Efficient Adsorption-Assisted Photocatalysis Degradation of Congo Red through Loading ZIF-8 on KI-Doped TiO2
Abstract
:1. Introduction
2. Materials and Methods
2.1. Materials
2.2. Preparation and Testing of Photocatalyst
2.2.1. Preparation of TiO2 (KI)
2.2.2. Preparation of ZIF-8@TiO2 (5%KI)
2.2.3. Evaluation of Photocatalytic Activity
2.3. Characterization
3. Results
3.1. Crystal Structure Analysis of Photocatalyst
3.2. Morphology Analysis
3.3. Element Analysis
3.4. Analysis of Specific Surface Area
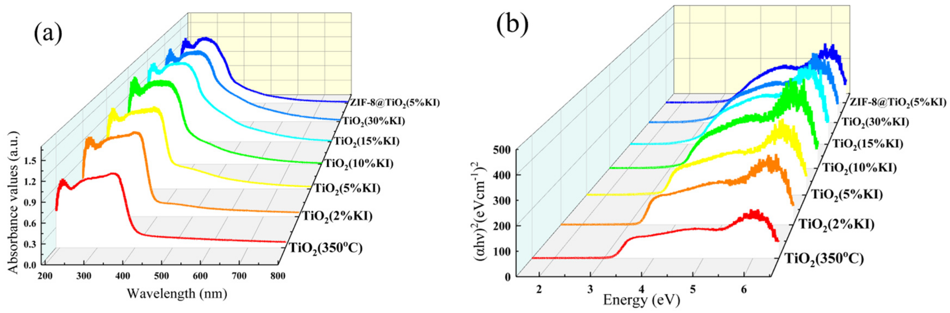
3.5. Analysis of UV-Vis Diffuse Reflectance Spectroscopy (UV-Vis DRS)
3.6. Evaluation of Photocatalyst Performance
3.6.1. Effect of KI Doping Amount for Photocatalytic Efficiency
3.6.2. Effect of Congo Red Concentration on Photocatalytic Efficiency
3.6.3. Effect of Dosage of ZIF-8@TiO2 (5%KI) on Photocatalytic Efficiency
3.6.4. Reuse
4. Conclusions
Supplementary Materials
Author Contributions
Funding
Institutional Review Board Statement
Informed Consent Statement
Data Availability Statement
Conflicts of Interest
References
- Gupta, V.K.; Suhas. Application of low-cost adsorbents for dye removal—A review. J. Environ. Manag. 2009, 90, 2313–2342. [Google Scholar] [CrossRef] [PubMed]
- Slama, H.B.; Bouket, A.C.; Pourhassan, Z.; Alenezi, F.N.; Silini, A.; Silini, H.C.; Oszako, T.; Luptakova, L.; Golinska, P.; Belbahri, L. Diversity of synthetic dyes from textile industries, discharge impacts and treatment methods. Appl. Sci. 2021, 11, 6255. [Google Scholar] [CrossRef]
- Rai, H.S.; Bhattacharyya, M.S.; Singh, J.; Bansal, T.K.; Vats, P.; Banerjee, U.C. Removal of Dyes from the Effluent of Textile and Dyestuff Manufacturing Industry: A Review of Emerging Techniques with Reference to Biological Treatment. Crit. Rev. Environ. Sci. Technol. 2005, 35, 19–238. [Google Scholar] [CrossRef]
- Islam, M.A.; Ali, I.; Karim, S.M.A.; Firoz, M.S.H.; Chowdhury, A.N.; Morton, D.W.; Angovea, M.J. Removal of dye from polluted water using novel nano manganese oxide-based materials. J. Water Process Eng. 2019, 32, 100911. [Google Scholar] [CrossRef]
- Rafii, F.; Hall, J.D.; Cerniglia, C.E. Mutagenicity of azo dyes used in foods, drugs and cosmetics before and after reduction by Clostridium species from the human intestinal tract. Food. Chem. Toxicol. 1997, 35, 897–901. [Google Scholar] [CrossRef]
- Chung, K.T. Azo dyes and human health: A review. J. Environ. Sci. Health Part C 2016, 34, 233–261. [Google Scholar] [CrossRef]
- Sharma, G.; Algarni, T.S.; Kumar, P.S.; Bhogal, S.; Kumar, A.; Sharma, S.; Naushad, M.; Alothman, A.Z.; Stadler, F.J. Utilization of Ag2O–Al2O3–ZrO2 decorated onto rGO as adsorbent for the removal of Congo red from aqueous solution. Environ. Res. 2021, 197, 111179. [Google Scholar] [CrossRef]
