Characterization of Low-Cost Particulates Used as Energy Storage and Heat-Transfer Medium in Concentrated Solar Power Systems
Abstract
1. Introduction
2. Selection of Particulate Materials
3. Methodology
3.1. Sustainability Test at High Temperatures (Aging Test)
3.2. Elemental Analysis
3.3. Optical Properties
3.4. Thermophysical Properties
3.4.1. Bulk Density
3.4.2. Specific Heat
4. Results and Discussion
4.1. Effects on Optical and Thermophysical Properties of Particulates
4.1.1. Particle Agglomeration
4.1.2. Particle Color Change
4.2. Elemental Analysis
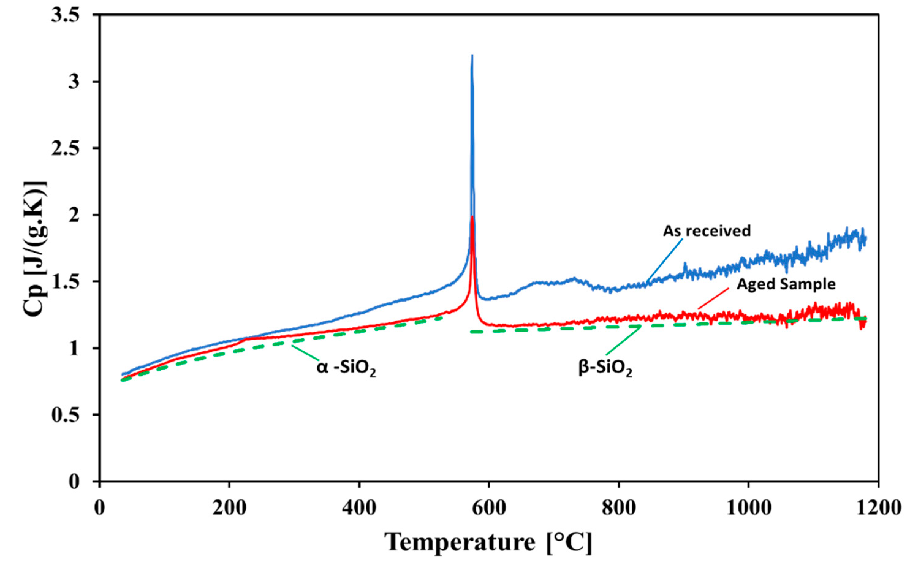
4.3. Specific Heat
4.4. Density
5. Conclusions
- We observed that all of the particulates showed considerable agglomeration, except for the white sand.
- The color of the red sand changed entirely to white.
- The white sand turned more whitish, while the Carbobead CP exhibited a slight color change compared to the original.
- There was slight agglomeration in the Carbobead CP sample at 1200 °C. According to the appearance, the solar absorptance was very low for the red sand (40.46%) and white sand (36.11%), while the Carbobead CP showed high solar absorptance (85.04%) after aging.
- The white sand and red sand turned completely into pure silica after the cyclic heating, and this was evident in the heat analysis and qualitative elements.
- The chemical composition of the white sand was almost constant after the cyclic heating, indicating that the material had high durability and reliability. Furthermore, matching the cp values with the pure silica values after the aging test showed the positive effects of cyclic heating at high temperatures. However, the lower solar absorptance, which was slightly decreased after the cyclic heating, remains as the major issue.
- EDX and XRD analyses of the red sand showed that the aging test converted its chemical composition entirely into pure silica by removing all the other elements and impurities.
- A slight decrease in the solar absorbance was observed in the Carbobead CP from what it was “as received” after cyclic heating. This decrease did not continue after 32 h of cyclic heating. The EDX and XRD results showed an almost similar chemical structure stability after cyclic heating.
