Characterization of Organosolv Lignins and Their Application in the Preparation of Aerogels
Abstract
:1. Introduction
2. Materials and Methods
2.1. Chemicals
2.2. Raw Materials and Methodology
2.3. Organosolv Extraction of Lignin
2.4. Characterization of Lignin
2.4.1. Moisture and Ash Content
2.4.2. Determination of Lignin and Carbohydrate Content
2.4.3. FTIR Spectroscopy
2.4.4. NMR Characterization
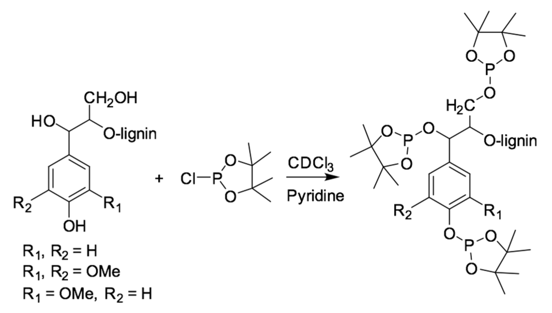
2.4.5. 31P-NMR Quantitative Analysis
2.4.6. Lignin Molecular Weight Distribution
2.5. Preparation and Characterization of Lignin-Based Aerogels
3. Results and Discussion
3.1. Lignin Structural Characterization
3.1.1. Purity and SEC Analysis
3.1.2. FTIR Analysis
3.1.3. 31P-NMR Quantitative Analysis
3.1.4. 2D HSQC Characterization
- (i)
- The oxygenated aliphatic side chain region of organosolv lignins and its correlations are shown in Figure 4 and Table S1, respectively. As expected, the methoxy groups are present in all the lignin spectra. Under acidic hydrolysis condition, the cleavage of α-aryl ether bonds are favored over the cleavage of β-O-4′ bonds, resulting in the formation of intermediate α-carbocation. This active carbon with the presence of a nucleophile source from ethanol would lead to the substitution at Cα [42,43]. As a consequence, a strong signal for α-ethoxylation in the β-O-4′ substructure (A’) can be observed (δC/δH 63.60/3.32 ppm) in all the ethanol organosolv lignin samples (EOL) [29].
- (ii)
- Figure 5 shows the aromatic/unsaturated region in six lignin samples from different biomasses. Cross peaks from S-units and its oxidized-Cα (S’) were more pronounced in the aspen and barley straw, while there was no signal in the spectra from pine. In contrast, the G-unit was present in all the lignins, whereas H was only observed in all EOL-s. These results are in good agreement with the data from the analysis of the hydroxyl contents that were obtained from phosphorous NMR where the functional OH groups from the S-unit were not detected in organosolv lignin from pine.
3.2. Characterization of the Obtained Aerogels
3.2.1. Drying Shrinkage, Bulk Density, and Gelation Analysis
3.2.2. Measurement of Porosity and Surface Area
3.2.3. FTIR Analysis
3.2.4. SEM Analysis
4. Conclusions
Supplementary Materials
Author Contributions
Funding
Institutional Review Board Statement
Informed Consent Statement
Data Availability Statement
Acknowledgments
Conflicts of Interest
References
- Bychkov, A.; Podgorbunskikh, E.; Bychkova, E.; Lomovsky, O. Current achievements in the mechanically pretreated conversion of plant biomass. Biotechnol. Bioeng. 2019, 116, 1231–1244. [Google Scholar] [CrossRef] [PubMed]
- Wang, H.; Pu, Y.; Ragauskas, A.; Yang, B. From lignin to valuable products–strategies, challenges, and prospects. Bioresour. Technol. 2019, 271, 449–461. [Google Scholar] [CrossRef] [PubMed]
- Chakar, F.S.; Ragauskas, A.J. Review of current and future softwood kraft lignin process chemistry. Ind. Crop. Prod. 2004, 20, 131–141. [Google Scholar] [CrossRef]
- Ragauskas, A.; Beckham, G.; Biddy, M.; Chandra, R.; Chen, F.; Davis, M.; Davison, B.; Dixon, R.; Gilna, P.; Keller, M. GA Tuskan ja CE Wyman. Science 2014, 344, 1246843. [Google Scholar] [CrossRef] [PubMed]
