Experimental and Computational Studies of Compression and Deformation Behavior of Hafnium Diboride to 208 GPa
Abstract
:1. Introduction
2. Materials and Methods
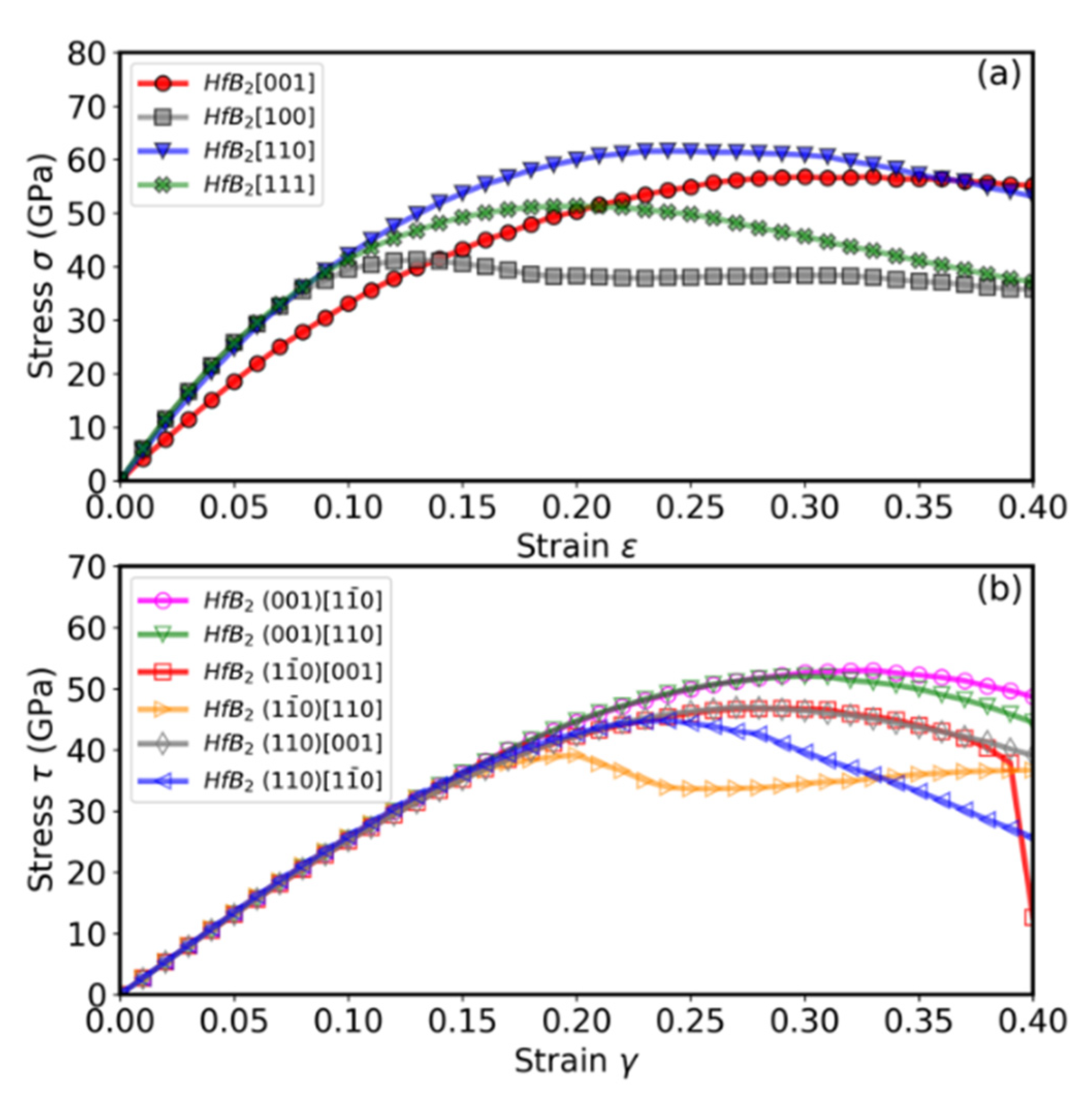
3. Results
4. Discussion
5. Conclusions
Author Contributions
Funding
Institutional Review Board Statement
Informed Consent Statement
Data Availability Statement
Acknowledgments
Conflicts of Interest
References
- Liang, H.; Sun, W.; Li, X.; Chen, H.; Guan, S.; Liu, P.; Wang, Q.; Li, X.; He, D.; Peng, F. Study of the compression behavior and elastic properties of HfB2 ceramics using experimental method and first-principles calculations. J. Alloy. Compd. 2019, 808, 151764. [Google Scholar] [CrossRef]
- Liang, H.; Peng, F.; Guan, S.; Tan, L.; Chen, H.; Lei, L.; He, D.; Lu, C. Abnormal physical behaviors of hafnium diboride under high pressure. Appl. Phys. Lett. 2019, 115, 231903. [Google Scholar] [CrossRef]
- Kovalev, D.Y.; Shilkin, S.P.; Konovalikhin, S.V.; Kalinnikov, G.V.; Korobov, I.I.; Kravchenko, S.E.; Khomenko, N.Y.; Andrievskii, R.A. Thermal expansion of micro-and nanocrystalline HfB 2. High Temp. 2019, 57, 32–36. [Google Scholar] [CrossRef]
- Carney, C.M. Oxidation resistance of hafnium diboride—Silicon carbide from 1400 to 2000 °C. J. Mater. Sci. 2009, 44, 5673–5681. [Google Scholar] [CrossRef]
- Windsor, C.; Astbury, J.O.; Davidson, J.J.; McFadzean, C.J.; Morgan, J.G.; Wilson, C.L.; Humphry-Baker, S.A. Tungsten boride shields in a spherical tokamak fusion power plant. Nucl. Fusion 2021, 61, 086018. [Google Scholar] [CrossRef]
- Hao, Y.; Zhu, J.; Zhang, L.; Ren, H.; Qu, J. Structure phase transition and elastic properties of hafnium: First-principles study. Philos. Mag. Lett. 2011, 91, 61–69. [Google Scholar] [CrossRef]
- Shu-Jie, Y.; Liang-Chen, C.; Chang-Qing, J. Hydrostaticity of pressure media in diamond anvil cells. Chin. Phys. Lett. 2009, 26, 096202. [Google Scholar] [CrossRef] [Green Version]
- Klotz, S.; Chervin, J.C.; Munsch, P.; Le Marchand, G. Hydrostatic limits of 11 pressure transmitting media. J. Phys. D Appl. Phys. 2009, 42, 075413. [Google Scholar] [CrossRef]
- Zhang, M.; Wang, H.; Wang, H.; Zhang, X.; Iitaka, T.; Ma, Y. First-Principles Prediction on the High-Pressure Structures of Transition Metal Diborides (TMB2, TM = Sc, Ti, Y, Zr). Inorg. Chem. 2010, 49, 6859–6864. [Google Scholar] [CrossRef] [PubMed]
- Singh, A.K.; Balasingh, C.; Mao, H.K.; Hemley, R.J.; Shu, J. Analysis of lattice strains measured under nonhydrostatic pressure. J. Appl. Phys. 1998, 83, 7567–7575. [Google Scholar] [CrossRef] [Green Version]
- Lutterotti, L.; Matthies, S.; Wenk, H.R. MAUD: A friendly Java program for material analysis using diffraction. IUCr Newsl. CPD 1999, 21. [Google Scholar]
