Ash from Poultry Manure Incineration as a Substitute for Phosphorus Fertiliser
Abstract
:1. Introduction
2. Materials and Methods
2.1. Materials
- -
- incineration technology: circulating fluidised bed combustion,
- -
- fuel: laying hens’ manure,
- -
2.2. Characteristics of Ash
2.2.1. Analytical Procedure
- -
- Total carbon, total hydrogen and total sulphur content via high-temperature incineration with IR detection using a CHS900 elemental analyser (ELTRA, Haan, Germany); the thermal sample decomposition was carried out at a temperature of 1450 °C in an oxygen atmosphere;
- -
- Ash content by weight; sample incineration was carried out at the temperature of 815 °C in a laboratory furnace;
- -
- Total nitrogen content by Kjehdahl’s method with Deward’s alloy addition;
- -
- Main chemical component and trace element content by wavelength dispersive X-ray fluorescence spectroscopy (WDXRF) using a ZSX PRIMUS II analyser (Rigaku, Tokyo, Japan) equipped with a 4 kW X-ray Rh tube; the samples were prepared by borate fusion (1 g sample: 9 g flux), the beads were obtained by melting the resulting mixture at a temperature of 1050 °C;
- -
- Phosphorus and calcium content by inductively coupled plasma optical emission spectroscopy (ICP-OES) using an Elmer Optima 5300 analyser (PerkinElmer, Waltham, MA, USA); the analysis was performed after mineralising the material in a mixture of acids prepared according to the standard [43];
- -
- Bioavailable phosphorus content via extraction in citric acid; the sample was mixed with 2% citric acid solution at a ratio of 1 g: 100 mL with an accuracy of ±0.001 g and 0.05 mL, respectively; the sample was centrifuged on a rotary mixer at a speed of 80 rpm for a period of 30 min.; the sample was then centrifuged for 10 min and filtered using MCE membrane filters (pore size 0.45 μm; Whatman, Maidstone, UK) to obtain a clear solution; total phosphorus content was determined by the Phosphate–Phosphomolybdenum blue method using a Nanocolor 500D photometer (Macherey-Nagel, Düren, Germany) [44];
- -
- Mineral composition by powder X-ray diffraction (XRD) in Bragg-Brentano geometry using a D8 DISCOVER diffractometer (Bruker, Billerica, MA, USA) with a CuKα lamp, Ni filter and a LYNXEYE_XE detector working under the following conditions: voltage–40 kV, 2theta angle step size–0.01°, time–1 s by step, 2theta angle range 4–69°; sample rotation–10°/min; the composition was calculated on the basis of patterns licensed in PDF-4+ 2021 RDB ICDD (International Centre for Diffraction Data) and databases: ICSD (Inorganic Crystal Structure Database) and NIST (National Institute of Standard and Technology); the following programs were used for registration and diagnostics: DIFFRAC v.4.2 and TOPAS v.4.2. Bruker AXS; the quantitative phase composition was determined by the Rietveld method;
- -
- Grain surface morphology analysis and chemical composition in micro-areas by scanning electron microscopy (SEM) and X-ray energy dispersion spectroscopy (EDS) using an SU3500 SEM microscope (Hitachi, Tokyo, Japan) working alongside an UltraDry EDS Detector (ThermoFisher Scientific, Waltham, MA, USA) under the following conditions: acceleration voltage–15 keV, detector–BSE, scanning time–60 s, magnification ×50–×4000; the images were taken after spraying the sample with gold;
- -
- Grain size and shape analysis by means of the optical method with image analysis using a G3S-ID analyser (Malvern Panalytical, Malvern, UK) under the following conditions: dispersion medium—air, sample amount—5 mm3, dispersion pressure—2.0 bar, dispersion time—20 ms, lens—×20, ×5, light—diascopic, automatically calibrated;
- -
- The following parameters were analysed: width, length, CE diameter (the diameter of a circle with the same area as the projected area of the particle image), aspect ratio (the ratio of the width to the length of the particle), circularity (the ratio of the circumference of a circle equal to the object’s projected area to the perimeter of the object) [45].
