Drop Weight Impact Test on Prepacked Aggregate Fibrous Concrete—An Experimental Study
Abstract
1. Introduction
2. ACI 544 Drop Weight Impact Test
3. Alterations Suggested to the ACI 544 Test
- −
- Breaking of the specimens is permitted in any direction and at any location. Additionally, cracking is observed visually for evaluation, which adds to the subjectivity of the test results.
- −
- As impact applied to the specimen at a single point, thus increasing the likelihood of incorrect results in the future. The point of impact might be a softer cement matrix or a harder coarse aggregate region, depending on the circumstances.
- −
- When it comes to specimen preparation, there is no recommended standard procedure. Therefore, specimens may have smooth mold-faced surfaces.
- −
- Specimen failure is described by the cracks propagated to the bottom of the specimen and the apparatus lug, respectively. In some cases, even if failure occurs with an excessive crack width, the observation of failure can result in repeated impacts on the specimen.
- −
- There is no standard indicating whether a failure pattern should be accepted or rejected, causing test results being scattered.
3.1. Steel Bar, Notched Specimen, and Load Transfer Plate
3.2. Sand and Coarse Aggregate Bedding
4. Research Significance
5. Experimental Program
5.1. Raw Materials
- −
- An IS: 12269-1987 [35] compliant Dalmia Pozzolana Portland obtained from Tamil Nadu, India, a general-purpose cement was used in the studies. The cement had a specific gravity of 3.09 kg/m2 and a specific surface area of 318 kg/m2.
- −
- When using river sand as fine aggregate in the final product, it had fineness modulus 2.41, water absorption 1.15, and density 2.65%. The sand had a granulometric curve that conformed to IS: 383-2016 [36], in line with ASTM C939/C939M-16a [37], with a particle size of not more than 2.36 mm. Because of this, a flowable grout was developed to fill up the gaps.
- −
- Coarse aggregate consisted of crushed granite gravel with a maximum size of 12.5 mm, a water absorption of 0.59%, and a specific gravity of 2.69%. Figure 4 shows the obtained granulometric curves for the fine and coarse aggregates used in this experiment.
- −
- A high-range water reducer (Tec Mix 640 obtained from New era construction chemicals, Tamil Nadu, India) was utilized to make flowable grout. For non-fibrous and fibrous specimens, different dosages (0.4 to 0.5 percent by cement weight) were used to make flowable grout.
- −
- A new geometrically formed hybrid hooked end-crimped steel fiber (SF) of 50 mm length and 1.0 mm diameter with a tensile strength of 1200 MPa was employed. The tensile strength of polypropylene PF was 500 MPa and the fiber was 45 mm long and 0.8 mm in diameter. The appearance of SF and PF used in this research are shown in Figure 5.
5.2. Details of Mixing Composition
5.3. Specimen Preparation Procedure
5.4. Drop Weight Impact Test Setup with Modifications
6. Discussion of Results
6.1. Compressive Strength
6.2. Repeated Impact Test
6.2.1. Effect of Fiber Type
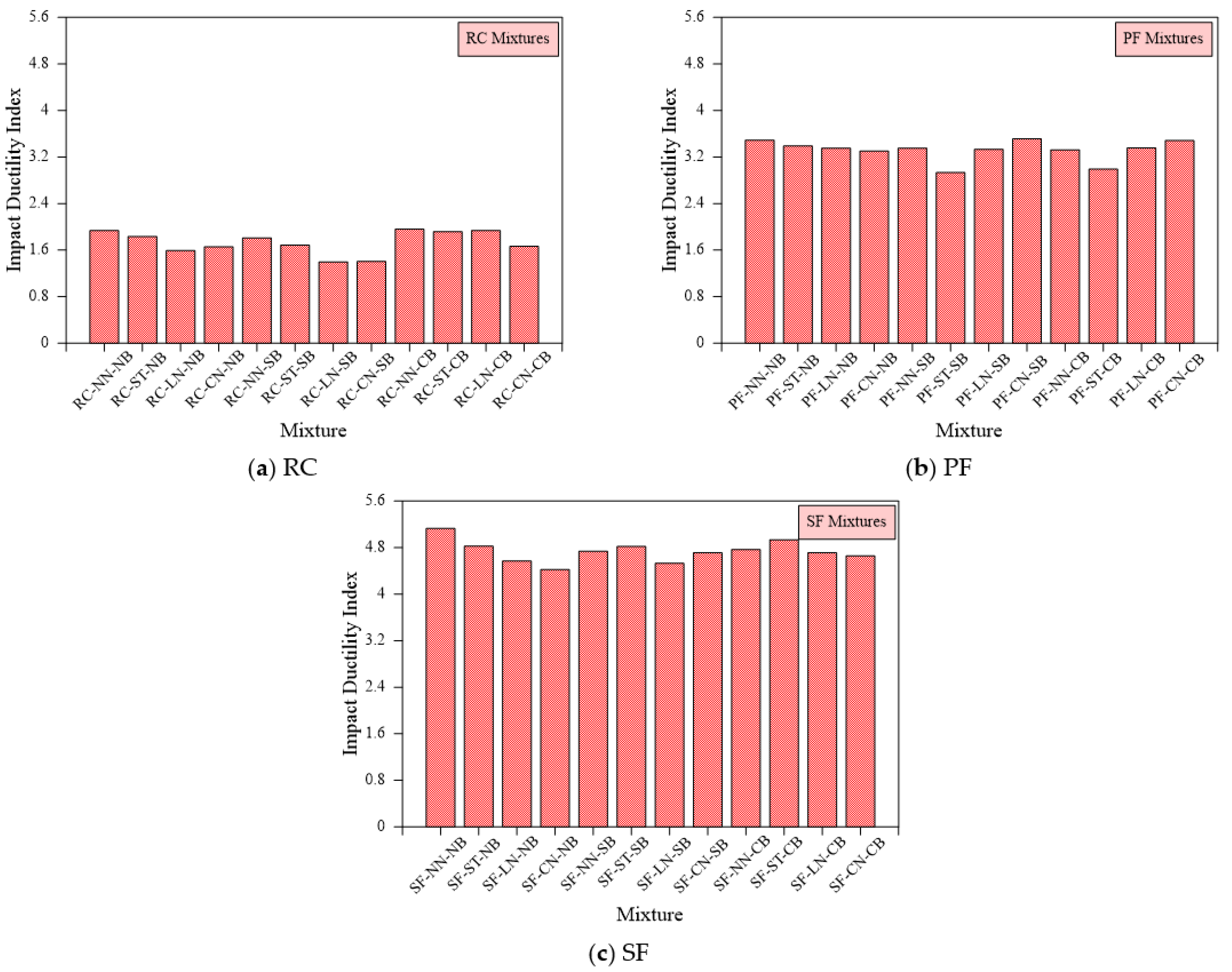
6.2.2. Impact Ductility
7. Analysis of the Recommended Changes to ACI 544-2R Repeated Impact Test
