Fabrication and Optical Characterization of VO2-Based Thin Films Deposited on Practical Float Glass by Magnetron Sputtering and Professional Annealing
Abstract
:1. Introduction
2. Materials and Methods
2.1. Preparation of V-Based Metal Films by Magnetron Sputtering
2.2. Preparation of VO2-Based Films by Professional Annealing
2.3. Testing and Characterization
2.4. Data Treatment
3. Results
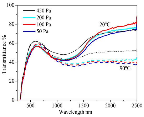
3.1. Transmittance and Microstructure of VO2 Film Based on the Optimization of Thickness and Pressure
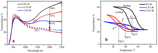
3.2. Transmittance, Loops and Microstructure of W-Doped VO2 Thin Films
3.3. Performance and Micro Morphology of VO2 Film on Intermediate SiO2 Layer
4. Discussion
4.1. Necessity of Two Equipments and Two Steps
4.2. Effect of Substrate on the Preparation and Property of VO2 Thin Film
4.3. Choice between NIRSE and Tlum
4.4. Mechanism of W Doping and Equivalent Effect of O Vacancy
4.5. Effect of 100 nm Intermediate SiO2 Layer
5. Conclusions
Author Contributions
Funding
Institutional Review Board Statement
Informed Consent Statement
Data Availability Statement
Acknowledgments
Conflicts of Interest
References
- Morin, F.J. Oxides Which Show a Metal-to-Insulator Transition at the Neel Temperature. Phys. Rev. Lett. 1959, 3, 34–36. [Google Scholar] [CrossRef]
- Manousou, D.K.; Gardelis, S.; Calamiotou, M.; Syskakis, E. VO2 thin films fabricated by reduction of thermal evaporated V2O5 under N2 flow. Mater. Lett. 2021, 299, 130086. [Google Scholar] [CrossRef]
- Yao, T.; Zhang, X.; Sun, Z.; Liu, S.; Huang, Y.; Xie, Y.; Wu, C.; Yuan, X.; Zhang, W.; Wu, Z. Understanding the Nature of the Kinetic Process in a VO2 Metal-Insulator Transition. Phys. Rev. Lett. 2010, 105, 226405. [Google Scholar] [CrossRef] [PubMed]
- Hu, L.; Tao, H.; Chen, G.; Pan, R.; Wan, M.; Xiong, D.; Zhao, X. Porous W-doped VO2 films with simultaneously enhanced visible transparency and thermochromic properties. J. Sol. Gel. Sci. Technol. 2016, 77, 85–93. [Google Scholar] [CrossRef]
- Ren, H.; Hassna, O.; Li, J.; Arigong, B. A patterned phase-changing vanadium dioxide film stacking with VO2 nanoparticle matrix for high performance energy-efficient smart window applications. Appl. Phys. Lett. 2021, 118, 051901. [Google Scholar] [CrossRef]
- Wang, Z.; Li, B.; Tian, S.; Liu, B.; Zhao, X.; Zhou, X.; Tang, G.; Pang, A. Acid Solution Processed VO2-Based Composite Films with Enhanced Thermochromic Properties for Smart Windows. Materials 2021, 14, 4927. [Google Scholar] [CrossRef]
- Bonora, S.; Beydaghyan, G.; Haché, A.; Ashrit, P. Mid-IR laser beam quality measurement through vanadium dioxide optical switching. Opt. Lett. 2013, 38, 1554–1556. [Google Scholar] [CrossRef]
- Bock, D.C.; Marschilok, A.C.; Takeuchi, K.J.; Takeuchi, E.S. Batteries used to Power Implantable Biomedical Devices. Electrochim. Acta 2012, 84, 155–164. [Google Scholar] [CrossRef] [Green Version]