Author Contributions
Funding
Institutional Review Board Statement
Informed Consent Statement
Data Availability Statement
Acknowledgments
Conflicts of Interest
References
- Schmitz, M.; Schwarzbözl, P.; Buck, R.; Pitz-Paal, R. Assessment of the potential improvement due to multiple apertures in central receiver systems with secondary concentrators. Sol. Energy 2006, 80, 111–120. [Google Scholar] [CrossRef]
- Fend, T.; Pitz-Paal, R.; Reutter, O.; Bauer, J.; Hoffschmidt, B. Two novel high-porosity materials as volumetric receivers for concentrated solar radiation. Sol. Energy Mater. Sol. Cells 2004, 84, 291–304. [Google Scholar] [CrossRef]
- Koll, G.; Schwarzbözl, P.; Hennecke, K.; Hartz, T.; Schmitz, M.; Hoffschmidt, B. The solar tower Julich—A research and demonstration plant for central receiver systems. In Proceedings of the SolarPACES 2009, Berlin, Germany, 15–18 September 2009. [Google Scholar]
- Ho, C.K. Advances in central receivers for concentrating solar application. Sol. Energy 2017, 152, 38–56. [Google Scholar] [CrossRef]
- Reilly, H.; Kolb, G. An Evaluation of Molten-Salt Power Towers Including Results of the Solar Two Project; SAND2001-3674; Sandia National Laboratories: Albuquerque, NM, USA, 2001. [Google Scholar]
- Ortega, J.; Burgaleta, J.; Téllez, F. Central receiver system solar power plant using molten salt as heat transfer fluid. J. Sol. Energy Eng. 2008, 130, 024501. [Google Scholar] [CrossRef]
- Laing, D.; Bahl, C.; Bauer, T.; Lehmann, D.; Steinmann, W. Thermal energy storage for direct steam generation. Sol. Energy 2011, 85, 627–633. [Google Scholar] [CrossRef]
- Laing, D.; Steinmann, W.; Viebahn, P.; Gräter, F.; Bahl, C. Economic Analysis and Life Cycle Assessment of Concrete Thermal Energy Storage for Parabolic Trough Power Plants. J. Sol. Energy Eng. 2010, 132, 041013. [Google Scholar] [CrossRef]
- Warerkar, S.; Schmitz, S.; Goettsche, J.; Hoffschmidt, B.; Reißel, M.; Tamme, R. Air-sand heat exchanger for high-temperature storage. J. Sol. Energy Eng. 2011, 133, 021010. [Google Scholar] [CrossRef]
- Martin, J.; Vitko, J.A. Solar Central Receiver Utilizing a Solid Thermal Carrier; Sandia Report No. SAND82-8203; Sandia National Laboratories: Albuquerque, NM, USA, 1982. [Google Scholar]
- Hruby, J.M. A Technical Feasibility Study of a Solid Particle Solar Central Receiver for High Temperature Applications; Sandia Report No. SAND86-8211; Sandia National Laboratories: Albuquerque, NM, USA, 1986. [Google Scholar]
- Falcone, P.K. Technical Review of the Solid Particle Receiver Program; Sandia Report No. SAND84-8229; Sandia National Laboratories: Albuquerque, NM, USA, 1984. [Google Scholar]
- Falcone, P.K.; Noring, J.E.; Hruby, J.M. Assessment of a Solid Particle Receiver for a High Temperature Solar Central Receiver System; Sandia Report No. SAND85-8208; Sandia National Laboratories: Albuquerque, NM, USA, 1985. [Google Scholar]