7.1. Effect of Loading Type on Impact Results
7.2. Effect of Bedding Type on Impact Results
7.3. Effect of Loading Type and Bedding Type on the Dispersion of Impact Results
7.4. Failure Pattern of a Specimen under Impact Loading
8. Conclusions
- −
- The three suggested loading cases of steel bar, line notch, and cross-notch enabled the disc specimens to absorb higher impact energy compared to the standard steel ball case, which is attributed to the better distribution of stress concentration along line and cross baths compared to the single central point in the case of the standard steel ball. For instance, for the RC mixture, the percentage of increase in L1 and L2 for the three suggested loading cases was in the ranges of 25% to 106% and 20% to 77%, respectively, compared to the corresponding L1 and L2 records of the standard steel ball case.
- −
- The use of sand and coarse beddings led to a kind of stress relief in the disc specimens under the repeated impacts owing to the partial compaction deformation of the bedding material. This relief increased the retained cracking and failure impact numbers compared to the standard case without bedding, regardless of the surface loading mechanism. For instance, the retained L1 numbers of the RC mixture increased by 28% to 55% when sand or coarse bedding materials were used, while L2 increased by 8% to 74% compared to the standard case without bedding.
- −
- The influence of suggested surface loading type and bedding materials on the retained impact numbers was lower in the fibrous mixtures than in the plain mixture, where the percentage increase in both L1 and L2 were lower for PF and SF mixtures than their corresponding percentages of the plain RC mixture. For instance, the incorporation of bedding materials increased L1 and L2 by 8 to 78% for RC specimens, while the percentages of increase for PF and SF specimens were in the ranges of 4% to 37%.
- −
- Line-notched specimens and sand bedding significantly decreased COV of the testing results among the other suggested alterations. Using a cross-line notched specimen and line of impact with coarse bedding also effectively reduced COV for all mixtures. For example, SF-NN-NB, SF-ST-NB, SF-LN-NB, and SF-CN-NB specimens displayed a COV of approximately 23.2%, 20.9%, 7.4%, and 12.7% for L1 and 18.6%, 16.4%, 9.8%, and 13.9% for L2, respectively. Compared to the ACI testing method, all suggested test alterations exhibited a lower COV, which confirmed a controlled failure pattern.
- −
- From the ACI testing method, a central semi-circular fraction zone was formed on the top surface of fibrous specimens. However, the lines and cross-notched specimens produced failures on two and four sides, respectively, distributing stress along a cross-line and controlling the failure path.
Author Contributions
Funding
Institutional Review Board Statement
Informed Consent Statement
Data Availability Statement
Acknowledgments
Conflicts of Interest
References
- UFC 3-340-02 (Unified Facilities Criteria); Structures to Resist the Effects of Accidental Explosions. Department of the Army, the NAVY and the Air Force: Washington, DC, USA, 2008.