- Usmani, Z.; Sharma, M.; Awasthi, A.K.; Lukk, T.; Tuohy, M.G.; Gong, L.; Nguyen-Tri, P.; Goddard, A.D.; Bill, R.M.; Nayak, S.C.; et al. Lignocellulosic biorefineries: The current state of challenges and strategies for efficient commercialization. Renew. Sustain. Energy Rev. 2021, 148, 111258. [Google Scholar] [CrossRef]
- Schutyser, W.; Renders, T.; Van den Bosch, S.; Koelewijn, S.F.; Beckham, G.T.; Sels, B.F. Chemicals from lignin: An interplay of lignocellulose fractionation, depolymerisation, and upgrading. Chem. Soc. Rev. 2018, 47, 852–908. [Google Scholar] [CrossRef]
- Chen, Z.; Ragauskas, A.; Wan, C. Lignin extraction and upgrading using deep eutectic solvents. Ind. Crop. Prod. 2020, 147, 112241. [Google Scholar] [CrossRef]
- Garlapati, V.K.; Chandel, A.K.; Kumar, S.J.; Sharma, S.; Sevda, S.; Ingle, A.P.; Pant, D. Circular economy aspects of lignin: Towards a lignocellulose biorefinery. Renew. Sustain. Energy Rev. 2020, 130, 109977. [Google Scholar] [CrossRef]
- Kai, D.; Tan, M.J.; Chee, P.L.; Chua, Y.K.; Yap, Y.L.; Loh, X.J. Towards lignin-based functional materials in a sustainable world. Green Chem. 2016, 18, 1175–1200. [Google Scholar] [CrossRef]
- Frankowski, K.J.; Wang, C.; Patnaik, S.; Schoenen, F.J.; Southall, N.; Li, D.; Teper, Y.; Sun, W.; Kandela, I.; Hu, D.; et al. Metarrestin, a perinucleolar compartment inhibitor, effectively suppresses metastasis. Sci. Transl. Med. 2018, 10, eaap8307. [Google Scholar] [CrossRef] [Green Version]
- Tabani, H.; Alexovič, M.; Sabo, J.; Ramos Payán, M. An overview on the recent applications of agarose as a green biopolymer in micro-extraction-based sample preparation techniques. Talanta 2021, 224, 121892. [Google Scholar] [CrossRef] [PubMed]
- Pekala, R.; Kong, F.-M. A synthetic route to organic aerogels-mechanism, structure, and properties. J. Phys. Colloq. 1989, 50, C4-33–C4-40. [Google Scholar] [CrossRef]
- Peikolainen, A.-L.; Volobujeva, O.; Aav, R.; Uibu, M.; Koel, M. Organic acid catalyzed synthesis of 5-methylresorcinol based organic aerogels in acetonitrile. J. Porous Mater. 2012, 19, 189–194. [Google Scholar] [CrossRef]
- Pérez-Caballero, F.; Peikolainen, A.-L.; Uibu, M.; Kuusik, R.; Volobujeva, O.; Koel, M. Preparation of carbon aerogels from 5-methylresorcinol–formaldehyde gels. Microporous Mesoporous Mater. 2008, 108, 230–236. [Google Scholar] [CrossRef]
- Balakshin, M.; Capanema, E. On the quantification of lignin hydroxyl groups with 31P and 13C NMR spectroscopy. J. Wood Chem. Technol. 2015, 35, 220–237. [Google Scholar] [CrossRef]
- Raj, A.; Devendra, L.P.; Sukumaran, R.K. Comparative evaluation of laccase mediated oxidized and unoxidized lignin of sugarcane bagasse for the synthesis of lignin-based formaldehyde resin. Ind. Crop. Prod. 2020, 150, 112385. [Google Scholar] [CrossRef]
- Lin, K.-T.; Ma, R.; Wang, P.; Xin, J.; Zhang, J.; Wolcott, M.P.; Zhang, X. Deep Eutectic Solvent Assisted Facile Synthesis of Lignin-Based Cryogel. Macromolecules 2018, 52, 227–235. [Google Scholar] [CrossRef]
- Yang, B.S.; Kang, K.-Y.; Jeong, M.-J. Preparation of lignin-based carbon aerogels as biomaterials for nano-supercapacitor. J. Korean Phys. Soc. 2017, 71, 478–482. [Google Scholar] [CrossRef]
- Sen, S.; Patil, S.; Argyropoulos, D.S. Thermal properties of lignin in copolymers, blends, and composites: A review. Green Chem. 2015, 17, 4862–4887. [Google Scholar] [CrossRef]