- Brahlek, M.; Zhang, L.; Lapano, J.; Zhang, H.; Roman, E.; Shukla, N.; Datta, S.; Paik, H.; Schlom, D.G. Opportunities in vanadium-based strongly correlated electron systems. MRS Commun. 2017, 7, 27–52. [Google Scholar] [CrossRef] [Green Version]
- Zhang, C.; Koughia, C.; Güneş, O.; Luo, J.; Hossain, N.; Li, Y.; Cui, X.; Wen, S.; Wong, R.; Yang, Q.; et al. Synthesis, structure and optical properties of high-quality VO2 thin films grown on silicon, quartz and sapphire substrates by high temperature magnetron sputtering: Properties through the transition temperature. J. Alloys Compd. 2020, 848, 156323. [Google Scholar] [CrossRef]
- Ho, H.; Lai, Y.; Chen, K.; Dao, T.; Nagao, T. High quality thermochromic VO2 films prepared by magnetron sputtering using V2O5 target with in situ annealing. Appl. Surf. Sci. 2019, 495, 143436. [Google Scholar] [CrossRef]
- Rajeswaran, B.; Tadeo, I.J.; Umarji, A.M. IR Photoresponsive VO2 Thin Films and Electrically Assisted Transition Prepared by Single-Step Chemical Vapor Deposition. J. Mater. Chem. C 2020, 8, 12543–12550. [Google Scholar] [CrossRef]
- Nazari, S.; Charpentier, P.A. Sol-gel processing of VO2 (M) in supercritical CO2 and supercritical CO2/ionic liquid biphasic system. J. Supercrit. Fluids 2020, 165, 104989. [Google Scholar] [CrossRef]
- Bukhar, S.A.; Kumar, S.; Kumar, P.; Gumfekar, S.P.; Chung, H.J.; Thundat, T.; Goswami, A. The effect of oxygen flow rate on metal–insulator transition (MIT) characteristics of vanadium dioxide (VO2) thin films by pulsed laser deposition (PLD). Appl. Surf. Sci. 2020, 529, 146995. [Google Scholar] [CrossRef]
- Zhang, D.; Sun, H.; Wang, M.; Miao, L.; Liu, H.; Zhang, Y.; Bian, J. VO2 Thermochromic Films on Quartz Glass Substrate Grown by RF-Plasma-Assisted Oxide Molecular Beam Epitaxy. Materials 2017, 10, 314. [Google Scholar] [CrossRef] [Green Version]
- Gurvitch, M.; Luryi, S.; Polyakov, A.; Shabalov, A.; Dudley, M.; Wang, G.; Ge, S.; Yakovlev, V. VO2 films with strong semiconductor to metal phase transition prepared by the precursor oxidation process. J. Appl. Phys. 2007, 102, 033504. [Google Scholar] [CrossRef] [Green Version]
- Luo, Z.; Wu, Z.; Xu, X.; Wang, T.; Jiang, Y. Study of nanocrystalline VO2 thin films prepared by magnetron sputtering and post-oxidation. Chin. Phys. B 2010, 19, 106103. [Google Scholar]
- Liu, X.; Wang, S.; Chen, F.; Yu, L.; Chen, X. Tuning phase transition temperature of VO2 thin films by annealing atmosphere. J. Phys. D-Appl. Phys. 2015, 48, 5104–5111. [Google Scholar] [CrossRef]
- Xu, X.; Yin, A.; Du, X.; Wang, J.; Liu, J.; He, X.; Liu, X.; Huan, Y. A novel sputtering oxidation coupling (SOC) method to fabricate VO2 thin film. Appl. Surf. Sci. 2010, 256, 2750–2753. [Google Scholar] [CrossRef]
- Ba, C.; Fortin, V.; Bah, S.T.; Pandurang, R.V. Formation of VO2 by rapid thermal annealing and cooling of sputtered vanadium thin films. J. Vac. Sci. Technol. A 2016, 34, 031505. [Google Scholar] [CrossRef]
