after Exposure to Elevated Temperatures Using Ultrasonic Pulse Velocity Measurement and a Split-Hopkinson Pressure Bar. J. Mater. Civil Eng. 2021, 33, 04021352. [Google Scholar] [CrossRef]
- Wang, Z.; Wang, Y.; Zhang, D.; Ueda, T. Experimental CT Imaging Verification for Non-Uniform Frost Damage Simulation of Concrete in Mesoscale. In Proceedings of the 7th International Conference of Asian Concrete Federation, Hanoi, Vietnam, 30 October–2 November 2016. [Google Scholar]
- Wang, Z.; Gong, F.; Zhang, D.; Hayashida, H.; Ueda, T. Mesoscale Simulation of Concrete Behavior with Non-Uniform Frost Damage with Verification by CT Imaging. Constr. Build Mater. 2017, 157, 203–213. [Google Scholar] [CrossRef]
- Ashrafian, A.; Taheri Amiri, M.J.; Rezaie-Balf, M.; Ozbakkaloglu, T.; Lotfi-Omran, O. Prediction of Compressive Strength and Ultrasonic Pulse Velocity of Fiber Reinforced Concrete Incorporating Nano Silica Using Heuristic Regression Methods. Constr. Build Mater. 2018, 190, 479–494. [Google Scholar] [CrossRef]
- Maalej, S.; Lafhaj, Z.; Bouassida, M. Micromechanical Modelling of Dry and Saturated Cement Paste: Porosity Assessment Using Ultrasonic Waves. Mech. Res. Commun. 2013, 51, 8–14. [Google Scholar] [CrossRef]
- Ye, G.; van Breugel, K.; Fraaij, A.L.A. Experimental Study and Numerical Simulation on the Formation of Microstructure in Cementitious Materials at Early Age. Cem. Concr. Res. 2003, 33, 233–239. [Google Scholar] [CrossRef]
- Robeyst, N.; Gruyaert, E.; Grosse, C.U.; De Belie, N. Monitoring the Setting of Concrete Containing Blast-Furnace Slag by Measuring the Ultrasonic P-Wave Velocity. Cem. Concr. Res. 2008, 38, 1169–1176. [Google Scholar] [CrossRef]
- Abo-Qudais, S.A. Effect of Concrete Mixing Parameters on Propagation of Ultrasonic Waves. Constr. Build Mater. 2005, 19, 257–263. [Google Scholar] [CrossRef]
- Lafhaj, Z.; Goueygou, M.; Djerbi, A.; Kaczmarek, M. Correlation between Porosity, Permeability and Ultrasonic Parameters of Mortar with Variable Water/Cement Ratio and Water Content. Cem. Concr. Res. 2006, 36, 625–633. [Google Scholar] [CrossRef]
- Lin, Y.; Lai, C.P.; Yen, T. Prediction of Ultrasonic Pulse Velocity (UPV) in Concrete. ACI Mater. J. 2003, 100, 21–28. [Google Scholar]
- Ayaz, Y.; Kocamaz, A.F.; Karakoç, M.B. Modeling of Compressive Strength and UPV of High-Volume Mineral-Admixtured Concrete Using Rule-Based M5 Rule and Tree Model M5P Classifiers. Constr. Build Mater. 2015, 94, 235–240. [Google Scholar] [CrossRef]
- Chang, T.; Lin, H.; Chang, W.; Hsiao, J. Engineering Properties of Lightweight Aggregate Concrete Assessed by Stress Wave Propagation Methods. Cem. Concr. Compos. 2006, 28, 57–68. [Google Scholar] [CrossRef]
- Liu, J.; Xu, S.; Zeng, Q. A Multi-Scale Micromechanical Investigation on Thermal Conductivity of Cement-Based Composites. In Proceedings of the IOP Conference Series: Materials Science and Engineering, Sanya, China, 19–21 November 2016. [Google Scholar]
- Niu, Z.; Shen, J.; Wang, L.; Yang, R. Thermo-Poroelastic Modelling of Cement Sheath: Pore Pressure Response, Thermal Effect and Thermo-Osmotic Effect. Eur. J. Environ. Civ. Eng. 2019, 26, 657–682. [Google Scholar] [CrossRef]
- Yang, R.; Lemarchand, E.; Fen-Chong, T. A Micromechanics Model for Solute Diffusion Coefficient in Unsaturated Granular Materials. Transp. Porous Med. 2016, 111, 347–368. [Google Scholar] [CrossRef]