- ACI Committee 349. Code Requirements for Nuclear Safety-Related Concrete Structures (AC 349-13) & Commentary; American Concrete Institute: Farmington Hills, MI, USA, 2014. [Google Scholar]
- ACI 544-2R. Measurement of Properties of Fiber Reinforced Concrete; American Concrete Institute: Farmington Hills, MI, USA, 1999. [Google Scholar]
- Rai, B.; Singh, N.K. Statistical and experimental study to evaluate the variability and reliability of impact strength of steel-polypropylene hybrid fiber reinforced concrete. J. Build. Eng. 2021, 44, 102937. [Google Scholar] [CrossRef]
- Abid, S.R.; Abdul-Hussein, M.L.; Ayoob, N.S.; Ali, S.H.; Kadhum, A.L. Repeated drop-weight impact tests on self-compacting concrete reinforced with micro-steel fiber. Heliyon 2020, 6, e03198. [Google Scholar] [CrossRef] [PubMed]
- Alwesabi, E.A.; Abu Bakar, B.H.; Alshaikh, I.M.H.; Akil, H.M. Impact resistance of plain and rubberized concrete containing steel and polypropylene hybrid fiber. Mater. Today Commun. 2020, 25, 101640. [Google Scholar] [CrossRef]
- Siddique, S.; Shrivastava, S.; Chaudhary, S.; Gupta, T. Strength and impact resistance properties of concrete containing fine bone china ceramic aggregate. Constr. Build. Mater. 2018, 169, 289–298. [Google Scholar] [CrossRef]
- Akatsuka, Y. Basic study on quality control of prepacked concrete for harbour construction works. Trans. Jpn. Soc. Civ. Eng. 1967, 140, 21–54. [Google Scholar]
- Najjar, M.F.; Soliman, A.M.; Nehdi, M.L. Critical overview of two-stage concrete: Properties and applications. Constr. Build. Mater. 2014, 62, 47–58. [Google Scholar] [CrossRef]
- Salaimanimagudam, M.P.; Murali, G.; Vivek Vardhan, C.M.; Amran, M.; Vatin, N.; Fediuk, R.; Vasilev, Y. Impact Response of Preplaced Aggregate Fibrous Concrete Hammerhead Pier Beam Designed with Topology Optimization. Crystals 2021, 11, 147. [Google Scholar] [CrossRef]
- Murali, G.; Asrani, N.P.; Ramkumar, V.R.; Siva, A.; Haridharan, M.K. Impact Resistance and Strength Reliability of Novel Two-Stage Fibre-Reinforced Concrete. Arab. J. Sci. Eng. 2019, 44, 4477–4490. [Google Scholar] [CrossRef]
- Abirami, T.; Loganaganandan, M.; Murali, G.; Fediuk, R.; Vickhram Sreekrishna, R.; Vignesh, T.; Januppriya, G.; Karthikeyan, K. Experimental research on impact response of novel steel fibrous concretes under falling mass impact. Constr. Build. Mater. 2019, 222, 447–457. [Google Scholar] [CrossRef]
- Manohar, T.; Suribabu, C.R.; Murali, G.; Salaimanimagudam, M.P. A novel steel-PAFRC composite fender for bridge pier protection under low velocity vessel impacts. Structures 2020, 26, 765–777. [Google Scholar] [CrossRef]
- Abirami, T.; Murali, G.; Saravana Raja Mohan, K.; Salaimanimagudam, M.P.; Nagaveni, P.; Bhargavi, P. Multi-layered two stage fibrous composites against low-velocity falling mass and projectile impact. Constr. Build. Mater. 2020, 248, 118631. [Google Scholar] [CrossRef]
- Mastali, M.; Dalvand, A. The impact resistance and mechanical properties of self-compacting concrete reinforced with recycled CFRP pieces. Compos. Part B 2016, 92, 360–376. [Google Scholar] [CrossRef]
- Murali, G.; Santhi, A.S.; Mohan Ganesh, G. Impact resistance and strength reliability of fiber-reinforced concrete in bending under drop weight impact load. Intern. J. Technol. 2014, 2, 111–120. [Google Scholar] [CrossRef]
- Gunasekaran, M.; Thangavel, M.; Nemichandran, N.K.; Ravikumar, I.; Glarance, H.J.; Kothandapani, K. Impact Response and Strength Reliability of Green High Performance Fibre Reinforced Concrete Subjected to Freeze-thaw Cycles in NaCl Solution. Mater. Sci. 2017, 23, 384–388. [Google Scholar] [CrossRef][Green Version]