- Yokoo, M.; Kawai, N.; Nakamura, K.G.; Kondo, K.I.; Tange, Y.; Tsuchiya, T. Ultrahigh-pressure scales for gold and platinum at pressures up to 550 GPa. Phys. Rev. B 2009, 80, 104114. [Google Scholar] [CrossRef]
- Kresse, G.; Furthmüller, J. Efficiency of ab-initio total energy calculations for metals and semiconductors using a plane-wave basis set. Comput. Mater. Sci. 1996, 6, 15–50. [Google Scholar] [CrossRef]
- Kresse, G.; Furthmüller, J. Efficient iterative schemes for ab initio total-energy calculations using a plane-wave basis set. Phys. Rev. B 1996, 54, 11169. [Google Scholar] [CrossRef] [PubMed]
- Hohenberg, P.; Kohn, W. Inhomogeneous electron gas. Phys. Rev. 1964, 136, B864. [Google Scholar] [CrossRef] [Green Version]
- Kohn, W.; Sham, L.J. Self-consistent equations including exchange and correlation effects. Phys. Rev. 1965, 140, A1133. [Google Scholar] [CrossRef] [Green Version]
- Perdew, J.P.; Burke, K.; Ernzerhof, M. Generalized gradient approximation made simple. Phys. Rev. Lett. 1996, 77, 3865. [Google Scholar] [CrossRef] [PubMed] [Green Version]
- Blöchl, P.E. Projector augmented-wave method. Phys. Rev. B 1994, 50, 17953. [Google Scholar] [CrossRef] [Green Version]
- Kresse, G.; Joubert, D. From ultrasoft pseudopotentials to the projector augmented-wave method. Phys. Rev. B 1999, 59, 1758. [Google Scholar] [CrossRef]
- Le Page, Y.; Saxe, P. Symmetry-general least-squares extraction of elastic data for strained materials from ab initio calculations of stress. Phys. Rev. B 2002, 65, 104104. [Google Scholar] [CrossRef]
- Wu, X.; Vanderbilt, D.; Hamann, D.R. Systematic treatment of displacements, strains, and electric fields in density-functional perturbation theory. Phys. Rev. B 2005, 72, 035105. [Google Scholar] [CrossRef] [Green Version]
- Hill, R. The elastic behaviour of a crystalline aggregate. Proc. Phys. Soc. Sect. A 1952, 65, 349. [Google Scholar] [CrossRef]
- Reuß, A. Berechnung der fließgrenze von mischkristallen auf grund der plastizitätsbedingung für einkristalle. ZAMM-J. Appl. Math. Mech./Z. Angew. Math. Mech. 1929, 9, 49–58. [Google Scholar] [CrossRef]
- Voigt, W. Lehrbuch der Kristallphysik (Leipzig: Teubner); Springer: Berlin/Heidelberg, Germany, 1928. [Google Scholar]
- Giannozzi, P.; Andreussi, O.; Brumme, T.; Bunau, O.; Nardelli, M.B.; Calandra, M.; Car, R.; Cavazzoni, C.; Ceresoli, D.; Cococcioni, M. Advanced capabilities for materials modelling with Quantum ESPRESSO. J. Phys. Condens. Matter 2017, 29, 465901. [Google Scholar] [CrossRef] [PubMed] [Green Version]
- Giannozzi, P.; Baroni, S.; Bonini, N.; Calandra, M.; Car, R.; Cavazzoni, C.; Ceresoli, D.; Chiarotti, G.L.; Cococcioni, M.; Dabo, I. QUANTUM ESPRESSO: A modular and open-source software project for quantum simulations of materials. J. Phys. Condens. Matter 2009, 21, 395502. [Google Scholar] [CrossRef] [PubMed]