- Chen, F.; Xu, M.; Wang, L.; Li, J. Preparation and characterization of organic aerogels by the lignin-resorcinol-formaldehyde copolymer. Bioresources 2011, 6, 1262–1272. [Google Scholar]
- García-González, C.; Camino-Rey, M.; Alnaief, M.; Zetzl, C.; Smirnova, I. Supercritical drying of aerogels using CO2: Effect of extraction time on the end material textural properties. J. Supercrit. Fluids 2012, 66, 297–306. [Google Scholar] [CrossRef]
- Petričević, R.; Reichenauer, G.; Bock, V.; Emmerling, A.; Fricke, J. Structure of carbon aerogels near the gelation limit of the resorcinol–formaldehyde precursor. J. Non-Cryst. Solids 1998, 225, 41–45. [Google Scholar] [CrossRef]
- Wu, D.; Fu, R.; Sun, Z.; Yu, Z. Low-density organic and carbon aerogels from the sol–gel polymerization of phenol with formaldehyde. J. Non-Cryst. Solids 2005, 351, 915–921. [Google Scholar] [CrossRef]
- Jõul, P.; Vaher, M.; Kuhtinskaja, M. Carbon aerogel-based solid-phase microextraction coating for the analysis of organophosphorus pesticides. Anal. Methods 2021, 13, 69–76. [Google Scholar] [CrossRef]
- Saha, D.; Li, Y.; Bi, Z.; Chen, J.; Keum, J.K.; Hensley, D.K.; Grappe, H.A.; Meyer, H.M., III; Dai, S.; Paranthaman, M.P. Studies on supercapacitor electrode material from activated lignin-derived mesoporous carbon. Langmuir 2014, 30, 900–910. [Google Scholar] [CrossRef]
- ISO18122; Solid biofuels—Determination of Ash Content. ISO: Geneva, Switzerland, 2015.
- Rovio, S.; Yli-Kauhaluoma, J.; Sirén, H. Determination of neutral carbohydrates by CZE with direct UV detection. Electrophoresis 2007, 28, 3129–3135. [Google Scholar] [CrossRef]
- Vaher, M.; Helmja, K.; Käsper, A.; Kurašin, M.; Väljamäe, P.; Kudrjašova, M.; Koel, M.; Kaljurand, M. Capillary electrophoretic monitoring of hydrothermal pre-treatment and enzymatic hydrolysis of willow: Comparison with HPLC and NMR. Catal. Today 2012, 196, 34–41. [Google Scholar] [CrossRef]
- Bauer, S.; Sorek, H.; Mitchell, V.D.; Ibáñez, A.B.; Wemmer, D.E. Characterization of Miscanthus giganteus lignin isolated by ethanol organosolv process under reflux condition. J. Agric. Food Chem. 2012, 60, 8203–8212. [Google Scholar] [CrossRef]
- Del Río, J.C.; Rencoret, J.; Prinsen, P.; Martínez, Á.T.; Ralph, J.; Gutiérrez, A. Structural characterization of wheat straw lignin as revealed by analytical pyrolysis, 2D-NMR, and reductive cleavage methods. J. Agric. Food Chem. 2012, 60, 5922–5935. [Google Scholar] [CrossRef] [Green Version]
- Faleva, A.V.; Kozhevnikov, A.Y.; Pokryshkin, S.A.; Falev, D.I.; Shestakov, S.L.; Popova, J.A. Structural characteristics of different softwood lignins according to 1D and 2D NMR spectroscopy. J. Wood Chem. Technol. 2020, 40, 178–189. [Google Scholar] [CrossRef]
- Greco, A.; Brunetti, D.; Renna, G.; Mele, G.; Maffezzoli, A. Plasticizer for poly(vinyl chloride) from cardanol as a renewable resource material. Polym. Degrad. Stab. 2010, 95, 2169–2174. [Google Scholar] [CrossRef]
- Miles-Barrett, D.M.; Neal, A.R.; Hand, C.; Montgomery, J.R.; Panovic, I.; Ojo, O.S.; Lancefield, C.S.; Cordes, D.B.; Slawin, A.M.; Lebl, T. The synthesis and analysis of lignin-bound Hibbert ketone structures in technical lignins. Org. Biomol. Chem. 2016, 14, 10023–10030. [Google Scholar] [CrossRef] [PubMed] [Green Version]