- Murali, G.; Karthikeyan, K.; Ramkumar, V.R. Reliability Analysis of Impact Failure Energy of Fibre Reinforced Concrete Using Weibull Distribution. J. Appl. Sci. Eng. 2018, 21, 163–170. [Google Scholar]
- Asrani, N.P.; Murali, G.; Parthiban, K.; Surya, K.; Prakash, A.; Rathika, K.; Chandru, U. A feasibility of enhancing the impact resistance of hybrid fibrous geopolymer composites: Experiments and modelling. Constr. Build. Mater. 2019, 203, 56–68. [Google Scholar] [CrossRef]
- de Azevedo, A.R.G.; Klyuev, S.; Marvila, M.T.; Vatin, N.; Alfimova, N.; de Lima, T.E.S.; Fediuk, R.; Olisov, A. Investigation of the Potential Use of Curauá Fiber for Reinforcing Mortars. Fibers 2020, 8, 69. [Google Scholar] [CrossRef]
- Murali, G.; Abid, S.R.; Amran, M.; Abdelgader, H.S.; Fediuk, R.; Susrutha, A.; Poonguzhali, K. Impact performance of novel multi-layered prepacked aggregate fibrous composites under compression and bending. Structures 2020, 28, 1502–1515. [Google Scholar] [CrossRef]
- Jabir, H.A.; Abid, S.R.; Murali, G.; Ali, S.H.; Klyuev, S.; Fediuk, R.; Vatin, N.; Promakhov, V.; Vasilev, Y. Experimental Tests and Reliability Analysis of the Cracking Impact Resistance of UHPFRC. Fibers 2020, 8, 74. [Google Scholar] [CrossRef]
- Abid, S.R.; Gunasekaran, M.; Ali, S.H.; Kadhum, A.L.; Al-Gasham, T.S.; Fediuk, R.; Vatin, N.; Karelina, M. Impact Performance of Steel Fiber-Reinforced Self-Compacting Concrete against Repeated Drop Weight Impact. Crystals 2021, 11, 91. [Google Scholar] [CrossRef]
- Prasad, N.; Murali, G. Exploring the impact performance of functionally-graded preplaced aggregate concrete incorporating steel and polypropylene fibres. J. Build. Eng. 2021, 35, 102077. [Google Scholar] [CrossRef]
- Ali, M.A.E.M.; Soliman, A.M.; Nehdi, M.L. Hybrid-fiber reinforced engineered cementitious composite under tensile and impact loading. Mater. Des. 2017, 117, 139–149. [Google Scholar] [CrossRef]
- Ding, Y.; Li, D.; Zhang, Y.; Azevedo, C. Experimental investigation on the composite effect of steel rebars and macro fibers on the impact behavior of high performance self-compacting concrete. Constr. Build. Mater. 2017, 136, 495–505. [Google Scholar] [CrossRef]
- Murali, G.; Karthikeyan, K.; Haridharan, M.K. Statistical scrutiny of variations in impact strength of green high performance fibre reinforced concrete subjected to drop weight test. Rom. J. Mater. 2018, 48, 214–221. [Google Scholar]
- Abid, S.R.; Abdul Hussein, M.L.; Ali, S.H.; Ala’a, F.K. Suggested modified testing techniques to the ACI 544-R repeated drop-weight impact test. Constr. Build. Mater. 2020, 244, 118321. [Google Scholar] [CrossRef]
- Badr, A.; Ashour, A.F.; Platten, A.K. Statistical variations in impact resistance of polypropylene fibre-reinforced concrete. Inter. J. Impact. Eng. 2006, 32, 1907–1920. [Google Scholar] [CrossRef]
- Rahmani, T.; Kiani, B.; Shekarchi, M.; Safari, A. Statistical and experimental analysis on the behavior of fiber reinforced concretes subjected to drop weight test. Constr. Build. Mater. 2012, 37, 360–369. [Google Scholar] [CrossRef]
- Song, P.S.; Wu, J.C.; Hwang, S.; Sheu, B.C. Assessment of statistical variations in impact resistance of high-strength concrete and high-strength steel fiber-reinforced concrete. Cem. Concr. Res. 2005, 35, 393–399. [Google Scholar] [CrossRef]
- Tolstoy, A.; Lesovik, V.; Fediuk, R.; Amran, M.; Gunasekaran, M.; Vatin, N.; Vasilev, Y. Production of Greener High-Strength Concrete Using Russian Quartz Sandstone Mine Waste Aggregates. Materials 2020, 13, 5575. [Google Scholar] [CrossRef] [PubMed]
- Badr, A.; Ashour, A.F. Modified ACI drop-weight impact test for concrete. ACI Mater. J. 2005, 102, 249–255. [Google Scholar]