- Yang, R.; Lemarchand, E.; Fen-Chong, T.; Li, K. Prediction of Permeability of Monodisperse Granular Materials with a Micromechanics Approach. J. Appl. Geophys. 2016, 127, 82–90. [Google Scholar] [CrossRef]
- Wang, Y.; Li, J.; Ueda, T.; Zhang, D.; Deng, J. Meso-Scale Mechanical Deterioration of Mortar Subjected to Freeze Thaw Cycles and Sodium Chloride Attack. Cem. Concr. Compos. 2021, 117, 103906. [Google Scholar] [CrossRef]
- Yang, R.; Lemarchand, E.; Fen-Chong, T.; Azouni, A. A Micromechanics Model for Partial Freezing in Porous Media. Int. J. Solids Struct. 2015, 75, 109–121. [Google Scholar] [CrossRef]
- Zeng, Q.; Fen-Chong, T.; Dangla, P.; Li, K. A Study of Freezing Behavior of Cementitious Materials by Poromechanical Approach. Int. J. Solids Struct. 2011, 48, 3267–3273. [Google Scholar] [CrossRef]
- Constantinides, G.; Ulm, F. The Effect of Two Types of C-S-H on the Elasticity of Cement-Based Materials: Results from Nanoindentation and Micromechanical Modeling. Cem. Concr. Res. 2004, 34, 67–80. [Google Scholar] [CrossRef]
- Ulm, F.J.; Constantinides, G.; Heukamp, F.H. Is Concrete a Poromechanics Materials?—A Multiscale Investigation of Poroelastic Properties. Mater. Struct. 2004, 37, 43–58. [Google Scholar] [CrossRef]
- Bernard, O.; Ulm, F.; Lemarchand, E. A Multiscale Micromechanics-Hydration Model for the Early-Age Elastic Properties of Cement-Based Materials. Cem. Concr. Res. 2003, 33, 1293–1309. [Google Scholar] [CrossRef]
- Hellmich, C.; Mang, H. Shotcrete Elasticity Revisited in the Framework of Continuum Micromechanics: From Submicron to Meter Level. J. Mater. Civ. Eng. 2005, 17, 246–256. [Google Scholar] [CrossRef]
- Pichler, B.; Hellmich, C.; Eberhardsteiner, J. Spherical and Acicular Representation of Hydrates in a Micromechanical Model for Cement Paste: Prediction of Early-Age Elasticity and Strength. Acta Mech. 2009, 203, 137–162. [Google Scholar] [CrossRef]
- Tragazikis, I.K.; Kordatou, T.Z.; Exarchos, D.A.; Dalla, P.T.; Matikas, T.E. Monitoring the Hydration Process in Carbon Nanotube Reinforced Cement-Based Composites Using Nonlinear Elastic Waves. Appl. Sci. 2021, 11, 1720. [Google Scholar] [CrossRef]
- Lefever, G.; Snoeck, D.; De Belie, N.; Van Hemelrijck, D.; Aggelis, D.G. Elastic Wave Monitoring of Cementitious Mixtures Including Internal Curing Mechanisms. Sensors 2021, 21, 2463. [Google Scholar] [CrossRef]
- Iliopoulos, S.; Vila Neves, R.; Chenu, A.; Angelis, D. Early Age Ultrasonic Testing of Concrete Composed of Glass Spheres as Aggregates. In Proceedings of the Structural Faults and Repair 2016 International Conference Proceedings, Edinburgh, Scotland, 17–19 May 2016. [Google Scholar]
- Gong, F.; Ueda, T.; Wang, Y.; Zhang, D.; Wang, Z. Mesoscale Simulation of Fatigue Behavior of Concrete Materials Damaged by Freeze-Thaw Cycles. Constr. Build Mater. 2017, 144, 702–716. [Google Scholar] [CrossRef] [Green Version]
- Gong, F.; Wang, Y.; Ueda, T.; Zhang, D. Modeling and Mesoscale Simulation of Ice-Strengthened Mechanical Properties of Concrete at Low Temperatures. J. Eng. Mech. 2017, 143, 04017022. [Google Scholar] [CrossRef]
- Berryman, J.G. Long-Wavelength Propagation in Composite Elastic Media II. Ellipsoidal Inclusions. J. Acoust. Soc. Am. 1980, 68, 1820–1831. [Google Scholar] [CrossRef]
- Mori, T.; Tanaka, K. Average Stress in Matrix and Average Elastic Energy of Materials with Misfitting Inclusions. Acta Metall. 1973, 21, 571–574. [Google Scholar] [CrossRef]