- Zhao, D.; Wu, X.; Guan, H.; Han, E. Study on supercritical hydrothermal synthesis of CoFe2O4 nanoparticles. J. Supercrit. Fluids 2007, 42, 226–233. [Google Scholar] [CrossRef]
- Magdalane, C.M.; Priyadharsini, G.M.A.; Kaviyarasu, K.; Jothi, A.I.; Simiyon, G.G. Synthesis and characterization of TiO2 doped cobalt ferrite nanoparticles via microwave method: Investigation of photocatalytic performance of congo red degradation dye. Surf. Interfaces 2021, 25, 101296. [Google Scholar] [CrossRef]
- Baruah, M.; Ezung, S.L.; Supong, A.; Bhomick, P.C.; Kumar, S.; Sinha, D. Synthesis, characterization of novel Fe-doped TiO2 activated carbon nanocomposite towards photocatalytic degradation of Congo red. J. Chem. Eng. 2021, 38, 1277–1290. [Google Scholar] [CrossRef]
- Kadam, A.N.; Dhabbe, R.S.; Kokate, M.R.; Gaikwad, Y.B.; Garadkar, K.M. Preparation of N doped TiO2 via microwave-assisted method and its photocatalytic activity for degradation of Malathion. Spectrochim. Acta Part A Mol. Biomol. Spectrosc. 2014, 133, 669–676. [Google Scholar] [CrossRef] [PubMed]
- Tojo, S.; Tachikawa, T.; Fujitsuka, M.; Majima, T. Iodine-doped TiO2 photocatalysts: Correlation between band structure and mechanism. J. Phys. Chem. C 2008, 112, 14948–14954. [Google Scholar] [CrossRef]
- Hui, G.H.; Wu, L.L.; Pan, M.; Chen, Y.Q.; Li, T.; Zhang, X.B. Carbon nanotube gas sensor based on corona discharge. Chin. J. Anal. Chem. 2006, 34, 1813–1816. [Google Scholar] [CrossRef]
- Chen, B.; Eddaoudi, M.; Hyde, S.T.; O’Keeffe, M.; Yaghi, O.M. Interwoven metal-organic framework on a periodic minimal surface with extra-large pores. Science 2001, 291, 1021–1023. [Google Scholar] [CrossRef] [Green Version]
- Park, K.S.; Zheng, N.; Côté, A.P.; Choi, J.Y.; Huang, R.; Uribe-Romo, F.J.; Chae, K.K.; O’Keeffe, M.; Yaghi, O.M. Exceptional chemical and thermal stability of zeolitic imidazolate frameworks. Proc. Natl. Acad. Sci. USA 2006, 103, 10186–10191. [Google Scholar] [CrossRef] [PubMed] [Green Version]
- Kong, Z.C.; Liao, J.F.; Dong, Y.J.; Xu, Y.F.; Chen, H.Y.; Kuang, D.B.; Su, C.Y. Core@shell CsPbBr3@zeolitic imidazolate framework nanocomposite for efficient photocatalytic CO2 reduction. ACS Energy Lett. 2018, 3, 2656–2662. [Google Scholar] [CrossRef]
- Zeng, X.; Huang, L.Q.; Wang, C.N.; Wang, J.S.; Li, J.T.; Luo, X.T. Sonocrystallization of ZIF-8 on electrostatic spinning TiO2 nanofibers surface with enhanced photocatalysis property through synergistic effect. ACS Appl. Mater. Interfaces 2016, 8, 20274–20282. [Google Scholar] [CrossRef] [PubMed]
- Liu, Q.; Zhou, B.B.; Xu, M.; Mao, G.B. Integration of nanosized ZIF-8 particles onto mesoporous TiO2 nanobeads for enhanced photocatalytic activity. RSC Adv. 2017, 7, 8004–8010. [Google Scholar] [CrossRef] [Green Version]
- Huang, Z.F.; Dong, P.M.; Zhang, Y.G.; Nie, X.X.; Wang, X.Y.; Zhang, X.W. A ZIF-8 decorated TiO2 grid-like film with high CO2 adsorption for CO2 photoreduction. J. CO2 Util. 2018, 24, 369–375. [Google Scholar] [CrossRef]