- Stahl, K.A.; Griffin, J.W.; Matson, B.S.; Pettit, R.B. Optical Characterization of Solid Particle Solar Central Receiver Materials; Sandia Report No. SAND86-1215; Sandia National Laboratories: Albuquerque, NM, USA, 1986. [Google Scholar]
- Messing, G.L.; Kupp, D.M.; Hellmann, J.R. Sintering of Coarse Ceramic Particles; Sandia Report No. SAND85-0064; Sandia National Laboratories: Albuquerque, NM, USA, 1985. [Google Scholar]
- Hruby, J.M.; Burolla, V.P. Solid Particle Receiver Experiments: Velocity Measurements; Sandia Report No. SAND84-8238; Sandia National Laboratories: Albuquerque, NM, USA, 1984. [Google Scholar]
- Hruby, J.M.; Steeper, R.; Evans, G.H.; Crowe, C.T. An Experimental and Numerical Study of Flow and Convective Heat Transfer in a Freely Falling Curtain of Particles; Sandia Report No. SAND84-8714; Sandia National Laboratories: Albuquerque, NM, USA, 1986. [Google Scholar]
- Zunft, S.; Hänel, M.; Krüger, M.; Dreißigacker, V.; Göhring, F.; Wahl, E. Jülich Solar Power Tower—Experimental Evaluation of the Storage Subsystem and Performance Calculation. J. Sol. Energy Eng. 2011, 133, 031019. [Google Scholar] [CrossRef]
- Avila-Marin, A.L.; Alvarez-Lara, M.; Fernandez-Reche, J. A Regenerative Heat Storage System for Central Receiver Technology Working with Atmospheric Air. Energy Procedia 2014, 49, 705–714. [Google Scholar] [CrossRef]
- Tescari, S.; Breuer, S.; Roeb, M.; Sattler, C.; Flucht, F.; Schmücker, M.; Karagiannakis, G.; Pagkoura, C.; Konstandopoulos, A.G. Design of a Thermochemical Storage System for Air-operated Solar Tower Power Plants. Energy Procedia 2015, 69, 1039–1048. [Google Scholar] [CrossRef][Green Version]
- Calderón, A.; Barreneche, C.; Palacios, A.; Segarra, M.; Prieto, C.; Rodriguez-Sanchez, A.; Fernandez, A.I. Review of solid particle materials for heat transfer fluid and thermal energy storage in solar thermal power plants. Energy Storage 2019, 1, e63. [Google Scholar] [CrossRef]
- Gimeno-Furio, A.; Hernandez, L.; Martinez-Cuenca, R.; Mondragón, R.; Vela, A.; Cabedo, L.; Barreneche, C.; Iacob, M. New coloured coatings to enhance silica sand absorbance for direct particle solar receiver applications. Renew. Energy 2020, 152, 1–8. [Google Scholar] [CrossRef]
- Kang, Q.; Flamant, G.; Dewil, R.; Baeyens, J.; Zhang, H.L.; Deng, Y.M. Particles in a circulation loop for solar energy capture and storage. Particuology 2019, 43, 149–156. [Google Scholar] [CrossRef]
- Siegel, N.; Gross, M.; Ho, C.; Phan, T.; Yuan, J. Physical properties of solid particle thermal energy storage media for concentrating solar power applications. Energy Procedia 2014, 49, 1015–1023. [Google Scholar] [CrossRef]
- Palacios, A.; Calderón, A.; Barreneche, C.; Bertomeu, J.; Segarra, M.; Fernández, A.I. Study on solar absorptance and thermal stability of solid particles materials used as TES at high temperature on different aging stages for CSP applications. Sol. Energy Mater. Sol. Cells 2019, 201, 110088. [Google Scholar] [CrossRef]