- Lust, M.; Chen, S.; Wilson, C.E.; Argo, J.; Ghalichechian, N. High-contrast, highly textured VO2 thin films integrated on silicon substrates using annealed Al2O3 buffer layers. J. Appl. Phys. 2020, 127, 205303. [Google Scholar] [CrossRef]
- Lin, T.; Zhang, Y.; Zheng, D. The ultrathin VO2 (M) film with ultrahigh visible transmittance synthesized on the quartz glass substrate by HiPIMS. Vacuum 2018, 156, 449–455. [Google Scholar] [CrossRef]
- Cesca, T.; Scian, C.; Petronijevic, E.; Leahu, G.; Mattei, G. Correlation between in situ structural and optical characterization of the semiconductor-to-metal phase transition of VO2 thin films on sapphire. Nanoscale 2019, 12, 851–863. [Google Scholar] [CrossRef] [PubMed] [Green Version]
- Miller, M.J.; Wang, J. Influence of Na diffusion on thermochromism of vanadium oxide films and suppression through mixed-alkali effect. Mater. Sci. Eng. B 2015, 200, 50–58. [Google Scholar] [CrossRef]
- Abbott, D.; Janjan, B.; Miri, M.; Fathi, D.; Heidari, M. Hybrid Si3N4/VO2 Modulator Thermally Triggered by a Graphene Microheater. IEEE J. Sel. Top. Quantum Electron. 2020, 26, 1–7. [Google Scholar]
- Kang, C.; Zhang, C.; Zhang, L.; Liang, S.; Geng, C.; Cao, G.; Zong, H.; Li, M. Transformation of crystalline structure and photoelectric properties in VO2/glass thin films by inserting TiO2 buffer layers. Appl. Surf. Sci. 2019, 463, 704–712. [Google Scholar] [CrossRef]
- Chu, X.; Tao, H.; Liu, Y.; Ni, J.; Bao, J.; Zhao, X. VO2/AZO double-layer films with thermochromism and low-emissivity for smart window applications. J. Non-Cryst. Solids 2014, 383, 121–125. [Google Scholar] [CrossRef]
- Zhu, B.; Tao, H.; Zhao, X. Effect of buffer layer on thermochromic performances of VO2 films fabricated by magnetron sputtering. Infrared Phys. Technol. 2016, 75, 22–25. [Google Scholar] [CrossRef] [Green Version]
- Victor, J.L.; Marcel, C.; Sauques, L.; Labrugere, C.; Amiard, F.; Gibaud, A.; Rougier, A. From multilayers to V1−xWxO2±δ films elaborated by magnetron sputtering for decreasing thermochromic transition temperature. J. Alloys Compd. 2020, 858, 157658. [Google Scholar] [CrossRef]
- Lee, J.S.; Shibuya, K.; Kawasaki, M.; Tokura, Y. Optical investigation of metal-insulator transitions in V1−xWxO2 (0 ≤ x ≤ 0.33). Phys. Rev. B 2012, 85, 155110.1–155110.5. [Google Scholar] [CrossRef]
- Fan, L.; Wang, X.; Wang, F.; Zhang, Q.; Zhu, L.; Meng, Q.; Wang, B.; Zhang, Z.; Zou, C. Revealing the role of oxygen vacancies on the phase transition of VO2 film from the optical-constant measurements. RSC Adv. 2018, 8, 19151–19156. [Google Scholar] [CrossRef] [Green Version]
- ISO 9050-2003; Glass in Building-Determination of Light Transmittance, Solar Direct Transmittance, Total Solar Energy Transmittance, Ultraviolet Transmittance and Related Glazing Factors. International Organization for Standardization: Geneva, Switzerland, 2003.