2.2.2. Physicochemical Methods of Separation
2.2.3. Fertiliser Use Efficiency Assessment
2.3. Soil Characterisation
- -
- -
- Water extract metal content by means of inductively coupled plasma optical emission spectroscopy (ICP-OES);
- -
- Carbon, hydrogen and total sulphur content by high-temperature incineration with IR detection;
- -
- Organic carbon content by means of IR spectroscopy per the standard [51];
- -
- Total nitrogen content by Kjehdahl’s method with Deward’s alloy addition;
- -
- Phosphorus and potassium content by means of wavelength dispersive X-ray fluorescence spectroscopy (WDXRF);
- -
- Polycyclic aromatic hydrocarbon (PAH) content by pressurised liquid extraction and high-performance liquid chromatography with fluorescence detection (HPLC-FLD) per the standard [52];
- -
- Volatile aromatic hydrocarbon (WAH) content by headspace analysis and gas chromatography–mass spectrometry (GC–MS) per standard [53];
2.4. Statistical Analysis
3. Results and Discussion
3.1. Characteristics of Ash from Poultry Manure Incineration
3.2. Characteristics of Anthropogenic Land Soil
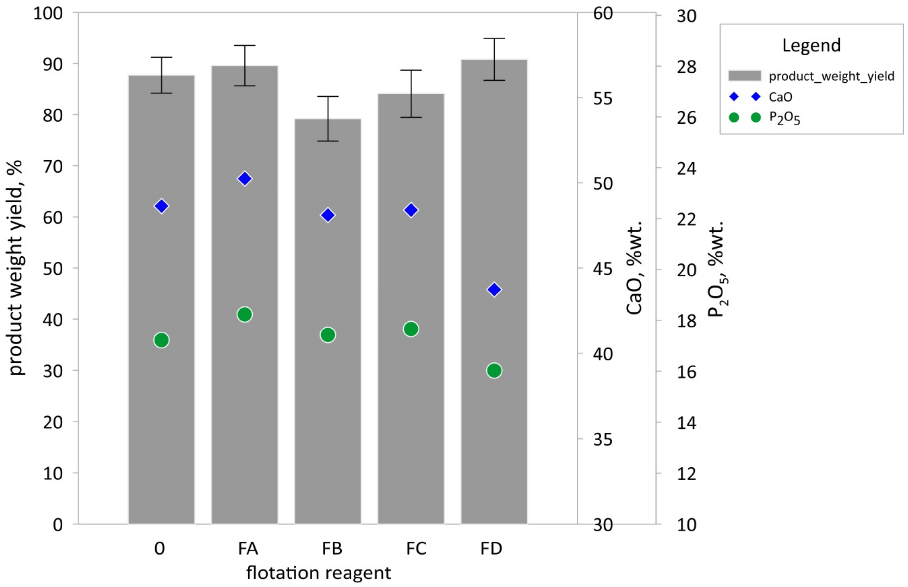
3.3. Physicochemical Methods of Phosphate Concentrate Separation from Ash
3.4. Use of Ash from Poultry Manure Incineration as a Substitute for Phosphatic Fertiliser
3.4.1. Cassette Biotesting
3.4.2. Pot Cultivation
3.4.3. Field Cultivation
4. Conclusions
- Grains of the ash from poultry manure incineration are practically uniform in terms of density, which made it almost impossible to separate the grains by the float and sink method.
- The grains were characterised by different wettability, but the phosphorus content in the fractions separated by flotation was similar.
- The grains varied in size and there was a positive correlation between phosphorus content and grain size.
- Size grading by wet sieving at a particle size of 0.025 mm can be considered a method for phosphate concentration.
- Both the raw ash from poultry manure incineration and the separated phosphorus concentrate can be used as a substitute for commercial fertiliser.
- Cassette biotests allowed the doses of fertilisers used to be optimised.
- In pot cultivation, the greatest biomass growth, i.e., 229 g/m2, was found on the substrate, where raw ash was used as a fertiliser at a dose of 330 g/m3. The biomass growth for the substrate, where the separated phosphorus concentrate was used in the dose of 190 g/m3, was 217 g/m2. Both reducing or increasing these doses significantly decreased the biomass growth. The obtained results were compared with those for commercial fertilisers, where the biomass growth was 224 g/m2.
- In field cultivation, the application of the obtained phosphorus concentrate at a dose of 95 g/m3 had a comparable yield to the use of commercial fertiliser at a dose of 75 g/m3. Unprocessed ash had to be used in larger amounts, i.e., 165 g/m3 to have a comparable yield to commercial fertiliser.
Author Contributions
Funding
Institutional Review Board Statement
Informed Consent Statement
Data Availability Statement
Conflicts of Interest
References
- Eurostat Statistics Explained. Agricultural Production—Livestock and Meat, Data Extracted in October 2021. Available online: https://ec.europa.eu/eurostat/statistics-explained/index.php?title=Agricultural_production_-_livestock_and_meat (accessed on 1 March 2022).
- Statistic Yearbook of the Republic of Poland. 2010. Available online: https://stat.gov.pl/en/topics/statistical-yearbooks/statistical-yearbooks/statistical-yearbook-of-the-republic-of-poland-2010,2,5.html?contrast=default (accessed on 1 March 2022).
- Statistic Yearbook of the Republic of Poland. 2020. Available online: https://stat.gov.pl/en/topics/statistical-yearbooks/statistical-yearbooks/statistical-yearbook-of-the-republic-of-poland-2020,2,22.html (accessed on 1 March 2022).