- Zhai, L.Z.; Qian, Y.H.; Wang, Y.X.; Cheng, Y.D.; Dong, J.Q.; Shing, B.P.; Zhao, D. In situ formation of micropore-rich titanium dioxide from metal-organic framework templates. ACS Appl. Mater. Interfaces 2018, 10, 36933–36940. [Google Scholar] [CrossRef] [PubMed]
- Chandra, R.; Mukhopadhyay, S.; Nath, M. TiO2@ZIF-8: A novel approach of modifying micro-environment for enhanced photo- catalytic dye degradation and high usability of TiO2 nanoparticles. Mater. Lett. 2016, 164, 571–574. [Google Scholar] [CrossRef]
- Hu, X.T.; Zhang, D.Y.; Zhao, S.Q.; Asuha, S. Hydrothermal Synthesis of Highly Water-dispersible Anatase Nanoparticles with Large Specific Surface Area and Their Adsorptive Properties. MATEC Web Conf. 2016, 67, 02013. [Google Scholar] [CrossRef] [Green Version]
- Guo, H.X.; Chen, J.H.; Weng, W.; Zheng, Z.S.; Wang, D.F. Adsorption behavior of Congo red from aqueous solution on La2O3-doped TiO2 nanotubes. J. Ind. Eng. Chem. 2014, 20, 3081–3088. [Google Scholar] [CrossRef]
- Bhagwat, U.O.; Wu, J.J.; Asiri, A.M.; Anandan, S. Sonochemical Synthesis of Mg-TiO2 nanoparticles for persistent Congo red dye degradation. J. Photochem. Photobiol. A 2017, 346, 559–569. [Google Scholar] [CrossRef]
- Devi, L.G.; Kumar, S.G. Exploring the critical dependence of adsorption of various dyes on the degradation rate using Ln3+-TiO2 surface under UV/solar light. Appl. Surf. Sci. 2012, 261, 137–146. [Google Scholar] [CrossRef]
- Wang, Y.Z.; Xue, X.X.; Yang, H. Preparation and characterization of carbon or/and boron-doped titania nano-materials with antibacterial activity. Ceram. Int. 2014, 40, 12533–12537. [Google Scholar] [CrossRef]
- Mahadik, S.A.; Yadav, H.M.; Mahadik, S.S. Surface properties of chlorophyll-a sensitized TiO2 nanorods for dye-sensitized solar cells applications. Colloid Interface Sci. Commun. 2022, 46, 100558. [Google Scholar] [CrossRef]
- Zhang, Q.L.; Cheng, Y.L.; Fang, C.Q.; Shi, J.Y.; Chen, J.; Han, H.Z. Novel and multifunctional adsorbent fabricated by Zeolitic imidazolate framworks-8 and waste cigarette filters for wastewater treatment: Effective adsorption and photocatalysis. J. Solid State Chem. 2021, 299, 122190. [Google Scholar] [CrossRef]
- Küsgens, P.; Rose, M.; Senkovska, I.; Fröde, H.; Henschel, A.; Siegle, S.; Kaskel, S. Characterization of metal-organic frameworks by water adsorption. Microporous Mesoporous Mater. 2009, 120, 325–330. [Google Scholar] [CrossRef]
- Hong, X.T.; Wang, Z.P.; Cai, W.M.; Lu, F.; Zhang, J.; Yang, Y.Z.; Ma, N.; Liu, Y.J. Visible-light-activated nanoparticle photocatalyst of iodine-doped titanium dioxide. Chem. Mater. 2005, 17, 1548–1552. [Google Scholar] [CrossRef]