- Mjejri, I.; Etteyeb, N.; Sediri, F. NaV2O5 nanoplates: Hydrothermal synthesis, characterization and study of their optical and electrochemical properties. Ceram. Int. 2014, 40, 5379–5386. [Google Scholar] [CrossRef]
- Miao, L.; Peng, Y.; Wang, D.; Liang, J.; Hu, C.; Nishibori, E.; Sun, L.; Fisher, C.A.; Tanemura, S. Characterisation of the temperature-dependent M1 to R phase transition in W-doped VO2 nanorod aggregates by Rietveld refinement and theoretical modelling. Phys. Chem. Chem. Phys. 2020, 22, 7984–7994. [Google Scholar] [CrossRef] [PubMed]
- Booth, J.M.; Casey, P.S. Anisotropic Structure Deformation in the VO2 Metal-Insulator Transition. Phys. Rev. Lett. 2009, 103, 086402. [Google Scholar] [CrossRef] [PubMed]
- Goodenough, J.B. The two components of the crystallographic transition in VO2. J. Solid State Chem. 1971, 3, 490–500. [Google Scholar] [CrossRef]
- Zhou, J.; Xie, M.; Cui, A.; Zhou, B.; Jiang, K.; Shang, L.; Hu, Z.; Chu, J. Manipulating Behaviors from Heavy Tungsten Doping on Interband Electronic Transition and Orbital Structure Variation of Vanadium Dioxide Films. ACS Appl. Mater. Interfaces 2018, 10, 30548–30557. [Google Scholar] [CrossRef]
- Talcami, H.; Kanki, T.; Ueda, S.; Kobayashi, K.; Tanaka, H. Filling-controlled molt transition in W-doped VO2. Phys. Rev. B 2012, 85, 45–51. [Google Scholar]
- Sakai, E.; Yoshimatsu, K.; Shibuya, K.; Kumigashira, H.; Ikenaga, E.; Kawasaki, M.; Tokura, Y.; Oshima, M. Competition between instabilities of Peierls transition and Mott transition in W-doped VO2 thin films. Phys. Rev. B 2011, 84, 195132. [Google Scholar] [CrossRef]
- Quackenbush, N.F.; Paik, H.; Holtz, M.E.; Wahila, M.J.; Moyer, J.A.; Barthel, S.; Wehling, T.O.; Arena, D.A.; Woicik, J.C.; Muller, D.A. Reducing orbital occupancy in VO2 suppresses Mott physics while Peierls distortions persist. Phys. Rev. B 2017, 96, 081103.1–081103.5. [Google Scholar] [CrossRef] [Green Version]
- Ling, C.; Wang, Q.; Wang, X.; Zhao, Z.; Wang, Z.; Li, J.; Zhao, Y.; Jin, H. Hole Dopants Disentangling Peierls–Mott Relevance States of VO2 by First-Principles Calculation. J. Phys. Chem. C 2021, 125, 5816–5823. [Google Scholar] [CrossRef]
- Geert, S.; Diederik, D.; Hilde, P.; Guy, B.M.; Roger, D.G. Determination of the V2p XPS binding energies for different vanadium oxidation states (V5+ to V0+). J. Electron Spectrosc. Relat. Phenom. 2004, 135, 167–175. [Google Scholar]
- D’Elia, A.; Grazioli, C.; Cossaro, A.; Li, B.W.; Zou, C.W.; Rezvani, S.J.; Pinto, N.; Marcelli, A.; Coreno, M. Strain mediated filling control nature of the metal-insulator transition of VO2 and electron correlation effects in nanostructured films. Appl. Surf. Sci. 2021, 540, 148341. [Google Scholar] [CrossRef]
- Paez, G.J.; Singh, C.N.; Wahila, M.J.; Tirpak, K. Simultaneous Structural and Electronic Transitions in Epitaxial VO2/TiO2 (001). Phys. Rev. Lett. 2020, 124, 196402. [Google Scholar] [CrossRef] [PubMed]
- Muraoka, Y.; Hiroi, Z. Metal-insulator transition of VO2 thin films grown on TiO2 (001) and (110) substrates. Appl. Phys. Lett. 2002, 80, 583. [Google Scholar] [CrossRef] [Green Version]










| Substrate | Target | Background Pressure (Pa) | Working Gas | Working Pressure (Pa) | Substrate Temperature (°C) | Sputtering Method | Power (W) | Sputtering Time (min) | V Film Thickness (nm) |