- Schrader, E.K. Impact resistance and test procedure for concrete. ACI J. 1981, 78, 141–146. [Google Scholar]
- Standard No. IS-1489-1; Code of Practice for Portland Pozzolana Cement-Specifications. BIS: New Delhi, India, 1991.
- Standard No. IS 383; Code of Practice–Specification for Coarse and Fine Aggregate from Natural Sources for Concrete. BIS: New Delhi, India, 2002.
- ASTM C939/C939M-16a; ASTM C939/C939M-16a Standard Test Method for Flow of Grout for Preplaced-Aggregate Concrete (Flow Cone Method). ASTM International: West Conshohocken, PA, USA, 2016.
- IS: 516-1959; Indian Standard Method of Tests for Strength of Concrete. Bureau of Indian Standards: New Delhi, India, 2004.
- Prasad, N.; Murali, G. Research on flexure and impact performance of functionally-graded two-stage fibrous concrete beams of different sizes. Constr. Build. Mater. 2021, 288, 123138. [Google Scholar] [CrossRef]
- Prasad, N.; Murali, G.; Fediuk, R.; Vatin, N.; Karelina, M. Response of Novel Functionally-Graded Prepacked Aggregate Fibrous Concrete against Low Velocity Repeated Projectile Impacts. Materials 2021, 14, 280. [Google Scholar] [CrossRef] [PubMed]
- Murali, G.; Ramprasad, K. A feasibility of enhancing the impact strength of novel layered two stage fibrous concrete slabs. Eng. Struct. 2018, 175, 41–49. [Google Scholar] [CrossRef]
- Nehdi, M.L.; Najjar, M.F.; Soliman, A.M.; Azabi, T.M. Novel steel fibre-reinforced preplaced aggregate concrete with superior mechanical performance. Cem. Concr. Compo. 2017, 82, 242–251. [Google Scholar] [CrossRef]
- Yoo, D.; Joo, H.; Young, S. Effect of fibre content on mechanical and fracture properties of ultra-high performance fibre reinforced cementitious composites. Compos. Struct. 2013, 106, 742–753. [Google Scholar] [CrossRef]
- Al-Ameri, R.A.; Abid, S.R.; Murali, G.; Ali, S.H.; Özakça, M. Residual Repeated Impact Strength of Concrete Exposed to Elevated Temperatures. Crystals 2021, 11, 941. [Google Scholar] [CrossRef]
- Haridharan, M.K.; Matheswaran, S.; Murali, G.; Abid, S.R.; Fediuk, R.; Amran, Y.H.M.; Abdelgader, H.S. Impact response of two-layered grouted aggregate fibrous concrete composite under falling mass impact. Constr. Build. Mater. 2020, 263, 120628. [Google Scholar] [CrossRef]
- Murali, G.; Abid, S.R.; Karthikeyan, K.; Haridharan, M.K.; Amran, M.; Siva, A. Low-velocity impact response of novel prepacked expanded clay aggregate fibrous concrete produced with carbon nano tube, glass fiber mesh and steel fiber. Constr. Build. Mater. 2021, 284, 122749. [Google Scholar] [CrossRef]
- Abid, S.R.; Murali, G.; Amran, M.; Vatin, N.; Fediuk, R.; Karelina, M. Evaluation of Mode II Fracture Toughness of Hybrid Fibrous Geopolymer Composites. Materials 2021, 14, 349. [Google Scholar] [CrossRef]
- Abbass, A.A.; Abid, S.R.; Arnaot, F.H.; Al-Ameri, R.A.; Özakça, M. Flexural response of hollow high strength concrete beams considering different size reductions. Structures 2019, 23, 69–86. [Google Scholar] [CrossRef]
- Abbass, A.A.; Arnaot, F.H.; Abid, S.R.; Özakça, M. Flexural behavior of ECC hollow beams incorporating different synthetic fibers. Front. Struct. Civ. Eng. 2021, 15, 399–411. [Google Scholar] [CrossRef]
- Murali, G.; Abid, S.; Amran, M.; Fediuk, R.; Vatin, N.; Karelina, M. Combined Effect of Multi-Walled Carbon Nanotubes, Steel Fibre and Glass Fibre Mesh on Novel Two-Stage Expanded Clay Aggregate Concrete against Impact Loading. Crystals 2021, 11, 720. [Google Scholar] [CrossRef]
- Murali, G.; Abid, S.R.; Abdelgader, H.S.; Mugahed Amran, Y.H.; Shekarchi, M.; Wilde, K. Repeated Projectile Impact Tests on Multi-Layered Fibrous Cementitious Composites. Inter. J. Civil. Eng. 2021, 19, 635–651. [Google Scholar] [CrossRef]