- Giannozzi, P.; Baseggio, O.; Bonfà, P.; Brunato, D.; Car, R.; Carnimeo, I.; Cavazzoni, C.; de Gironcoli, S.; Delugas, P.; Ferrari Ruffino, D.; et al. Quantum ESPRESSO toward the exascale. J. Chem. Phys. 2020, 152, 154105. [Google Scholar] [CrossRef] [PubMed] [Green Version]
- Momma, K.; Izumi, F. VESTA 3 for three-dimensional visualization of crystal, volumetric and morphology data. J. Appl. Crystallogr. 2011, 44, 1272–1276. [Google Scholar] [CrossRef]
- Zhang, C.; Sun, H.; John, S.T.; Chen, C. Indentation strength of ultraincompressible rhenium boride, carbide, and nitride from first-principles calculations. Phys. Rev. B 2012, 86, 014108. [Google Scholar] [CrossRef] [Green Version]
- Fan, T.-W.; Ke, J.L.; Fu, L.; Tang, B.Y.; Peng, L.M.; Ding, W.J. Ideal strength of Mg2X (X = Si, Ge, Sn and Pb) from first-principles. J. Magnes. Alloy. 2013, 1, 163. [Google Scholar] [CrossRef] [Green Version]
- Vajeeston, P.; Ravindran, P.; Ravi, C.; Asokamani, R. Electronic structure, bonding, and ground-state properties of AlB 2-type transition-metal diborides. Phys. Rev. B 2001, 63, 045115. [Google Scholar] [CrossRef] [Green Version]
- Zhang, X.; Luo, X.; Han, J.; Li, J.; Han, W. Electronic structure, elasticity and hardness of diborides of zirconium and hafnium: First principles calculations. Comput. Mater. Sci. 2008, 44, 411–421. [Google Scholar] [CrossRef]
- Zhang, X.; Luo, X.; Li, J.; Hu, P.; Han, J. The ideal strength of transition metal diborides TMB2 (TM= Ti, Zr, Hf): Plastic anisotropy and the role of prismatic slip. Scr. Mater. 2010, 62, 625–628. [Google Scholar] [CrossRef]
- Fahrenholtz, W.G.; Hilmas, G.E.; Talmy, I.G.; Zaykoski, J.A. Refractory diborides of zirconium and hafnium. J. Am. Ceram. Soc. 2007, 90, 1347–1364. [Google Scholar] [CrossRef]
- Zhou, W.; Wu, H.; Yildirim, T. Electronic, dynamical, and thermal properties of ultra-incompressible superhard rhenium diboride: A combined first-principles and neutron scattering study. Phys. Rev. B 2007, 76, 184113. [Google Scholar] [CrossRef] [Green Version]
- Chung, H.-Y.; Weinberger, M.B.; Levine, J.B.; Kavner, A.; Yang, J.M.; Tolbert, S.H.; Kaner, R.B. Synthesis of ultra-incompressible superhard rhenium diboride at ambient pressure. Science 2007, 316, 436–439. [Google Scholar] [CrossRef]
- Burrage, K.C.; Park, C.; Vohra, Y.K. Shear strength measurements and hydrostatic compression of rhenium diboride under high pressures. J. Appl. Phys. 2021, 129, 205901. [Google Scholar] [CrossRef]
- Kavner, A.; Armentrout, M.M.; Rainey, E.S.; Xie, M.; Weaver, B.E.; Tolbert, S.H.; Kaner, R.B. Thermoelastic properties of ReB2 at high pressures and temperatures and comparison with Pt, Os, and Re. J. Appl. Phys. 2011, 110, 093518. [Google Scholar] [CrossRef]