- Nie, F.; Cui, Z.; Bai, F.; Wang, Z. Properties of solid particles as heat transfer fluid in a gravity driven moving bed solar receiver. Sol. Energy Mater. Sol. Cells 2019, 200, 110007. [Google Scholar] [CrossRef]
- Diago, M.; Iniesta, A.C.; Soum-Glaude, A.; Calvet, N. Characterization of desert sand to be used as a high-temperature thermal energy storage medium in particle solar receiver technology. Appl. Energy 2018, 216, 402–413. [Google Scholar] [CrossRef]
- Calderón, A.; Barreneche, C.; Fernández, A.I.; Segarra, M. Thermal cycling test of solid particles to be used in concentrating solar power plants. Sol. Energy Mater. Sol. Cells 2021, 222, 110936. [Google Scholar] [CrossRef]
- Díaz-Heras, M.; Calderón, A.; Navarro, M.; Almendros-Ibáñez, J.A.; Fernández, A.I.; Barreneche, C. Characterization and testing of solid particles to be used in CSP plants: Aging and fluidization tests. Sol. Energy Mater. Sol. Cells 2021, 219, 110793. [Google Scholar] [CrossRef]
- Al-Ansary, H.; El-Leathy, A.; Jeter, S.; Golob, M.; Nguyen, C.; Djajadiwinata, E.; Alaqel, S.; Saeed, R.; Abdel-Khalik, S.; Al-Suhaibani, Z.; et al. Design features of the world’s first commercial concentrating solar plant using the particle heating receiver concept. In Proceedings of the ASME 2019 13th International Conference on Energy Sustainability, Bellevue, DC, USA, 15–17 July 2019. Paper No. ES2019-3856. [Google Scholar]
- Alaqel, S.; El-Leathy, A.; Al-Ansary, H.; Djajadiwinata, E.; Saleh, N.; Danish, S.; Saeed, R.; Alswaiyd, A.; Al-Suhaibani, Z.; Jeter, S.; et al. Experimental investigation of the performance of a shell-and-tube particle-to-air heat exchanger. Sol. Energy 2020, 204, 561–568. [Google Scholar] [CrossRef]
- Al-Ansary, H.; El-Leathy, A.; Alswaiyd, A.; Alaqel, S.; Saleh, N.; Saeed, R.; Al-Suhaibani, Z.; Danish, S.; Djajadiwinata, E.; Jeter, S. Study of the Optimum Discrete Structure Configuration in Obstructed Flow Particle Heating Receivers. In Proceedings of the SolarPACES, Daegu, South Korea, 1–4 October 2019. [Google Scholar]
- Al-Ansary, H.; El-Leathy, A.; Saeed, R.; Alswaiyd, A.; Al-Suhaibani, Z.; Danish, S.; Al-Absi, N.; Alaqel, S.; Djajadiwinata, E.; Jeter, S. Material Compatibility Between Discrete Structures in a Particle Heating Receiver and Candidate Particulates. In Proceedings of the SolarPACES, Daegu, South Korea, 1–4 October 2019. [Google Scholar]
- Al-Ansary, H.; Danish, S.N.; El-Leathy, A.; Jeter, S.; Golob, M.; Alaqel, S.; Djajadiwinata, E.; Nguyen, C.; Abdel-Khalik, S.; Saad, R.; et al. Assessment of Optical, Physical, & Chemical Properties of Red Sand Used in Long-Term Operation in a PHR Power Tower System. In Proceedings of the SolarPACES Conference 2018, Casablanca, Morocco, 2–5 October 2018. [Google Scholar]
- Danish, S.N.; Almutairi, Z.; El-Leathy, A.; Al-Ansary, H.; Jardan, Y.; Alaqel, S. Modeling and Performance Simulation of an Innovative Concept of Linear Fresnel Reflector based CSP System. J. Therm. Sci. 2021, 30, 1614–1624. [Google Scholar] [CrossRef]