- Hou, J.H.; Cao, C.B.; Idrees, F.; Ma, X. Hierarchical Porous Nitrogen-Doped Carbon Nanosheets Derived from Silk for Ultrahigh-Capacity Battery Anodes and Supercapacitors. ACS Nano 2015, 9, 2556–2564. [Google Scholar] [CrossRef] [PubMed]
- Hulicova-Jurcakova, D.; Seredych, M.; Gao, Q.L.; Bandosz, T.J. Combined Effect of Nitrogen- and Oxygen-Containing Functional Groups of Microporous Activated Carbon on its Electrochemical Performance in Supercapacitors. Adv. Funct. Mater. 2009, 19, 438–447. [Google Scholar] [CrossRef]
- Sun, F.G.; Wang, J.T.; Chen, H.C.; Li, W.C.; Qiao, W.M.; Long, D.H.; Ling, L.C. High Efficiency Immobilization of Sulfur on Nitrogen-Enriched Mesoporous Carbons for Li–S Batteries. ACS Appl. Mater. Interfaces 2013, 5, 5630–5638. [Google Scholar] [CrossRef] [PubMed]
- Ishikawa, A.; Takata, T.; Kondo, J.N.; Hara, M.; Kobayashi, H.; Domen, K. Oxysulfide Sm2Ti2S2O5 as a stable photocatalyst for water oxidation and reduction under visible light irradiation (λ ≤ 650 nm). J. Am. Chem. Soc. 2002, 124, 13547–13553. [Google Scholar] [CrossRef]
- Liu, G.; Sun, C.H.; Yan, X.X.; Cheng, L.N.; Chen, Z.G.; Wang, X.W.; Wang, L.Z.; Smith, S.C.; Gao, Q.L.; Cheng, H.M. Iodine doped anatase TiO2 photocatalyst with ultra-long visible light response: Correlation between geometric/electronic structures and mechanisms. J. Mater. Chem. 2009, 19, 2822–2829. [Google Scholar] [CrossRef]
- Hu, C.C.; Huang, Y.C.; Chang, A.L.; Nomura, M. Amine functionalized ZIF-8 as a visible-light-driven photocatalyst for Cr (VI) reduction. J. Colloid Interfaces Sci. 2019, 553, 372–381. [Google Scholar] [CrossRef]
- Biesinger, M.C.; Payne, B.P.; Grosvenor, A.P.; Lau, L.W.M.; Gerson, A.R.; Smart, R.S.C. Resolving surface chemical states in XPS analysis of first row transition metals, oxides and hydroxides: Cr, Mn, Fe, Co and Ni. Appl. Surf. Sci. 2011, 257, 2717–2730. [Google Scholar] [CrossRef]
- Usseglio, S.; Damin, A.; Scarano, D.; Bordiga, S.; Zecchina, A.; Lamberti, C. (I2)n encapsulation inside TiO2: A way to tune photoactivity in the visible region. J. Am. Chem. Soc. 2007, 129, 2822–2828. [Google Scholar] [CrossRef]
- Wang, J.X.; Peng, C.R.; Chen, Z.P.; Sun, S.D.; Shi, Z.Q.; Jin, L.Q.; Zhao, W.F.; Zhao, C.S. Engineering antimicrobial and biocompatible electrospun PLGA fibrous membranes by irradiation grafting polyvinylpyrrolidone and periodate. Colloids Surf. B 2019, 181, 918–926. [Google Scholar] [CrossRef]
- Milićević, B.; Dordević, V.; Lončarević, D.; Ahrenkiel, S.P.; Dramićanin, M.D.; Nedeljković, J.M. Visible light absorption of surface modified TiO2 powders with bidentate benzene derivatives. Microporous Mesoporous Mater. 2015, 217, 184–189. [Google Scholar] [CrossRef] [Green Version]
- Long, M.C.; Cai, W.M.; Wang, Z.P.; Liu, G.Z. Correlation of electronic structures and crystal structures with photocatalytic properties of undoped, N-doped and I-doped TiO2. Chem. Phys. Lett. 2006, 420, 71–76. [Google Scholar] [CrossRef]