- Myszograj, S.; Puchalska, E. Waste from rearing and slaughter of poultry—Treat to the environment or feedstock for energy. Environ. Med. 2012, 15, 106–115. [Google Scholar]
- Białecka, B.; Cempa, M.; Adamczyk, Z. Phosphorus-Rich Ash from Poultry Manure Combustion in a Fluidized Bed Reactor. Minerals 2021, 11, 785. [Google Scholar]
- Desmidt, E.; Ghyselbrecht, K.; Zhang, Y.; Pinoy, L.; Van Der Bruggen, B.; Verstraete, W.; Rabaey, K.; Meesschaert, B. Global phosphorus scarcity and full-scale P-recovery techniques: A review. Crit. Rev. Environ. Sci. Technol. 2015, 45, 336–384. [Google Scholar] [CrossRef]
- European Commission. Communication from the Commission to the European Parliament, the Council, the European Economic and Social Committee and the Committee of the Regions on the 2017 list of Critical Raw Materials for the EU; European Commission: Brussels, Belgium, 2017. [Google Scholar]
- Jurgilevich, A.; Birge, T.; Kentala-Lehtonen, J.; Korhonen-Kurki, K.; Pietikäinen, J.; Saikku, L.; Schösler, H. Transition towards circular economy in the food system. Sustainability 2016, 8, 69. [Google Scholar] [CrossRef] [Green Version]
- Steffen, W.; Richardson, K.; Rockström, J.; Cornell, S.E.; Fetzer, I.; Bennett, E.M.; Biggs, R.; Carpenter, S.R.; de Vries, W.; de Wit, C.A.; et al. Planetary Boundaries: Guiding Human Development on a Changing Planet. Science 2015, 347, 1259855. [Google Scholar] [CrossRef] [Green Version]
- Billen, P.; Costa, J.; Van der Aa, L.; Van Caneghem, J.; Vandecasteele, C. Electricity from poultry manure: A cleaner alternative to direct land application. J. Clean. Prod. 2015, 96, 467–475. [Google Scholar] [CrossRef]
- Huand, Y.; Dong, H.; Shang, B.; Xin, H.; Zhu, Z. Characterization of animal manure and cornstalk ashes as affected by incineration temperature. Appl. Energy 2011, 88, 947–952. [Google Scholar]
- Junga, R.; Knauer, W.; Niemiec, P.; Tańczuk, M. Experimental tests of co-combustion of Laying Hens Manure with Coal by Using Thermogravimetric Analysis. Renew. Energy 2017, 111, 245–255. [Google Scholar] [CrossRef]
- Pagliari, P.H.; Rosen, C.J.; Strock, J.S. Characterization of turkey manure ash and its nutrient value for corn and soybean production. Crop Manag. 2009, 8, 1–11. [Google Scholar] [CrossRef]
- Dróżdz, D.; Wystalska, K.; Malińska, K.; Grobelak, A.; Kacprza, M. Management of poultry manure in Poland—Current state and future perspectives. J. Environ. Manag. 2020, 264, 110327. [Google Scholar] [CrossRef] [PubMed]
- Blake, J.; Hess, J. Suitability of poultry litter ash as a feed supplement for broiler chickens. J. Appl. Poult. Res. 2014, 23, 94–100. [Google Scholar] [CrossRef] [Green Version]
- Bolan, N.S.; Szogi, A.A.; Chuasavathi, T.; Seshadri, B.; Rothrock, M.J.; Panneerselvam, P. Uses and management of poultry litter. World Poultry Sci. J. 2010, 66, 673–698. [Google Scholar] [CrossRef] [Green Version]
- Luyckx, L.; de Leeuw, G.H.; Van Caneghem, J. Characterization of Poultry Litter Ash in View of its Valorization. Waste Biomass Valorization 2020, 11, 5333–5348. [Google Scholar] [CrossRef]
- Council Directive No. 91/676/EEC of 12 December 1991 Concerning the Protection of Water against Pollution Caused by Nitrates from Agricultural Sources. Available online: http://data.europa.eu/eli/dir/1991/676/oj (accessed on 1 March 2022).