- Al-Ansary, H.; El-Leathy, A.; Djajadiwinata, E.; Jeter, S.; Golob, M.; Nguyen, C.; Abdel-Khalik, S.; Saad, R.; Danish, S.; Al-Suhaibani, Z. On-Sun Experiments on a Particle Heating Receiver with Red Sand as the Working Medium. In Proceedings of the SolarPACES 2017, Santiago, Chile, 27 September 2017. [Google Scholar]
- Danish, S.N.; El-Leathy, A.; Alata, M.; Al-Ansary, H. Enhancing Solar Still Performance Using Vacuum Pump and Geothermal Energy. Energies 2019, 12, 539. [Google Scholar] [CrossRef]
- Danish, S.N.; El-Leathy, A.; Al-Ansary, H.; Djajadiwinata, E.; Saeed, R.; Ahmad, T.; Nabi, K.; Rizvi, A.; Al-Suhaibani, Z. On-ground Testing of the Thermal Insulation of an Energy Storage Hot Bin Filled with Heated Sand for a Falling Particle Receiver based CSP System. In Proceedings of the SolarPACES 2016, Abu Dhabi, United Arab Emirates, 11–14 October 2016. [Google Scholar]
- El-Leathy, A.; Al-Ansary, H.; Danish, S.; Saeed, R.; Djajadiwinata, E.; Al-Suhaibani, Z. Experimental Evaluation of the Performance of a Thermal Energy Storage System used for Solar Energy Applications. In Proceedings of the SolarPACES 2016, Abu Dhabi, United Arab Emirates, 11–14 October 2016. [Google Scholar]
- Khan, S.U.-D.; Wazeer, I.; Almutairi, Z.; Khan, S.U.-D. Technical assessment of 10 MW solar thermal plant using nano-fluids and molten salts: A case study of Saudi Arabia. Appl. Nanosci. 2022, 1–8. [Google Scholar] [CrossRef]
- El-Leathy, A.; Jeter, S.; Al-Ansary, H.; Abdel-Khalik, S.; Golob, M.; Danish, S.N.; Saeed, R.; Djajadiwinata, E.; Al-Suhaibani, Z. Experimental Measurements of Thermal Properties of High-Temperature Refractory Materials Used for Thermal Energy Storage. In Proceedings of the SolarPACES 2015, Cape Town, South Africa, 13–16 October 2015. [Google Scholar]
- Al-Ansary, H.; Djajadiwinata, E.; El-Leathy, A.; Danish, S.N.; Al-Suhaibani, Z. Modeling of transient cyclic behavior of a solid particle thermal energy storage bin for central receiver applications. Energy Procedia 2015, 69, 716–725. [Google Scholar] [CrossRef][Green Version]
- El-Leathy, A.; Jeter, S.; Al-Ansary, H.; Abdel-Khalik, S.; Roop, J.; Golob, M.; Danish, S.; Alrished, A.; Djajadiwinata, E.; Al-Suhaibani, Z. Thermal Performance Evaluation of Two Thermal Energy Storage Tank Design Concepts for Use with a Solid Particle Receiver-Based Solar Power Tower. Energies 2014, 7, 8201–8216. [Google Scholar] [CrossRef]
- Saeed, R.; Almutairi, Z. Effect of the Cyclic Heating (Aging) on the Solar Absorptance and Specific Heat of Particulate Materials. In Proceedings of the 26th SolarPACES Conference, Online Event, 28 September–2 October 2020. [Google Scholar]
- Djajadiwinata, E.; Jeter, S. On-sun Experiments on Various Particulate Materials Flowing through Obstructed Particle Heating Receiver for Solar Power Tower Systems. In Proceedings of the 27th SolarPACES Conference, Online Event, 27 September–1 October 2021. [Google Scholar]