- Frotscher, M.; Senyshyn, A.; Albert, B. Neutron diffraction at metal borides, Ru2B3 and Os2B3. Z. Anorg. Allg. Chem. 2012, 638, 2078–2080. [Google Scholar] [CrossRef]
- Burrage, K.C.; Lin, C.M.; Chen, W.C.; Chen, C.C.; Vohra, Y.K. Electronic structure and anisotropic compression of Os2B3 to 358 GPa. J. Phys. Condens. Matter 2020, 32, 405703. [Google Scholar] [CrossRef]
- Lech, A.T.; Turner, C.L.; Lei, J.; Mohammadi, R.; Tolbert, S.H.; Kaner, R.B. Superhard rhenium/tungsten diboride solid solutions. J. Am. Chem. Soc. 2016, 138, 14398–14408. [Google Scholar] [CrossRef]
- Zhang, G.-J.; Ni, D.W.; Zou, J.; Liu, H.T.; Wu, W.W.; Liu, J.X.; Suzuki, T.S.; Sakka, Y. Inherent anisotropy in transition metal diborides and microstructure/property tailoring in ultra-high temperature ceramics—A review. J. Eur. Ceram. Soc. 2018, 38, 371–389. [Google Scholar] [CrossRef]
- Frenkel, J.A. Zur theorie der elastizitätsgrenze und der festigkeit kristallinischer körper. Z. Phys. 1926, 37, 572–609. [Google Scholar] [CrossRef]







| Tensile Deformation | Shear Deformation | ||||
|---|---|---|---|---|---|
| σmax | εmax | τmax | εmax | ||
| [001] | 56.84 | 0.33 | (001) [110] | 52.06 | 0.30 |
| [100] | 41.31 | 0.13 | (001) [1−10] | 53.01 | 0.33 |
| [110] | 61.59 | 0.24 | (110) [001] | 46.94 | 0.27 |
| [111] | 51.32 | 0.20 | (110) [1−10] | 44.82 | 0.24 |
| (1−10) [001] | 46.78 | 0.29 | |||
| (1−10) [110] | 39.16 | 0.20 | |||
Publisher’s Note: MDPI stays neutral with regard to jurisdictional claims in published maps and institutional affiliations. |
© 2022 by the authors. Licensee MDPI, Basel, Switzerland. This article is an open access article distributed under the terms and conditions of the Creative Commons Attribution (CC BY) license (https://creativecommons.org/licenses/by/4.0/).
Share and Cite
Burrage, K.; Lin, C.-M.; Chen, C.-C.; Vohra, Y.K. Experimental and Computational Studies of Compression and Deformation Behavior of Hafnium Diboride to 208 GPa. Materials 2022, 15, 2762. https://doi.org/10.3390/ma15082762
Burrage K, Lin C-M, Chen C-C, Vohra YK. Experimental and Computational Studies of Compression and Deformation Behavior of Hafnium Diboride to 208 GPa. Materials. 2022; 15(8):2762. https://doi.org/10.3390/ma15082762
Chicago/Turabian StyleBurrage, Kaleb, Chia-Min Lin, Cheng-Chien Chen, and Yogesh K. Vohra. 2022. "Experimental and Computational Studies of Compression and Deformation Behavior of Hafnium Diboride to 208 GPa" Materials 15, no. 8: 2762. https://doi.org/10.3390/ma15082762
APA StyleBurrage, K., Lin, C.-M., Chen, C.-C., & Vohra, Y. K. (2022). Experimental and Computational Studies of Compression and Deformation Behavior of Hafnium Diboride to 208 GPa. Materials, 15(8), 2762. https://doi.org/10.3390/ma15082762