- Salaimanimagudam, M.P.; Suribabu, C.R.; Murali, G.; Abid, S.R. Impact Response of Hammerhead Pier Fibrous Concrete Beams Designed with Topology Optimization. Period. Polytech. Civ. Eng. 2020, 64, 1244–1258. [Google Scholar]
- Ramakrishnan, K.; Depak, S.R.; Hariharan, K.R.; Abid, S.R.; Murali, G.; Cecchin, D.; Fediuk, R.; Mugahed Amran, Y.H.; Abdelgader, H.S.; Khatib, J.M. Standard and modified falling mass impact tests on preplaced aggregate fibrous concrete and slurry infiltrated fibrous concrete. Constr. Build. Mater. 2021, 298, 123857. [Google Scholar] [CrossRef]
- Jaishankar, P.; Murali, G.; Salaimanimagudam, M.P.; Amran, Y.H.M.; Fediuk, R.; Karthikeyan, K. Study of topology optimized hammerhead pier beam made with novel preplaced aggregate fibrous concrete. Period. Polytech. Civ. Eng. 2021, 65, 287–298. [Google Scholar] [CrossRef]
- Chernysheva, N.; Lesovik, V.; Fediuk, R.; Vatin, N. Improvement of performances of the gypsum-cement fiber reinforced composite (GCFRC). Materials 2020, 13, 3847. [Google Scholar] [CrossRef]
- Lesovik, V.; Volodchenko, A.; Fediuk, R.; Mugahed Amran, Y.H. Improving the hardened properties of nonautoclaved silicate materials using nanodispersed mine waste. J. Mater. Civ. Eng. 2021, 33, 04021214. [Google Scholar] [CrossRef]
- Prasad, N.; Murali, G.; Abid, S.R.; Vatin, N.; Fediuk, R.; Amran, M. Effect of needle Type, number of layers on FPAFC composite against low-velocity projectile impact. Buildings 2021, 11, 668. [Google Scholar] [CrossRef]
- Murali, G.; Prasad, N.; Klyuev, S.; Fediuk, R.; Abid, S.R.; Amran, M.; Vatin, N. Impact Resistance of Functionally Layered Two-Stage Fibrous Concrete. Fibers 2021, 9, 88. [Google Scholar] [CrossRef]
- Chakrawarthi, V.; Avudaiappan, S.; Amran, M.; Dharmar, B.; Raj Jesuarulraj, L.; Fediuk, R.; Aepuru, R.; Vatin, N.; Saavedra Flores, E. Impact Resistance of Polypropylene Fibre-Reinforced Alkali–Activated Copper Slag Concrete. Materials 2021, 14, 7735. [Google Scholar] [CrossRef] [PubMed]
- Murali, G.; Amran, M.; Fediuk, R.; Vatin, N.; Raman, S.N.; Maithreyi, G.; Sumathi, A. Structural behavior of fibrous-ferrocement panel subjected to flexural and impact loads. Materials 2020, 13, 5648. [Google Scholar] [CrossRef] [PubMed]
- Abdelgader, H.S.; Kurpińska, M.; Amran, M. Effect of slag coal ash and foamed glass on the mechanical properties of two-stage concrete. Mater. Today Proc. 2022, in press. [Google Scholar] [CrossRef]























| Refs. | Mixture ID | Quantity of Fiber | Type of Fiber | Number of Specimens Tested per Mix | Impact Numbers | Standard Deviation | Coefficient of Variation |
|---|---|---|---|---|---|---|---|
| [16] | PC, CF2, CF3, CF4, HF5, HF6, HF7 | 0.5, 1.0, 1.5 | CSF, HSF | 6 | 22, 26, 30, 36, 28, 32, 38 | 12, 11, 13, 17, 14, 15, 18 | 54, 44, 45, 47, 49, 46, 48 |
| [17] | GHPPC, GHPFRC, | 1.0 | SF | 16 | 33, 97 | 12, 30 | - |
| [18] | PC, FRC1, FRC2, FRC3, FRC4, FRC5, FRC6 | 0.5, 1.0, 1.5 | CSF, HSF | 10 | 73, 164, 258, 338, 179, 269, 352 | 13, 19, 19, 20, 19, 22, 21 | - |
| [19] | M0, M1, M2, M3 | 1.6, 0.3, 0.3 | SF, PF, GF | 5 | 14, 101, 32, 35 | 4.7, 20.3, 9.5, 11.7 | 33.5, 20.1, 30.1, 33.6 |
| [20] | PC, CF1.5, CF3.0, CF5.0, HF1.5, HF3.0, HF5.0 | 1.5, 3.0, 5.0 | CSF, HSF | 15 | 84, 312, 737, 1209, 424, 918, 1378 | 25, 86, 113, 151, 64, 78, 122 | 30, 27, 15, 12, 15, 9, 9 |
| [12] | PC, FRC, TSFRC, SIFCON | 1.5, 4, 5, 8, 10 | SF | 6 | 36, 374, 1175, 1358, 1858, 2074 | - | - |
| [21] | PC, LF1 | 2.5 | SF | 6 | 25, 232 | 10, 49 | - |
| [22] | M1 | 2.5 | SF | 12 | 127 | 47 | 37 |
| [23] | SC30-0, SC30-0.5, SC30-0.75, SC30-1.0 | 0.5, 0.75, 1.0% | SF | 6 | 1.8, 7.3, 11.3, 17.2 | 0.8, 1.6, 1.6, 4.8 | 41.1, 22.3, 14.4, 27.9 |