- Correll, D.L. The Role of Phosphorus in the Eutrophication of Receiving Waters: A Review. J. Environ. Qual. 1998, 27, 261–266. [Google Scholar] [CrossRef] [Green Version]
- Abelha, P.; Gulyurtlu, I.; Boavida, D.; Barros, J.S.; Cabrita, I.; Leahy, J.; Kelleher, B.; Leahy, M. Combustion of Poultry Litter in a Fluidised Bed Combustor. Fuel 2003, 82, 687–692. [Google Scholar] [CrossRef]
- Chastain, J.P.; Coloma-del Valle, A.; Moore, K.P. Using broiler litter as an energy source: Energy content and ash composition. Appl. Eng. Agric. 2012, 28, 513–522. [Google Scholar] [CrossRef]
- Dávalos, J.Z.; Roux, M.V.; Jiménez, P. Evaluation of poultry litter as a feasible fuel. Thermochim. Acta 2002, 394, 261–266. [Google Scholar] [CrossRef]
- The European Parliament and the Council of the European Union. Directive 2000/76/EC of the European Parliament and of the Council of 4 December 2000 on the incineration of waste. Off. J. Eur. Union 2000, 332, 91, Corrigendum in Off. J. Eur. Union 2001, 145, 52. [Google Scholar]
- Gil, M.G.; Casal, D.; Pevida, C.; Pis, J.J.; Rubiera, F. Thermal behaviour and kinetics of coal/biomass blends during co-combustion. Bioresour. Technol. 2010, 101, 5601–5608. [Google Scholar] [CrossRef] [PubMed] [Green Version]
- Tańczuk, M.; Junga, R.; Kolasa-Więcek, A.; Niemiec, P. Assessment of the energy potential of chicken manure in Poland. Energies 2019, 12, 1244. [Google Scholar] [CrossRef] [Green Version]
- Haggstrom, G.; Fursatz, K.; Kuba, M.; Skoglund, N.; Ohman, M. Fate of Phosphorus in Fluidized Bed Co-combustion of Chicken Litter with Wheat Straw and Bark Residues. Energy Fuels 2020, 34, 1822–1829. [Google Scholar] [CrossRef]
- Lynch, D.; Henihan, A.M.; Kwapinski, W.; Zhang, L.; Leahy, J.J. Ash Agglomeration and Deposition during Combustion of Poultry Litter in a Bubbling Fluidized-Bed Combustor. Energy Fuels 2013, 27, 4684–4694. [Google Scholar] [CrossRef]
- Lynch, D.; Henihan, A.M.; Bowen, B.; Lynch, D.; McDonnell, K.; Kwapinski, W.; Leahy, J.J. Utilisation of poultry litter as an energy feedstock. Biomass Bioenergy 2013, 49, 197–204. [Google Scholar] [CrossRef] [Green Version]
- Komiyama, T.; Kobayashi, A.; Yahagi, M. The chemical characteristics of ashes from cattle, swine and poultry manure. J. Mater. Cycles Waste Manag. 2013, 15, 106–110. [Google Scholar] [CrossRef]
- Codling, E.E. Laboratory characterization of extractable phosphorus in poultry litter and poultry litter ash. Soil Sci. 2006, 171, 858–864. [Google Scholar] [CrossRef]
- Codling, E.E.; Chaney, R.L.; Sherwell, J. Poultry litter ash as a potential phosphorus source for agricultural crops. J. Environ. Qual. 2002, 31, 954–961. [Google Scholar] [CrossRef]
- Więckol-Ryk, A.; Białecka, B.; Cempa, A.; Adamczyk, Z. Optimization of chicken manure combustion parameters in the aspect of phosphorus recovery. Int. J. Recycl. Org. Waste Agric. 2020, 9, 73–285. [Google Scholar]
- General Veterinary Inspectorate. 2019. Available online: https://www.wetgiw.gov.pl/handel-eksport-import/rejestry-i-wykazy-podmiotow-nadzorowanych (accessed on 1 March 2022).
- Fiameni, L.; Fahimi, A.; Marchesi, C.; Sorrentino, G.P.; Zanoletti, A.; Moreira, K.; Valentim, B.; Predeanu, G.; Depero, L.E.; Bontempi, E. Phosphorous and Silica Recovery from Rice Husk Poultry Litter Ash: A Sustainability Analysis Using a Zero-Waste Approach. Materials 2021, 14, 6297. [Google Scholar] [CrossRef]
- Huygens, D.; Saveyn, H.G.M.; Tonini, D.; Eder, P.; Delgado Sancho, L. Technical Proposals for Selected New Fertilising Materials under the Fertilising Products Regulation (Regulation (EU) 2019/1009); JRC Science for Policy Report; European Commission: Brussels, Belgium, 2019. [Google Scholar]
- NIEA. Quality Protocol. Poultry Litter Ash—End of Waste Criteria for the Production and Use of Treated Ash from the Incineration of Poultry Litter, Feathers and Straw. Available online: https://assets.publishing.service.gov.uk/government/uploads/system/uploads/attachment_data/file/296435/geho0812bwpk-e-e.pdf (accessed on 1 March 2022).
- Buckwell, A.; Nadeu, E. Nutrient Recovery and Reuse (NRR) in European Agriculture A Review of the Issues, Opportunities, and Actions; The RISE Foundation: Brussels, Belgium, 2016. [Google Scholar]
- Fahimi, A.; Bontempi, E.; Fiameni, L.; Guedes, A.; Guimarães, R.; Moreira, K.; Santos, A.C.; Valentim, B.; Predeanu, G.; Bălănescu, M.; et al. Incineration of Aviary Manure: The Case Studies of Poultry Litter and Laying Hens Manure. Waste Biomass Valor. 2022. [Google Scholar] [CrossRef]
- Rivera, R.M.; Chagnes, A.; Cathelineau, M.; Boiron, M.-C. Conditioning of poultry manure ash for subsequent phosphorous separation and assessment for a process design. Sustain. Mater. Technol. 2022, 31, e00377. [Google Scholar] [CrossRef]
- PN-EN ISO 18763:2016; Soil Quality—Determination of the Toxic Effects of Pollutants on Germination and Early Growth of Higher. Polish Committee for Standardization: Warsaw, Poland, 2016.