- Sibu, C.P.; Kumar, S.R.; Mukundan, P.; Warrier, K.G.K. Structural Modifications and Associated Properties of Lanthanum Oxide Doped Sol−Gel Nanosized Titanium Oxide. Chem. Mater. 2002, 14, 2876–2881. [Google Scholar] [CrossRef]
- Hwang, J.; Kalanur, S.S.; Seo, H. Identification of Visible Photocatalytic and Photoelectrochemical Properties of I-TiO2 via Electronic Band Structure. Electrochim. Acta 2017, 252, 482–489. [Google Scholar] [CrossRef]
- Niu, M.; Zhang, J.; Cao, D.P. I, N-Codoping Modification of TiO2 for Enhanced Photoelectrochemical H2O Splitting in Visible-Light Region. J. Phys. Chem. C 2017, 121, 26202–26208. [Google Scholar] [CrossRef]
- Zhang, Q.Y.; Li, Y.; Ackerman, E.A.; Gajdardziska-Josifovska, M.; Li, H.L. Visible light responsive iodine-doped TiO2 for photocatalytic reduction of CO2 to fuels. Appl. Catal. A Gen. 2011, 400, 195–202. [Google Scholar] [CrossRef]
- Misra, M.; Chowdhury, S.R.; Singh, N. TiO2@Au@CoMn2O4 core-shell nanorods for photo-electrochemical and photocatalytic activity for decomposition of toxic organic compounds and photo reduction of Cr6+ ion. J. Alloys Compd. 2020, 824, 153861. [Google Scholar] [CrossRef]
- Ma, Y.; Fu, J.W.; Tao, X.; Li, X.; Chen, J.F. Low temperature synthesis of iodine-doped TiO2 nanocrystallites with enhanced visible-induced photocatalytic activity. Appl. Surf. Sci. 2011, 257, 5046–5051. [Google Scholar] [CrossRef]
- Chen, J.H.; Yao, M.S.; Wang, X.L. Investigation of transition metal ion doping behaviors on TiO2 nanoparticles. J. Nanopart. Res. 2008, 10, 163–171. [Google Scholar] [CrossRef]
- Kamat, P.V. Photoelectrochemistry in particulate systems. 9. Photosensitized reduction in a colloidal titania system using anthracene-9-carboxylate as the sensitizer. J. Phys. Chem. 1989, 93, 859–864. [Google Scholar] [CrossRef]
- Sato, J.; Kobayashi, H.; Inoue, Y. Photocatalytic Activity for Water Decomposition of Indates with Octahedrally Coordinated d10 Configuration. II. Roles of Geometric and Electronic Structures. J. Phys. Chem. B 2003, 107, 7970–7975. [Google Scholar] [CrossRef]
- Wu, X.H.; Wang, S.; Guo, Y.; Xie, Z.Y.; Han, L.; Jiang, Z.H. Enhanced Energy Conversion Efficiency of La3+ Modified Nanoporous TiO2 Electrode Sensitized with a Ruthenium Complex. Chinese. J. Chem. 2008, 26, 1939–1943. [Google Scholar] [CrossRef]
- Qin, R.; Meng, F.M.; Khan, M.W.; Yu, B.; Li, H.J.; Fan, Z.H.; Gong, J.F. Fabrication and enhanced photocatalytic property of TiO2-ZnO composite photocatalysts. Mater. Lett. 2019, 240, 84–87. [Google Scholar] [CrossRef]
- Tang, M.L.; Ao, Y.H.; Wang, C.; Wang, P.F. Facile synthesis of dual Z-scheme g-C3N4/Ag3PO4/AgI composite photocatalysts with enhanced performance for the degradation of a typical neonicotinoid pesticide. Appl. Catal. B Environ. 2020, 268, 118395. [Google Scholar] [CrossRef]