| [24] | CC, PAC1, PAC2 | 2.4% | SF, PF | 15 | 16, 448, 110 | 7, 65, 26 | - |
| [25] | ECC0-0, ECC2-0.5, ECC2-1, ECC2-1.5 | 0.5, 1.0, 1.5 | PVA | 3 | 1, 594, 697, 674 | 0, 4, 7, 6 | - |
| [26] | NC, PP4, PP6, SF20, SF35 | 4, 6, 20, 35 kg/m3 | PF, SF | 6 | 15, 33, 40, 52, 55 | 7, 7, 5, 27, 24 | 47, 21, 12, 52, 44 |
| [27] | GHPC, GHPSFRC | 0.5 | SF | 40 | 177, 240 | 81, 94 | 46, 39 |
| [28] | G1, G2 | 2.5% | SF | 15 | 358, 417 | 207, 185 | 58, 44 |
| [29] | B1, B2 | 3 kg/m3 | PF | 20 | 84, 76 | 44, 37 | 52, 49 |
| [30] | PC, CFRC, PRFC, SFRC | 0.15, 0.15, 0.5 | CF, PF, SF | 32 | 48, 118, 71, 228 | 28, 53, 36, 90 | 57, 45, 51, 39 |
| [31] | HSFRC | 1 | HSF | 48 | 1896 | 802 | 42 |
| [32] | PFRC, FRC, SPHFRC | 05, 1.5 | PF, SF | - | 52, 191, 267 | 26.7, 108.2, 89.6 | 51.2, 56.5, 33.5 |
| Group | Mixture ID | Ratio of s/b | Ratio of w/b | Fiber Dosage (%) | Fiber Type | SP (%) | Notch Type | Bedding Type |
|---|---|---|---|---|---|---|---|---|
| 1 | RC-NN-NB | 1.0 | 0.42 | 0 | - | 0.4 | No notch | No bedding |
| PF-NN-NB | 1.0 | 0.42 | 2.4 | PF | 0.5 | |||
| SF-NN-NB | 1.0 | 0.42 | 2.4 | SF | 0.5 | |||
| 2 | RC-ST-NB | 1.0 | 0.42 | 0 | - | 0.4 | ||
| PF-ST-NB | 1.0 | 0.42 | 2.4 | PF | 0.5 | |||
| SF-ST-NB | 1.0 | 0.42 | 2.4 | SF | 0.5 | |||
| 3 | RC-LN-NB | 1.0 | 0.42 | 0 | - | 0.4 | Line notch | |
| PF-LN-NB | 1.0 | 0.42 | 2.4 | PF | 0.5 | |||
| SF-LN-NB | 1.0 | 0.42 | 2.4 | SF | 0.5 | |||
| 4 | RC-CN-NB | 1.0 | 0.42 | 0 | - | 0.4 | Cross notch | |
| PF-CN-NB | 1.0 | 0.42 | 2.4 | PF | 0.5 | |||
| SF-CN-NB | 1.0 | 0.42 | 2.4 | SF | 0.5 | |||
| 5 | RC-NN-SB | 1.0 | 0.42 | 0 | - | 0.4 | No notch | Sand bedding |
| PF-NN-SB | 1.0 | 0.42 | 2.4 | PF | 0.5 | |||
| SF-NN-SB | 1.0 | 0.42 | 2.4 | SF | 0.5 | |||
| 6 | RC-ST-SB | 1.0 | 0.42 | 0 | - | 0.4 | ||
| PF-ST-SB | 1.0 | 0.42 | 2.4 | PF | 0.5 | |||
| SF-ST-SB | 1.0 | 0.42 | 2.4 | SF | 0.5 | |||
| 7 | RC-LN-SB | 1.0 | 0.42 | 0 | - | 0.4 | Line notch | |
| PF-LN-SB | 1.0 | 0.42 | 2.4 | PF | 0.5 | |||
| SF-LN-SB | 1.0 | 0.42 | 2.4 | SF | 0.5 | |||
| 8 | RC-CN-SB | 1.0 | 0.42 | 0 | - | 0.4 | Cross notch | |
| PF-CN-SB | 1.0 | 0.42 | 2.4 | PF | 0.5 | |||
| SF-CN-SB | 1.0 | 0.42 | 2.4 | SF | 0.5 | |||
| 9 | RC-NN-CB | 1.0 | 0.42 | 0 | - | 0.4 | No notch | Coarse aggregate bedding |
| PF-NN-CB | 1.0 | 0.42 | 2.4 | PF | 0.5 | |||
| SF-NN-CB | 1.0 | 0.42 | 2.4 | SF | 0.5 | |||
| 10 | RC-ST-CB | 1.0 | 0.42 | 0 | - | 0.4 | ||
| PF-ST-CB | 1.0 | 0.42 | 2.4 | PF | 0.5 | |||
| SF-ST-CB | 1.0 | 0.42 | 2.4 | SF | 0.5 | |||
| 11 | RC-LN-CB | 1.0 | 0.42 | 0 | - | 0.4 | Line notch | |
| PF-LN-CB | 1.0 | 0.42 | 2.4 | PF | 0.5 | |||
| SF-LN-CB | 1.0 | 0.42 | 2.4 | SF | 0.5 | |||
| 12 | RC-CN-CB | 1.0 | 0.42 | 0 | - | 0.4 | Cross notch | |
| PF-CN-CB | 1.0 | 0.42 | 2.4 | PF | 0.5 | |||
| SF-CN-CB | 1.0 | 0.42 | 2.4 | SF | 0.5 |
| Group | Mixture ID | Impact Numbers | Mean | SD | COV (%) | ||||||||
|---|---|---|---|---|---|---|---|---|---|---|---|---|---|
| Specimen 1 | Specimen 2 | Specimen 3 | |||||||||||
| L1 | L2 | L1 | L2 | L1 | L2 | L1 | L2 | L1 | L2 | L1 | L2 | ||
| 1 | RC-NN-NB | 8 | 15 | 9 | 19 | 14 | 26 | 10 | 20 | 3.2 | 5.6 | 31.1 | 27.8 |
| PF-NN-NB | 31 | 125 | 46 | 148 | 58 | 198 | 45 | 157 | 13.5 | 37.3 | 30.1 | 23.8 | |
| SF-NN-NB | 74 | 375 | 85 | 482 | 115 | 548 | 91 | 468 | 21.2 | 87.3 | 23.2 | 18.6 | |
| 2 | RC-ST-NB | 10 | 21 | 14 | 25 | 18 | 31 | 14 | 26 | 4.0 | 5.0 | 28.6 | 19.6 |
| PF-ST-NB | 40 | 138 | 49 | 164 | 60 | 203 | 50 | 168 | 10.0 | 32.7 | 20.2 | 19.4 | |
| SF-ST-NB | 81 | 389 | 93 | 492 | 121 | 542 | 98 | 474 | 20.5 | 78.0 | 20.9 | 16.4 | |
| 3 | RC-LN-NB | 17 | 28 | 19 | 29 | 20 | 32 | 19 | 30 | 1.5 | 2.1 | 8.2 | 7.0 |
| PF-LN-NB | 49 | 165 | 54 | 182 | 59 | 196 | 54 | 181 | 5.0 | 15.5 | 9.3 | 8.6 | |