- ProAgro. Available online: https://www.pro-agro.pl/katalog-produktow (accessed on 1 March 2022).
- Azofoska. Available online: https://www.azofoska.pl/ (accessed on 1 March 2022).
- ISO 622:2016; Solid Mineral Fuels—Determination of Phosphorus Content—Reduced Molybdophosphate Photometric Method. International Organization for Standardization: Geneva, Switzerland, 2016.
- Adam, C.; Peplinski, B.; Michaelis, M.; Kley, G.; Simon, F.-G. Thermochemical treatment of sewage sludge ashes for phosphorus recovery. Waste Manag. 2009, 29, 1122–1128. [Google Scholar] [CrossRef] [PubMed]
- Malvern Instruments Ldt. Morphologi G3 User Manual; MANO410, issue 3.0; Malvern Instruments Ltd.: Worcestershire, UK, 2010. [Google Scholar]
- ISO 1953:2015; Hard Coal—Size Analysis by Sieving. International Organization for Standardization: Geneva, Switzerland, 2015.
- ISO 3310-1:2016; Test Sieves—Technical Requirements and Testing—Part 1: Test Sieves of Metal Wire Cloth. International Organization for Standardization: Geneva, Switzerland, 2016.
- ISO 7936:1992; Hard Coal—Determination and Presentation of Float and Sink Characteristics—General Directions for Apparatus and Procedures. International Organization for Standardization: Geneva, Switzerland, 1992.
- PN-EN ISO 10523:2012; Water Quality—Determination of pH. Polish Committee for Standardization: Warsaw, Poland, 2012.
- PN-EN 12457-04:2006; Characterization of Waste—Leaching—Compliance Testing for Leaching of Granular Waste Materials and Sludge. Polish Committee for Standardization: Warsaw, Poland, 2006.
- PN-EN 15936:2013-02; Sewage Sludge, Treated Bio-Waste, Soil and Waste—Determination of Total Organic Carbon (TOC) after Dry Combustion. Polish Committee for Standardization: Warsaw, Poland, 2013.
- PN-EN 13877:2004; Determination of Polycyclic Aromatic Hydrocarbons—Method Using High-Performance Liquid Chromatography. Polish Committee for Standardization: Warsaw, Poland, 2004.
- PN-EN 22155:2016; Determination of Volatile Aromatic Hydrocarbons, Volatile Halogenated Hydrocarbons and Selected Ethers Using Gas Chromatography—Method of Static Analysis of the Headspace. Polish Committee for Standardization: Warsaw, Poland, 2016.
- Kelleher, B.P.; Leahy, J.J.; Henihan, A.M.; O’Dwyer, T.F.; Sutton, D.; Leahy, M.J. Advances in poultry litter disposal technology: A review. Bioresour. Technol. 2002, 83, 27–36. [Google Scholar] [CrossRef]
- Staroń, P.; Kowalski, Z.; Staroń, A.; Seidlerowa, J.; Banach, M. Residues from the thermal conversion of waste from the meat industry as a source of valuable macro- and micronutrients. Waste Manag. 2016, 49, 337–345. [Google Scholar] [CrossRef]
- Whitely, N.; Oza, R.; Artiaga, R.; Cao, Y.; Pan, W.P. Multi-utilization of chicken litter as biomass source Pat, I. Comb. Energy Fuels 2006, 20, 2660–2665. [Google Scholar] [CrossRef]
- Bauer, P.J.; Szogi, A.A.; Shumaker, P.D. Fertilizer Efficacy of Poultry Litter Ash Blended with Lime or Gypsum as Fillers. Environments 2019, 6, 50. [Google Scholar] [CrossRef] [Green Version]
- Ervin, C.R. Poultry Litter Ash as an Alternative Fertilizer Source for Corn. Ph.D. Thesis, Virginia Polytechnic Institute and State University, Blacksburg, VA, USA, 2019. [Google Scholar]
- Wells, D.E.; Beasley, J.S.; Bush, E.W.; Gaston, L.A. Poultry litter ash rate and placement affect phosphorus dissolution in a horticultural substrate. J. Environ. Hort. 2017, 35, 117–127. [Google Scholar]