- Wang, P.; Fu, Y.; Shao, Z.; Zhang, F.; Qin, M. Structural changes to aspen wood lignin during autohydrolysis pretreatment. BioResources 2016, 11, 4086–4103. [Google Scholar] [CrossRef] [Green Version]
- Grishechko, L.I.; Amaral-Labat, G.i.; Szczurek, A.; Fierro, V.; Kuznetsov, B.N.; Celzard, A. Lignin–phenol–formaldehyde aerogels and cryogels. Microporous Mesoporous Mater. 2013, 168, 19–29. [Google Scholar] [CrossRef]
- Faleva, A.V.; Belesov, A.V.; Kozhevnikov, A.Y.; Falev, D.I.; Chukhchin, D.G.; Novozhilov, E.V. Analysis of the functional group composition of the spruce and birch phloem lignin. Int. J. Biol. Macromol. 2021, 166, 913–922. [Google Scholar] [CrossRef]
- El Mansouri, N.-E.; Salvadó, J. Analytical methods for determining functional groups in various technical lignins. Ind. Crop. Prod. 2007, 26, 116–124. [Google Scholar] [CrossRef]
- Yáñez-S, M.; Matsuhiro, B.; Nuñez, C.; Pan, S.; Hubbell, C.A.; Sannigrahi, P.; Ragauskas, A.J. Physicochemical characterization of ethanol organosolv lignin (EOL) from Eucalyptus globulus: Effect of extraction conditions on the molecular structure. Polym. Degrad. Stab. 2014, 110, 184–194. [Google Scholar] [CrossRef]
- Katahira, R.; Elder, T.J.; Beckham, G.T. A brief introduction to lignin structure. In Lignin Valorization: Emerging Approaches; Energy and Environment Series; Royal Society of Chemistry: London, UK, 2018; pp. 1–20. [Google Scholar] [CrossRef] [Green Version]
- Constant, S.; Wienk, H.L.; Frissen, A.E.; de Peinder, P.; Boelens, R.; Van Es, D.S.; Grisel, R.J.; Weckhuysen, B.M.; Huijgen, W.J.; Gosselink, R.J. New insights into the structure and composition of technical lignins: A comparative characterisation study. Green Chem. 2016, 18, 2651–2665. [Google Scholar] [CrossRef] [Green Version]
- Wen, J.-L.; Sun, S.-L.; Xue, B.-L.; Sun, R.-C. Recent advances in characterization of lignin polymer by solution-state nuclear magnetic resonance (NMR) methodology. Materials 2013, 6, 359–391. [Google Scholar] [CrossRef] [Green Version]
- Li, J.; Henriksson, G.; Gellerstedt, G. Lignin depolymerization/repolymerization and its critical role for delignification of aspen wood by steam explosion. Bioresour. Technol. 2007, 98, 3061–3068. [Google Scholar] [CrossRef]
- Sannigrahi, P.; Ragauskas, A.J.; Miller, S.J. Lignin structural modifications resulting from ethanol organosolv treatment of loblolly pine. Energy Fuels 2010, 24, 683–689. [Google Scholar] [CrossRef]
- Sing, K.S. Reporting physisorption data for gas/solid systems with special reference to the determination of surface area and porosity (Recommendations 1984). Pure Appl. Chem. 1985, 57, 603–619. [Google Scholar] [CrossRef]
- Jirglova, H.; Perez-Cadenas, A.F.; Maldonado-Hodar, F.J. Synthesis and properties of phloroglucinol− phenol− formaldehyde carbon aerogels and xerogels. Langmuir 2009, 25, 2461–2466. [Google Scholar] [CrossRef] [PubMed]
- Pekala, R. Organic aerogels from the polycondensation of resorcinol with formaldehyde. J. Mater. Sci. 1989, 24, 3221–3227. [Google Scholar] [CrossRef]








| Lignin ID | Biomass Source | Solvent Used | Lignin Yield % | Klason Lignin * % | Total Sugars % | MW | Mn | PI |
|---|---|---|---|---|---|---|---|---|
| EOL-Aspen | Aspen wood | Ethanol | 15 ± 2 | 95 ± 5 | nd | 2601 | 3743 | 1.4 |
| DOL-Aspen | Aspen wood | Dioxane | 44 ± 6 | 104 ± 5 | nd | 1925 | 2670 | 1.4 |
| EOL-Barley straw | Barley straw | Ethanol | 24 ± 3 | 96 ± 5 | nd | 2187 | 3211 | 1.5 |