| SF-LN-NB | 100 | 456 | 108 | 476 | 116 | 548 | 108 | 493 | 8.0 | 48.4 | 7.4 | 9.8 | |
| 4 | RC-CN-NB | 18 | 31 | 21 | 36 | 25 | 39 | 21 | 35 | 3.5 | 4.0 | 16.5 | 11.4 |
| PF-CN-NB | 52 | 174 | 59 | 195 | 68 | 222 | 60 | 197 | 8.0 | 24.1 | 13.4 | 12.2 | |
| SF-CN-NB | 99 | 426 | 115 | 525 | 128 | 561 | 114 | 504 | 14.5 | 69.9 | 12.7 | 13.9 | |
| 5 | RC-NN-SB | 11 | 20 | 13 | 25 | 18 | 31 | 14 | 25 | 3.6 | 5.5 | 25.8 | 21.7 |
| PF-NN-SB | 40 | 151 | 55 | 166 | 64 | 216 | 53 | 178 | 12.1 | 34.0 | 22.9 | 19.2 | |
| SF-NN-SB | 88 | 400 | 95 | 499 | 125 | 560 | 103 | 486 | 19.7 | 80.7 | 19.1 | 16.6 | |
| 6 | RC-ST-SB | 15 | 26 | 18 | 30 | 21 | 35 | 18 | 30 | 3.0 | 4.5 | 16.7 | 14.9 |
| PF-ST-SB | 54 | 163 | 65 | 180 | 72 | 217 | 64 | 187 | 9.1 | 27.6 | 14.3 | 14.8 | |
| SF-ST-SB | 89 | 432 | 100 | 489 | 119 | 563 | 103 | 495 | 15.2 | 65.7 | 14.8 | 13.3 | |
| 7 | RC-LN-SB | 23 | 33 | 24 | 34 | 26 | 35 | 24 | 34 | 1.5 | 1.0 | 6.3 | 2.9 |
| PF-LN-SB | 56 | 185 | 58 | 191 | 61 | 207 | 58 | 194 | 2.5 | 11.4 | 4.3 | 5.9 | |
| SF-LN-SB | 109 | 494 | 114 | 504 | 120 | 555 | 114 | 518 | 5.5 | 32.7 | 4.8 | 6.3 | |
| 8 | RC-CN-SB | 25 | 35 | 26 | 39 | 31 | 41 | 27 | 38 | 3.2 | 3.1 | 11.8 | 8.0 |
| PF-CN-SB | 56 | 196 | 61 | 216 | 69 | 241 | 62 | 218 | 6.6 | 22.5 | 10.6 | 10.4 | |
| SF-CN-SB | 106 | 505 | 121 | 555 | 128 | 612 | 118 | 557 | 11.2 | 53.5 | 9.5 | 9.6 | |
| 9 | RC-NN-CB | 12 | 24 | 15 | 31 | 21 | 39 | 16 | 31 | 4.6 | 7.5 | 28.6 | 24.0 |
| PF-NN-CB | 42 | 161 | 61 | 178 | 70 | 236 | 58 | 192 | 14.3 | 39.3 | 24.8 | 20.5 | |
| SF-NN-CB | 91 | 423 | 99 | 523 | 134 | 598 | 108 | 515 | 22.9 | 87.8 | 21.2 | 17.1 | |
| 10 | RC-ST-CB | 16 | 32 | 20 | 39 | 24 | 44 | 20 | 38 | 4.0 | 6.0 | 20.0 | 15.7 |
| PF-ST-CB | 58 | 176 | 67 | 197 | 79 | 237 | 68 | 203 | 10.5 | 31.0 | 15.5 | 15.2 | |
| SF-ST-CB | 91 | 473 | 105 | 501 | 126 | 615 | 107 | 530 | 17.6 | 75.2 | 16.4 | 14.2 | |
| 11 | RC-LN-CB | 25 | 49 | 26 | 52 | 29 | 54 | 27 | 52 | 2.1 | 2.5 | 7.8 | 4.9 |
| PF-LN-CB | 60 | 204 | 62 | 199 | 67 | 231 | 63 | 211 | 3.6 | 17.2 | 5.7 | 8.1 | |
| SF-LN-CB | 115 | 540 | 117 | 536 | 128 | 620 | 120 | 565 | 7.0 | 47.4 | 5.8 | 8.4 | |
| 12 | RC-CN-CB | 28 | 48 | 31 | 51 | 36 | 59 | 32 | 53 | 4.0 | 5.7 | 12.8 | 10.8 |
| PF-CN-CB | 59 | 205 | 64 | 225 | 74 | 256 | 66 | 229 | 7.6 | 25.7 | 11.6 | 11.2 | |
| SF-CN-CB | 109 | 530 | 129 | 561 | 135 | 646 | 124 | 579 | 13.6 | 60.1 | 10.9 | 10.4 | |
Publisher’s Note: MDPI stays neutral with regard to jurisdictional claims in published maps and institutional affiliations. |
© 2022 by the authors. Licensee MDPI, Basel, Switzerland. This article is an open access article distributed under the terms and conditions of the Creative Commons Attribution (CC BY) license (https://creativecommons.org/licenses/by/4.0/).
Share and Cite
Murali, G.; Abid, S.R.; Amran, M.; Vatin, N.I.; Fediuk, R. Drop Weight Impact Test on Prepacked Aggregate Fibrous Concrete—An Experimental Study. Materials 2022, 15, 3096. https://doi.org/10.3390/ma15093096
Murali G, Abid SR, Amran M, Vatin NI, Fediuk R. Drop Weight Impact Test on Prepacked Aggregate Fibrous Concrete—An Experimental Study. Materials. 2022; 15(9):3096. https://doi.org/10.3390/ma15093096
Chicago/Turabian StyleMurali, Gunasekaran, Sallal Rashid Abid, Mugahed Amran, Nikolai Ivanovich Vatin, and Roman Fediuk. 2022. "Drop Weight Impact Test on Prepacked Aggregate Fibrous Concrete—An Experimental Study" Materials 15, no. 9: 3096. https://doi.org/10.3390/ma15093096
APA StyleMurali, G., Abid, S. R., Amran, M., Vatin, N. I., & Fediuk, R. (2022). Drop Weight Impact Test on Prepacked Aggregate Fibrous Concrete—An Experimental Study. Materials, 15(9), 3096. https://doi.org/10.3390/ma15093096