- Vance, C.; Beasley, J.; Gaston, L.; Macal, J.; Sanders, K. Incorporating Poultry Litter Ash as a Pre-plant Fertilizer to Reduce Nutrient Leaching during Bermudagrass Establishment. Commun. Soil Sci. Plant Anal. 2019, 50, 2190–2197. [Google Scholar] [CrossRef]
- Vance, C.; Gaston, L.; Beasley, J. Bermudagrass Establishment on Infertile Soil: Growth and Phosphorus Losses with Poultry Litter Ash and Triple Superphosphate. Commun. Soil Sci. Plant Anal. 2021, 52, 886–895. [Google Scholar] [CrossRef]
- Codling, E.E.; Lewis, J.; Watts, D.B. Broiler Litter Ash and Flue Gas Desulfurization Gypsum Effects on Peanut Yield and Uptake of Nutrients. Commun. Soil Sci. Plant Anal. 2015, 46, 2553–2575. [Google Scholar] [CrossRef]
- Codling, E.E. Effects of phosphorus amended low phosphorus soil on soybean (Glycinemax L.) and wheat (Titicumaestivum L.) yield and phosphorus uptake. J. Plant Nutr. 2019, 42, 891–899. [Google Scholar] [CrossRef]
- Pagliari, P.; Rosen, C.; Strock, J.; Russelle, M. Phosphorus Availability and Early Corn Growth Response in Soil Amended with Turkey Manure Ash. Commun. Soil Sci. Plant Anal. 2010, 41, 1369–1382. [Google Scholar] [CrossRef]
- Masunaga, T.; Fong, J.D.M. Strategies for Increasing Micronutrient Availability in Soil for Plant Uptake. In Plant Micronutrient Use Efficiency; Hossain, M.A., Kamiya, T., Burritt, D.J., Tran, L.-S.P., Fujiwara, T., Eds.; Academic Press: Cambridge, MA, USA, 2018; pp. 195–208. [Google Scholar]
- Bachmann, S.; Eichler-Löbermann, B. Soil Phosphorus Pools as Affected by Application of Poultry Litter Ash in Combination with Catch Crop Cultivation. Commun. Soil Sci. Plant Anal. 2010, 41, 1098–1111. [Google Scholar] [CrossRef]
- Olszewski, P.; Świnder, H.; Białecka, B.; Cempa, M.; Wierzchowski, K. Method of Obtaining a Fertilizer Substrate for Cultivation and Reclamation. Patent Application for the invention No P.440841, 1 April 2022. [Google Scholar]











| Symbol | Description |
|---|---|
| FR-A | Cationic surfactants: quaternary ammonium compounds and ethoxylated and quaternised fatty amine and amphoteric amines from the group of betaines, a mixture of dioxane alcohols. |
| FR-B | Betaine-type amphoteric surfactants, wetting additives, a mixture of dioxane alcohols. |
| FR-C | Non-ionic surfactants, auxiliaries in the form of block copolymers of ethylene oxide and propylene oxide and wetting additives, 2-ethyl hexyl alcohol and a mixture of dioxane alcohols. |
| FR-D | Hydrocarbons from petroleum processing with added surfactants. |
| SR | OECD artificial soil formed mainly from mineral material, according to the standard [40]. |
| CF-S | “Superfosfat” enriched mineral fertiliser (Pro-Agro). Granular fertiliser (2 mm–5 mm). Composition: 40 wt% P2O5, 34 wt% CaO, 5 wt% SO3, with added micro-elements [41]. |
| CF-A | “Azofoska” universal garden fertiliser (Grupa INCO). Composition: 13.3 wt% N, 6.1 wt% P, 17.1 wt% K, 4.5% MgO, 21.0 wt% SO3, 0.025 wt% B, 0.09 wt% Cu, 0.14 wt% Fe, 0.14 wt% Mn, 0.02 wt% Mo, 0.025 wt% Zn [42]. |
| MG | Mixture of grass in the following mass ratios: 65% Lolium perenne L., 5% Poa pratensis L., 25% Festuca rubra L., 5% Festuca trachyphylla K. |
| Classification | Grain Class, μm | |||||||
|---|---|---|---|---|---|---|---|---|