- Oh, J.T.; Chowdhury, S.R.; Lee, T.L.; Misra, M. Synergetic influence of Au/Cu2O core-shells nanoparticle on optical, photo-electrochemical, and catalytic activities of Au/Cu2O/TiO2 nanocomposite. Dye Pigments 2019, 160, 936–943. [Google Scholar] [CrossRef]
- Li, R.; Li, W.; Jin, C.; He, Q.Y.; Wang, Y.Z. Fabrication of ZIF-8@TiO2 micron composite via hydrothermal method with enhanced absorption and photocatalytic activities in tetracycline degradation. J. Alloys Compd. 2020, 825, 154008. [Google Scholar] [CrossRef]
- Fu, N.; Ren, X.C. Synthesis of Double-Shell Hollow TiO2@ZIF-8 Nanoparticles with Enhanced Photocatalytic Activities. Front. Chem. 2020, 8, 578847. [Google Scholar] [CrossRef] [PubMed]
- Zhong, W.L.; Li, C.; Liu, X.M.; Bai, X.K.; Zhang, G.S.; Lei, C.X. Liquid phase deposition of flower-like TiO2 microspheres decorated by ZIF-8 nanoparticles with enhanced photocatalytic activity. Microporous Mesoporous Mater. 2020, 306, 110401. [Google Scholar] [CrossRef]
- Sreelekshmi, P.B.; Pillai, R.R.; Meera, A.P. Controlled Synthesis of Novel Graphene Oxide Nanoparticles for the Photodegradation of Organic Dyes. Top. Catal. 2022, 1–10. [Google Scholar] [CrossRef]
- Sayadi, M.H.; Ghollasimood, S.; Ahmadpour, N.; Homaeigohar, S. Biosynthesis of the ZnO/SnO2 nanoparticles and characterization of their photocatalytic potential for removal of organic water pollutants. J. Photochem. Photobiol. A 2022, 425, 113662. [Google Scholar] [CrossRef]
- Dake, D.V.; Raskar, N.D.; Mane, V.A.; Sonpir, R.B.; Khawal, H.A.; Deshpande, U.; Stathatos, E.; Dole, B.N. Photocatalytic performance of graphene-based Cr-substituted β ZnS nanocomposites. Appl. Phys. A 2022, 128, 276. [Google Scholar] [CrossRef]
- Afsharpour, M.; Amoee, S. Porous biomorphic silica@ZnO nanohybrids as the effective photocatalysts under visible light. Environ. Sci. Pollut. Res. 2022, 1–12. [Google Scholar] [CrossRef] [PubMed]
- Elamin, N.; Modwi, A.; Aissa, M.A.; Taha, K.K.; Al-Duaij, O.K.; Yousef, T.A. Fabrication of Cr–ZnO photocatalyst by starch-assisted sol–gel method for photodegradation of congo red under visible light. J. Mater. Sci. Mater. Electron. 2021, 32, 2234–2248. [Google Scholar] [CrossRef]
- Sambathkumar, C.; Manirathinam, V.; Manikandan, A.; Kumar, M.K.; Sudhahar, S.; Devendran, P. Solvothermal synthesis of Bi2S3 nanoparticles for active photocatalytic and energy storage device applications. J. Mater. Sci. Mater. Electron. 2021, 32, 20827–20843. [Google Scholar] [CrossRef]










| Sample | Half Band Width (β) | Bragg Diffraction Angle (2θ) | Bragg Smi-Diffraction Angle (θ) | Crystallite Size (nm) |
|---|---|---|---|---|
| TiO2 (350 °C) | 0.8096 | 25.27 | 12.635 | 16.99 |
| TiO2 (2%KI) | 0.8758 | 25.24 | 12.62 | 15.69 |
| TiO2 (5%KI) | 0.9433 | 25.26 | 12.63 | 14.58 |
| TiO2 (10%KI) | 0.8431 | 25.26 | 12.63 | 16.31 |