- Ho, C.K.; Carlson, M.; Albrecht, K.J.; Ma, Z.; Jeter, S.; Nguyen, C.M. Evaluation of Alternative Designs for a High Temperature Particle-to-sCO2 Heat Exchanger. J. Sol. Energy Eng. 2019, 141, 021001. [Google Scholar] [CrossRef]
- Yao, H.; Hatta, I. Phase transitions of quartz studied by a.c. calorimetry. Thermochim. Acta 1995, 266, 301–308. [Google Scholar] [CrossRef]
- Chase, M.W., Jr. NIST-JANAF Thermochemical Tables. J. Phys. Chem. Ref. Data Monogr. 1998, 9, 1–1951. [Google Scholar]











| Material | White Sand | Red Sand | Ilmenite | Carbobead CP |
|---|---|---|---|---|
| Average Particle Diameter (µm) | 210 to 425 | 210 to 425 | 210 to 425 | 300 |
| Shape | Irregular | Irregular | Irregular | Regular |
| Cost (per kg) | USD 0.03 to USD 0.05 | USD 0.03 to USD 0.05 | USD 0.03 to USD 0.07 | $1 |
| Optical Properties (As Received) | Low | Low | High | High |
| Local Availability | Widely available | Widely available | Widely available | Not available |
| Specific Heat * (kJ/kg°C) | - | - | - | 50 °C ≤ T ≤ 1100 °C |
| Chemical Composition * | - | - | - | 75% Al2O3, 11% SiO2, 9% Fe2O3, 3% TiO2, and 2% others |
| Material | Fresh | 800 °C | 1000 °C | 1200 °C | Cyclic Heating for 500 h at 1200 °C |
|---|---|---|---|---|---|
| White Sand | ![]() | ![]() | ![]() | ![]() | ![]() |
| Red Sand | ![]() | ![]() | ![]() | ![]() | ![]() |
| Ilmenite | ![]() | ![]() | ![]() | ![]() | |
| Carbobead CP | ![]() | ![]() | ![]() | ||
| Sample | Fresh | 800 °C | 1000 °C | 1200 °C (500 h) |
|---|---|---|---|---|
| White Sand | 41.48 ± 1.00 | 41.29 ± 0.36 | 37.20 ± 0.62 | 36.11 ± 0.84 |
| Red Sand | 64.57 ± 0.3 | 62.78 ± 0.34 | 61.20 ± 0.24 | 40.47 ± 1.3 |
| Ilmenite | 90.94 ± 0.92 | 85.66 ± 0.81 | 92.02 ± 0.37 | |
| Carbobead | 85.04 ± 0.13 | |||
| (Abs %) measurements of Carbobead “as received” after heating at 1200 °C | ||||
| Carbobead | 4 h | 83.54 ± 0.21 | ||
| Carbobead | 32 h | 85.25 ± 0.12 | ||
| Element | White Sand (Weight %) | ||||
|---|---|---|---|---|---|
| Fresh | 800 °C | 1000 °C | 1200 °C | 1200 °C—500 h | |
| O | 64.94 | 66.83 | 67.40 | 63.52 | 57.59 |
| Al | 1.16 | 1.00 | 1.17 | 1.26 | 0.99 |
| Si | 33.90 | 32.17 | 31.41 | 35.22 | 41.42 |
| Total | 100.00 | 100.00 | 99.99 | 100.00 | 99.99 |
| Element | Red Sand (Weight %) | ||||
|---|---|---|---|---|---|
| Fresh | 800 °C | 1000 °C | 1200 °C | 1200 °C—500 h | |
| O | 64.99 | 60.43 | 61.17 | 64.12 | 59.58 |
| Mg | 0.55 | 0.71 | 0.41 | 0.51 | - |
| Al | 2.14 | 2.59 | 2.26 | 1.91 | 1.80 |
| Si | 29.54 | 32.30 | 30.71 | 29.96 | 38.62 |
| K | 0.22 | 0.26 | 0.48 | 0.35 | - |
| Ca | 0.42 | 0.71 | 2.01 | 0.79 | - |
| Ti | - | - | 0.34 | - | - |
| Fe | 2.12 | 3.00 | 2.65 | 2.35 | - |
| Total | 99.99 | 100.00 | 100.03 | 100.00 | 100.00 |
| Element | CARBOBEAD CP (Weight %) | |||
|---|---|---|---|---|