| 1–10 | 10–20 | 20–30 | 30–40 | 40–50 | 50–100 | 100–150 | >150 | |
| Number, % | 92.35 | 6.64 | 0.71 | 0.18 | 0.07 | 0.04 | 0.01 | 0.00 |
| Area, % | 40.62 | 31.97 | 11.03 | 5.83 | 3.65 | 5.90 | 0.65 | 0.35 |
| Volume, % | 13.43 | 24.09 | 14.44 | 10.85 | 8.78 | 21.29 | 3.78 | 3.34 |
| Parameter (a) | Value | Parameter | Value |
|---|---|---|---|
| CE Diameter D [n, 0.1], μm | 1.28 | Aspect Ratio D [n, 0.1] | 0.553 |
| CE Diameter D [n, 0.5], μm | 2.71 | Aspect Ratio D [n, 0.5] | 0.777 |
| CE Diameter D [n, 0.9], μm | 8.86 | Aspect Ratio D [n, 0.9] | 0.906 |
| CE Diameter Mean, μm | 4.25 | Aspect Ratio Mean | 0.764 |
| Width D [n, 0.1], μm | 1.34 | Circularity D [n, 0.1] | 0.764 |
| Width D [n, 0.5], μm | 2.53 | Circularity D [n, 0.5] | 0.936 |
| Width D [n, 0.9], μm | 8.11 | Circularity D [n, 0.9] | 0.983 |
| Width Mean, μm | 3.97 | Circularity Mean | 0.909 |
| Length D [n, 0.1], μm | 1.53 | ||
| Length D [n, 0.5], μm | 3.36 | ||
| Length D [n, 0.9], μm | 12.52 | ||
| Length Mean, μm | 5.73 |
| Main Elements | Content (c), wt% | Trace Elements | Content (c), ppm |
|---|---|---|---|
| SiO2 | 1.61 ± 0.10 | Ag | <2 |
| Al2O3 | 0.26 ± 0.02 | As | <2 |
| Fe2O3 | 0.43 ± 0.02 | Ba | 72 ± 14 |
| CaO | 44.79 (a) ± 4.48 46.59 (b) ± 9.32 | Cd | 7 ± 3 |
| MgO | 6.36 ± 0.64 | Co | 6 ± 3 |
| Na2O | 3.48 ± 0.42 | Cr | <2 |
| K2O | 6.75 ± 0.68 | Cu | <2 |
| TiO2 | 0.020 ± 0.002 | Mo | <2 |
| P2O5 | 15.73 (a) ± 2.20 15.80 (b) ± 3.16 | Ni | 8 ± 3 |
| SO3 | 4.72 ± 0.71 | Pb | 49 ± 10 |
| MnO | 0.13 ± 0.03 | Rb | <2 |
| ZnO | 0.16 ± 0.03 | Sb | <2 |
| LOI | 14.86 ± 2.23 | Sn | <2 |
| Other | 0.69 | Sr | 582 ± 116 |
| Sum | 100.00 | V | <2 |
| Chemical Formula | Content, wt% | Chemical Formula | Content, wt% |
|---|---|---|---|
| CaCO3 | 24.5 | Ca5(PO4,CO3,OH)3 | 4.0 |
| Ca5(OH)(PO4)3 | 18.0 | KCl | 4.0 |
| CaO | 7.0 | SiO2 | 2.5 |
| Ca(OH)2 | 6.5 | CaFe(CO3)2 | 2.0 |
| CaMg(CO3)2 | 5.5 | Fe2O3 | 2.0 |
| MgO | 5.0 | NaCl | 0.5 |
| Total phosporous crystalline phase, %wt. | 22.0 | ||
| Total crystalline phase, %wt. | 81.5 | ||
| Total amorphous phase, %wt. | 18.5 | ||
| Parameter | Content (c) | Unit |
|---|---|---|
| Σ PAH (a) | 1.73 ± 0.44 | mg/kg |
| Σ WAH (b) | <0.080 | mg/kg |
| Ash | 90.56 ± 3.62 | wt% |
| TIC | <0.10 | wt% |
| TOC | 3.78 ± 0.30 | wt% |
| S | 0.04 ± 0.01 | wt% |
| N | 0.17 ± 0.02 | wt% |
| P | 0.067 ± 0.009 | wt% |
| K | 2.01 ± 0.20 | wt% |
| Parameter | Content (b), ppm | Parameter | Content (b), ppm |
|---|---|---|---|
| As | 16 ± 3 | Mo | 1.0 ± 0.3 |
| Ba | 309 ± 62 | Ni | 21 ± 4 |
| Cd | 1.0 ± 0.3 | Pb | 49 ± 10 |
| Co | 13 ± 3 | Sb | 1.0 ± 0.3 |
| Cr | 37 ± 7 | Se | 2.0 ± 0.7 |
| Cu | 23 ± 5 | Sn | 3 ± 1 |
| Hg | 0.20 ± 0.06 | Zn | 147 ± 29 |
| Mn | 1510 ± 302 |
| Class Grain, mm | Weight Yield, % | Total Yield, % | P2O5 (a) Content (b), wt% | CaO (a) Content (b), wt% |
|---|---|---|---|---|
| +0.2 | 4.7 | 4.7 | 15.48 | 50.05 |
| 0.2–0.1 | 12.0 | 16.7 | 15.48 | 48.86 |
| 0.1–0.063 | 19.9 | 36.6 | 16.35 | 47.47 |
| 0.063–0.045 | 27.8 | 64.4 | 15.76 | 45.96 |
| 0.045–0.025 | 28.9 | 93.3 | 15.43 | 45.67 |
| −0.025 | 6.7 | 100.0 | 15.27 | 44.56 |
| Sum | 100.0 | 15.71 | 46.62 |
| Class Grain, mm | Weight Yield, % | Total Yield, % | P2O5 (a) Content (b), wt% | CaO (a) Content (b), wt% |
|---|---|---|---|---|
| +0.2 | 1.8 | 1.8 | 27.30 | 45.02 |