| TiO2 (15%KI) | 0.8508 | 25.27 | 12.635 | 16.17 |
| TiO2 (30%KI) | 0.8386 | 25.24 | 12.62 | 16.39 |
| Sample | SBET (m2/g) | Vpore (cm3/g) | RAve (nm) |
|---|---|---|---|
| TiO2 (5%KI) | 67.233 | 0.0976 | 5.8074 |
| ZIF-8 | 1853.02 | 1.1119 | 2.3243 |
| ZIF-8@TiO2 (5%KI) | 289.92 | 0.2135 | 2.9461 |
| Sample | TiO2 (350 °C) | TiO2 (2%KI) | TiO2 (5%KI) | TiO2 (10%KI) | TiO2 (15%KI) | TiO2 (30%KI) | ZIF-8@ TiO2(5%KI) |
|---|---|---|---|---|---|---|---|
| Eg(eV) | 3.20 | 3.267 | 3.150 | 3.138 | 2.986 | 2.970 | 3.239 |
| Materials | Concentration | Time (min) | Degradation of Material | Degradation Rate | Ref. |
|---|---|---|---|---|---|
| ZIF-8@TiO2 (5%KI) (This work) | 20 mg/L | 40 | Congo red | 97% | This work |
| ZIF-8@TiO2 | - | 120 | Methylene blue | 87.5% | [21] |
| ZIF-8@TiO2 | 100 mg/L | 120 | Tetracycline | 95% | [55] |
| ZIF-8@TiO2 | 20 mg/L | 180 | Methylene blue | 99% | [56] |
| ZIF-8@TiO2 | 5 mg/L | 40 | Methylene blue | 91.2% | [57] |
| Graphene oxide | 10 mg/L | 90 | Congo red | 85% | [58] |
| ZnO/SnO2 | 5 mg/L | 120 | Congo red | 88.14% | [59] |
| Graphene based Cr substituted β ZnS | 20 mg/L | 180 | Congo red | 84.49% | [60] |
| Silica@ZnO | 20 ppm | 140 | Congo red | 93% | [61] |
| Cr–ZnO | 20 mg/L | 60 | Congo red | 94% | [62] |
| Bi2S3 | 35 mg/L | 150 | Congo red | 98% | [63] |
Publisher’s Note: MDPI stays neutral with regard to jurisdictional claims in published maps and institutional affiliations. |
© 2022 by the authors. Licensee MDPI, Basel, Switzerland. This article is an open access article distributed under the terms and conditions of the Creative Commons Attribution (CC BY) license (https://creativecommons.org/licenses/by/4.0/).
Share and Cite
Liu, Z.; Zhang, W.; Zhao, X.; Sheng, X.; Hu, Z.; Wang, Q.; Chen, Z.; Wang, S.; Zhang, X.; Wang, X. Efficient Adsorption-Assisted Photocatalysis Degradation of Congo Red through Loading ZIF-8 on KI-Doped TiO2. Materials 2022, 15, 2857. https://doi.org/10.3390/ma15082857
Liu Z, Zhang W, Zhao X, Sheng X, Hu Z, Wang Q, Chen Z, Wang S, Zhang X, Wang X. Efficient Adsorption-Assisted Photocatalysis Degradation of Congo Red through Loading ZIF-8 on KI-Doped TiO2. Materials. 2022; 15(8):2857. https://doi.org/10.3390/ma15082857
Chicago/Turabian StyleLiu, Zhechen, Wanqi Zhang, Xilong Zhao, Xianliang Sheng, Zichu Hu, Qiang Wang, Zhangjing Chen, Sunguo Wang, Xiaotao Zhang, and Ximing Wang. 2022. "Efficient Adsorption-Assisted Photocatalysis Degradation of Congo Red through Loading ZIF-8 on KI-Doped TiO2" Materials 15, no. 8: 2857. https://doi.org/10.3390/ma15082857
APA StyleLiu, Z., Zhang, W., Zhao, X., Sheng, X., Hu, Z., Wang, Q., Chen, Z., Wang, S., Zhang, X., & Wang, X. (2022). Efficient Adsorption-Assisted Photocatalysis Degradation of Congo Red through Loading ZIF-8 on KI-Doped TiO2. Materials, 15(8), 2857. https://doi.org/10.3390/ma15082857