|---|---|---|---|---|---|---|---|---|---|
| Glass | V | 3.0 × 10−3 | Ar | 1 | 20 | DC | 77 | 5, 7.5, 10 | 30, 45, 60 |
| Quartz glass | V | 3.0 × 10−3 | Ar | 1 | 20 | DC | 77 | 5 | 30 |
| SiO2 (/glass) | V | 3.0 × 10−3 | Ar | 1 | 20 | DC | 77 | 5 | 30 |
| Glass | W/V | 3.0 × 10−3 | Ar | 1 | 20 | DC | 77 | 7.5 | 45 |
| Substrate | Target | Background Pressure (Pa) | Working Pressure (Pa, Ar) | Substrate Temperature (°C) | Sputtering Method | Power (W) | Sputtering Time (min) | SiO2 Film Thickness (nm) |
|---|---|---|---|---|---|---|---|---|
| Glass | SiO2 | 3.0 × 10−3 | 1 | 200 | RF | 100 | 50 | 100 |
| Metal Film/Substrate | Annealing Atmosphere | Background Pressure (Pa) | Annealing Temperature (°C) | Heating Rate (°C/min) | Annealing Time (h) |
|---|---|---|---|---|---|
| 30 nm V/glass | air | 50, 100, 200, 450, 1500 | 400 | 5 | 1 |
| 45 nm V/glass | air | 200, 450, 700 | 400 | 5 | 1 |
| 60 nm V/glass | air | 450 | 400 | 5 | 1 |
| 30 nm V/quartz glass | air | 1500 | 400 | 5 | 1 |
| 30 nm V/SiO2/glass | air | 200, 450, 600 | 400 | 5 | 1 |
| 45 nm W:V/glass | air | 300, 450 | 400 | 5 | 1 |
| V Film Thickness (nm)-Annealing Pressure (Pa) | NIRSE (@2000 nm) | ΔTir (780–2500 nm) | Tlum (20 °C) | Tlum (90 °C) | Tlum (Average) |
|---|---|---|---|---|---|
| 30–450 | 20% | 7.0% | 63% | 63% | 63% |
| 45–450 | 39% | 10.9% | 44% | 45% | 44.5% |
| 60–450 | 26% | 10.1% | 41% | 38% | 39.5% |
| 45–200 | 16% | 7.4% | 43% | 44% | 43.5% |
| 45–700 | 30% | 4.2% | 61% | 61% | 61% |
| Annealing Pressure (Pa) | NIRSE (@2000 nm) | ΔTir (780–2500 nm) | Tlum (20 °C) | Tlum (90 °C) | Tlum (Average) |
|---|---|---|---|---|---|
| 450 | 20% | 7.0% | 63% | 63% | 63% |
| 200 | 30% | 7.2% | 57% | 57% | 57% |
| 100 | 35% | 8.0% | 56% | 58% | 57% |
| 50 | 30% | 7.3% | 55% | 57% | 56% |
Publisher’s Note: MDPI stays neutral with regard to jurisdictional claims in published maps and institutional affiliations. |
© 2022 by the authors. Licensee MDPI, Basel, Switzerland. This article is an open access article distributed under the terms and conditions of the Creative Commons Attribution (CC BY) license (https://creativecommons.org/licenses/by/4.0/).
Share and Cite
Chu, X.; Xie, Q.; Zhang, X.; Guo, B.; Liao, J.; Zhao, X. Fabrication and Optical Characterization of VO2-Based Thin Films Deposited on Practical Float Glass by Magnetron Sputtering and Professional Annealing. Materials 2022, 15, 2990. https://doi.org/10.3390/ma15092990
Chu X, Xie Q, Zhang X, Guo B, Liao J, Zhao X. Fabrication and Optical Characterization of VO2-Based Thin Films Deposited on Practical Float Glass by Magnetron Sputtering and Professional Annealing. Materials. 2022; 15(9):2990. https://doi.org/10.3390/ma15092990
Chicago/Turabian StyleChu, Xinhong, Qiusheng Xie, Xiaoming Zhang, Bingfeng Guo, Jianqing Liao, and Xiujian Zhao. 2022. "Fabrication and Optical Characterization of VO2-Based Thin Films Deposited on Practical Float Glass by Magnetron Sputtering and Professional Annealing" Materials 15, no. 9: 2990. https://doi.org/10.3390/ma15092990
APA StyleChu, X., Xie, Q., Zhang, X., Guo, B., Liao, J., & Zhao, X. (2022). Fabrication and Optical Characterization of VO2-Based Thin Films Deposited on Practical Float Glass by Magnetron Sputtering and Professional Annealing. Materials, 15(9), 2990. https://doi.org/10.3390/ma15092990