| 0.2–0.1 | 5.3 | 7.1 | 26.77 | 38.71 |
| 0.1–0.063 | 8.6 | 15.7 | 24.59 | 39.62 |
| 0.063–0.045 | 1.7 | 17.4 | 24.80 | 41.12 |
| 0.045–0.025 | 17.3 | 34.7 | 23.56 | 44.86 |
| −0.025 | 65.3 | 100.0 | 15.07 | 50.64 |
| Sum | 100.0 | 18.36 | 47.80 |
| Parameter | Sample | |||
|---|---|---|---|---|
| PMA | PC | CF-S | CF-A | |
| P2O5, wt% | 15.80 | 24.56 | 40.00 [38] | 6.80 [39] |
| P2O5,CA, wt% | 6.89 | 11.85 | 30.65 | 6.52 |
| DB, g/m3 substrate (a) | 330 | 190 | 75 | 150 |
| Test Symbol | Substrate | Test Symbol | Substrate | ||||
|---|---|---|---|---|---|---|---|
| Soil | Fertiliser | Soil | Fertiliser | ||||
| Type | Dose | Type | Dose | ||||
| C1 | SW | - | - | C12 | SR | - | - |
| C2 | SW | CF-S | DB | C13 | SR | CF-S | DB |
| C3 | SW | CF-A | DB | C14 | SR | CF-A | DB |
| C4 | SW | PC | DB | C15 | SR | PC | DB |
| C5 | SW | PC | 1.5 × DB | C16 | SR | PC | 1.5 × DB |
| C6 | SW | PC | 2.0 × DB | C17 | SR | PC | 2.0 × DB |
| C7 | SW | PC | 3.0 × DB | C18 | SR | PC | 3.0 × DB |
| C8 | SW | PMA | DB | C19 | SR | PMA | DB |
| C9 | SW | PMA | 1.5 × DB | C20 | SR | PMA | 1.5 × DB |
| C10 | SW | PMA | 2.0 × DB | C21 | SR | PMA | 2.0 × DB |
| C11 | SW | PMA | 3.0 × DB | C22 | SR | PMA | 3.0 × DB |
| Test Symbol | Substrate | Test Symbol | Substrate | ||||
|---|---|---|---|---|---|---|---|
| Soil | Fertiliser | Soil | Fertiliser | ||||
| Type | Dose | Type | Dose | ||||
| P1 | SW | - | - | P8 | SW | PC | 3.0 × DB |
| P2 | SW | CF-S | DB | P9 | SW | PMA | 0.5 × DB |
| P3 | SW | CF-A | DB | P10 | SW | PMA | 1.0 × DB |
| P4 | SW | PC | 0.5 × DB | P11 | SW | PMA | 1.5 × DB |
| P5 | SW | PC | 1.0 × DB | P12 | SW | PMA | 2.0 × DB |
| P6 | SW | PC | 1.5 × DB | P13 | SW | PMA | 3.0 × DB |
| P7 | SW | PC | 2.0 × DB | ||||
| Plot Symbol | Fertiliser | Plot Symbol | Fertiliser | ||
|---|---|---|---|---|---|
| Type | Dose | Type | Dose | ||
| F1 | - | - | F6 | PC | 2.0 × DB |
| F2 | CF-A | DB | F7 | PC | 3.0 × DB |
| F3 | CF-S | DB | F8 | PMA | 0.5 × DB |
| F4 | PC | 0.5 × DB | F9 | PMA | DB |
| F5 | PC | DB | F10 | PMA | 2.0 × DB |
Publisher’s Note: MDPI stays neutral with regard to jurisdictional claims in published maps and institutional affiliations. |
© 2022 by the authors. Licensee MDPI, Basel, Switzerland. This article is an open access article distributed under the terms and conditions of the Creative Commons Attribution (CC BY) license (https://creativecommons.org/licenses/by/4.0/).
Share and Cite
Cempa, M.; Olszewski, P.; Wierzchowski, K.; Kucharski, P.; Białecka, B. Ash from Poultry Manure Incineration as a Substitute for Phosphorus Fertiliser. Materials 2022, 15, 3023. https://doi.org/10.3390/ma15093023
Cempa M, Olszewski P, Wierzchowski K, Kucharski P, Białecka B. Ash from Poultry Manure Incineration as a Substitute for Phosphorus Fertiliser. Materials. 2022; 15(9):3023. https://doi.org/10.3390/ma15093023
Chicago/Turabian StyleCempa, Magdalena, Paweł Olszewski, Krzysztof Wierzchowski, Piotr Kucharski, and Barbara Białecka. 2022. "Ash from Poultry Manure Incineration as a Substitute for Phosphorus Fertiliser" Materials 15, no. 9: 3023. https://doi.org/10.3390/ma15093023
APA StyleCempa, M., Olszewski, P., Wierzchowski, K., Kucharski, P., & Białecka, B. (2022). Ash from Poultry Manure Incineration as a Substitute for Phosphorus Fertiliser. Materials, 15(9), 3023. https://doi.org/10.3390/ma15093023