- Kröner, E. Bounds for Effective Elastic Moduli of Disordered Materials. J. Mech. Phys. Solids 1977, 25, 137–155. [Google Scholar] [CrossRef]
- Ullah, S.; Pichler, B.; Scheiner, S.; Hellmich, C. Influence of Shotcrete Composition on Load-Level Estimation in NATM-tunnel Shells: Micromechanics-Based Sensitivity Analyses. Int. J. Numer. Anal. Methods Géoméch. 2012, 36, 1151–1180. [Google Scholar] [CrossRef]
- Acker, P. Micromechanical Analysis of Creep and Shrinkage Mechanisms. In Creep, Shrinkage and Durability Mechanics of Concrete and Other Quasi-Brittle Materials; Elsevier: Cambridge, MA, USA, 2001; pp. 15–25. [Google Scholar]
- Tennis, P.D.; Jennings, H.M. A Model for Two Types of Calcium Silicate Hydrate in the Microstructure of Portland Cement Pastes. Cem. Concr. Res. 2000, 30, 855–863. [Google Scholar] [CrossRef]
- Maekawa, K. Multi-Scale Modeling of Structural Concrete; CRC Press: Boca Raton, FL, USA, 2008. [Google Scholar]















| Phase | Bulk Modulus K (GPa) | Shear Modulus G (GPa) | References | |
|---|---|---|---|---|
| Cement (clinker) | 116.7 | 53.8 | 3150 | [29,30,39] |
| Water | 2.3 | 0 | 1000 | [29,30,39] |
| Hydrates | 18.7 | 11.8 | 2073 | [26,27,28,41] |
| Air | 0 | 0 | 0 | [29,30,39] |
| Phase | Bulk Modulus K (GPa) | Shear Modulus G (GPa) | References | |
|---|---|---|---|---|
| Fine Aggregate | 36 | 26 | 2650 | [27] |
| Coarse Aggregate | 41.6 | 19.2 | 2620 | [29,39] |
| w/c Ratio | Volume Fraction of Fine Aggregate in Mortar | Volume Fraction of Coarse Aggregate in Concrete |
|---|---|---|
| 0.35 | 0.404 | 0.5 |
| 0.5 | 0.358 | 0.5 |
| 0.65 | 0.311 | 0.5 |
| Group | Age (Days) | w/c Ratio | Hydration Degree | Volume Fraction of Fine Aggregate in Mortar | Volume Fraction of Coarse Aggregate in Concrete |
|---|---|---|---|---|---|
| A | 7 | 0.55 | 0.760 | 0.491 | 0.482 |
| 28 | 0.55 | 0.880 | 0.491 | 0.482 | |
| B | 7 | 0.42 | 0.676 | 0.350 | 0.420 |
| 28 | 0.42 | 0.780 | 0.350 | 0.420 | |
| C | 7 | 0.37 | 0.620 | 0.319 | 0.420 |
| 28 | 0.37 | 0.710 | 0.319 | 0.420 |
Publisher’s Note: MDPI stays neutral with regard to jurisdictional claims in published maps and institutional affiliations. |
© 2022 by the authors. Licensee MDPI, Basel, Switzerland. This article is an open access article distributed under the terms and conditions of the Creative Commons Attribution (CC BY) license (https://creativecommons.org/licenses/by/4.0/).
Share and Cite
Jiang, J.; Zhang, D.; Gong, F.; Zhi, D. Prediction of Ultrasonic Pulse Velocity for Cement, Mortar, and Concrete through a Multiscale Homogenization Approach. Materials 2022, 15, 3241. https://doi.org/10.3390/ma15093241
Jiang J, Zhang D, Gong F, Zhi D. Prediction of Ultrasonic Pulse Velocity for Cement, Mortar, and Concrete through a Multiscale Homogenization Approach. Materials. 2022; 15(9):3241. https://doi.org/10.3390/ma15093241
Chicago/Turabian StyleJiang, Jingluo, Dawei Zhang, Fuyuan Gong, and Dian Zhi. 2022. "Prediction of Ultrasonic Pulse Velocity for Cement, Mortar, and Concrete through a Multiscale Homogenization Approach" Materials 15, no. 9: 3241. https://doi.org/10.3390/ma15093241
APA StyleJiang, J., Zhang, D., Gong, F., & Zhi, D. (2022). Prediction of Ultrasonic Pulse Velocity for Cement, Mortar, and Concrete through a Multiscale Homogenization Approach. Materials, 15(9), 3241. https://doi.org/10.3390/ma15093241