| Fresh | 1200 °C—4 h | 1200 °C—32 h | 1200 °C—500 h | |
| O | 49.95 | 50.91 | 51.37 | 51.59 |
| Al | 31.38 | 40.25 | 40.75 | 39.42 |
| Si | 6.76 | 2.20 | 3.52 | 4.79 |
| Fe | 11.27 | 3.80 | 2.84 | 4.19 |
| Ti | 0.65 | 1.90 | 1.52 | - |
| Mn | - | 1.43 | - | - |
| Total | 100.00 | 100.43 | 100.00 | 99.99 |
| Material | Bulk Density | Particle Density | ||||||
|---|---|---|---|---|---|---|---|---|
| As Received | 800 °C—6 h | 1000 °C—6h | 1200 °C—500 h | As Received | 800 °C—6 h | 1000 °C—6 h | 1200 °C—500 h | |
| RS | 1610.1 ± 0.6% | 1639.6 ± 1.2% | 1590.5 ± 1% | 1319.9 ± 2% | 2692.8 ± 0.9% | 3880.2 ± 11% | 3528.9 ± 8.5% | 4457.5 ± 13% |
| WS | 1549.9 ± 0.7% | 1606.8 ± 1% | 1710.5 ± 1.1% | 1726.5 ± 1.6% | 2792.4 ± 1.3% | 3023.5 ± 3.5% | 3054.7 ± 4.2% | 3397.1 ± 8.3% |
| Note: The heat treatment of the Carbobead CP was only done at 1200 °C for different periods. | ||||||||
| CP | As Received | 4 h | 32 h | 500 h | As Received | 4 h | 32 h | 500 h |
| 2029.0 ± 0.9% | 2138.7 ± 1.3% | 2197.3 ± 1.5% | 2077.4 ± 1.2% | 3248.8 ± 1.0% | 4193.4 ± 6.6% | 4398.0 ± 7.3% | 3818.2 ± 8.4% | |
Publisher’s Note: MDPI stays neutral with regard to jurisdictional claims in published maps and institutional affiliations. |
© 2022 by the authors. Licensee MDPI, Basel, Switzerland. This article is an open access article distributed under the terms and conditions of the Creative Commons Attribution (CC BY) license (https://creativecommons.org/licenses/by/4.0/).
Share and Cite
Saeed, R.S.; Alswaiyd, A.; Saleh, N.S.; Alaqel, S.; Djajadiwinata, E.; El-Leathy, A.; Danish, S.N.; Al-Ansary, H.; Jeter, S.; Al-Suhaibani, Z.; et al. Characterization of Low-Cost Particulates Used as Energy Storage and Heat-Transfer Medium in Concentrated Solar Power Systems. Materials 2022, 15, 2946. https://doi.org/10.3390/ma15082946
Saeed RS, Alswaiyd A, Saleh NS, Alaqel S, Djajadiwinata E, El-Leathy A, Danish SN, Al-Ansary H, Jeter S, Al-Suhaibani Z, et al. Characterization of Low-Cost Particulates Used as Energy Storage and Heat-Transfer Medium in Concentrated Solar Power Systems. Materials. 2022; 15(8):2946. https://doi.org/10.3390/ma15082946
Chicago/Turabian StyleSaeed, Rageh S., Abdulelah Alswaiyd, Nader S. Saleh, Shaker Alaqel, Eldwin Djajadiwinata, Abdelrahman El-Leathy, Syed Noman Danish, Hany Al-Ansary, Sheldon Jeter, Zeyad Al-Suhaibani, and et al. 2022. "Characterization of Low-Cost Particulates Used as Energy Storage and Heat-Transfer Medium in Concentrated Solar Power Systems" Materials 15, no. 8: 2946. https://doi.org/10.3390/ma15082946
APA StyleSaeed, R. S., Alswaiyd, A., Saleh, N. S., Alaqel, S., Djajadiwinata, E., El-Leathy, A., Danish, S. N., Al-Ansary, H., Jeter, S., Al-Suhaibani, Z., & Almutairi, Z. (2022). Characterization of Low-Cost Particulates Used as Energy Storage and Heat-Transfer Medium in Concentrated Solar Power Systems. Materials, 15(8), 2946. https://doi.org/10.3390/ma15082946


