| DOL-Barley straw | Barley straw | Dioxane | 49 ± 7 | 102 ± 5 | nd | 1809 | 2469 | 1.4 |
| EOL-Pine | Pine wood | Ethanol | 21 ± 3 | 89 ± 4 | 0.27 ± 0.05 | 2343 | 3391 | 1.4 |
| DOL-Pine | Pine wood | Dioxane | 61 ± 9 | 101 ± 5 | 0.57 ± 0.09 | 1959 | 3450 | 1.8 |
| Chemical Shift (ppm) | Types of OH | EOL-Aspen | EOL-Barley Straw | DOL-Aspen | DOL-Barley Straw | EOL-Pine | DOL-Pine |
|---|---|---|---|---|---|---|---|
| 149.0–145.5 | Aliphatic OH | 2.38 | 2.08 | 1.50 | 0.94 | 1.90 | 1.61 |
| 143.5–142.0 | Syringyl OH | 0.35 | 0.11 | 1.32 | 0.53 | 0 | 0 |
| 140.2–139.0 | Guaiacyl OH | 0.47 | 0.48 | 0.55 | 0.62 | 0.73 | 1.35 |
| 138.0–137.5 | p-Hydroxyphenyl | 0.23 | 0.23 | 0.12 | 0.16 | 0.08 | 0.07 |
| 134.7–134.5 | Carboxylic acid | 0.05 | 0.02 | 0.20 | 0.25 | 0.04 | 0.15 |
| 144.0–137.0 | Aromatic OH | 1.14 | 0.92 | 2.49 | 1.76 | 0.97 | 2.59 |
| Sample ID | AG-EOL Aspen | AG-DOL Aspen | AG-EOL Barley | AG-DOL Barley | AG-EOL Pine | AG-DOL Pine | AG-5-MR-FA | ||||||
|---|---|---|---|---|---|---|---|---|---|---|---|---|---|
| Amount of 5-MR replaced by lignin, % | 75 | 85 | 75 | 85 | 75 | 85 | 75 | 85 | 75 | 85 | 75 | 85 | 0 |
| Drying shrinkage, % | 77.7 | 45.9 | 61.8 | 73.9 | 70.9 | 72.6 | 61.4 | 50.4 | 63.4 | 47.1 | 65.1 | 51.8 | 37.0 |
| Bulk density, g/cm3 | 0.36 | 0.15 | 0.24 | 0.28 | 0.33 | 0.46 | 0.35 | 0.19 | 0.28 | 0.18 | 0.33 | 0.20 | 0.20 |
| Gelation time, h at (85 ºC) | 7 | 13.5 | 2 | 2 | 4 | 18 | 1.5 | 10 | 2 | 3.5 | 1 | 3.5 | <1 |
| Sample ID | BET Surface Area, m2/g | Total Pore Volume, cm3/g | Average Pore Diameter, nm |
|---|---|---|---|
| AG-EOL Aspen | 271.3 | 0.87 | 12.81 |
| AG-DOL Aspen | 304.7 | 0.82 | 10.73 |
| AG-EOL Pine | 424.1 | 0.94 | 8.90 |
| AG-DOL Pine | 393.2 | 1.13 | 11.47 |
| AG-EOL Barley | 328.1 | 1.15 | 13.97 |
| AG-DOL Barley | 452.9 | 1.44 | 12.73 |
| AG-5-MR-FA | 224.3 | 1.72 | 30.60 |
Publisher’s Note: MDPI stays neutral with regard to jurisdictional claims in published maps and institutional affiliations. |
© 2022 by the authors. Licensee MDPI, Basel, Switzerland. This article is an open access article distributed under the terms and conditions of the Creative Commons Attribution (CC BY) license (https://creativecommons.org/licenses/by/4.0/).
Share and Cite
Jõul, P.; Ho, T.T.; Kallavus, U.; Konist, A.; Leiman, K.; Salm, O.-S.; Kulp, M.; Koel, M.; Lukk, T. Characterization of Organosolv Lignins and Their Application in the Preparation of Aerogels. Materials 2022, 15, 2861. https://doi.org/10.3390/ma15082861
Jõul P, Ho TT, Kallavus U, Konist A, Leiman K, Salm O-S, Kulp M, Koel M, Lukk T. Characterization of Organosolv Lignins and Their Application in the Preparation of Aerogels. Materials. 2022; 15(8):2861. https://doi.org/10.3390/ma15082861
Chicago/Turabian StyleJõul, Piia, Tran T. Ho, Urve Kallavus, Alar Konist, Kristiina Leiman, Olivia-Stella Salm, Maria Kulp, Mihkel Koel, and Tiit Lukk. 2022. "Characterization of Organosolv Lignins and Their Application in the Preparation of Aerogels" Materials 15, no. 8: 2861. https://doi.org/10.3390/ma15082861
APA StyleJõul, P., Ho, T. T., Kallavus, U., Konist, A., Leiman, K., Salm, O.-S., Kulp, M., Koel, M., & Lukk, T. (2022). Characterization of Organosolv Lignins and Their Application in the Preparation of Aerogels. Materials, 15(8), 2861. https://doi.org/10.3390/ma15082861

