Optimization of Single α-Phase for Promoting Ferromagnetic Properties of 44Fe–28Cr–22Co–3Mo–1Ti–2V Permanent Magnet with Varying Co Concentration for Energy Storage
Abstract
1. Introduction
2. Materials and Methods
3. Results and Discussion
3.1. X-ray Diffraction Studies
3.2. Optical Microscope (OM) Analysis
3.3. Microstructural Properties
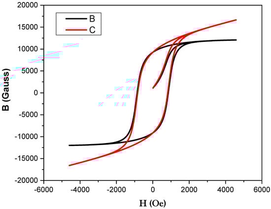
3.4. Ferromagnetic Properties
4. Conclusions
- (i)
- The structure of the as-cast condition of a different composition consists of dendritic growing towards the center of the grain, reflecting low magnetic properties ranging from 50 to 60 Gauss.
- (ii)
- Solutionizing samples retain the single-phase α solid solution from unwanted γ or δ phases depends upon the quenching condition and Co concentration.
- (iii)
- Isothermal field treatment decomposes the single phase of alloys into two isomorphic phases and prolonged the FM phase in the applied field direction which then increases the magnetic properties.
- (iv)
- IFT also increases the thermal stability, structural properties and refines the microstructure of the alloys.
- (v)
- Step aging treatment provides the adjustment of composition due to which the volume fraction, difference in FM and paramagnetic phases increase and the microstructure is refined.
- (vi)
- Co concentration enhances the magnetic properties and best magnetic properties achieved for alloy 44Fe–28Cr–22Co–3Mo–1Ti–2V are Br = 843 mT, Hc = 71 kA/m and (BH)max = 24 kJ/m3.
- (vii)
- Except alloy C, the formed α solid solution single phase in Sample A alloy and Sample B alloy are not stable and can be transformed into the γ or δ phase during thermal treatments.
- (viii)
- Because of the high thermal stability of the α phase in addition to good magnetic properties, it can be suggested that the 44Fe–28Cr–22Co–3Mo–1Ti–2V alloy is the best choice for the preparation of Fe–Cr–Co magnets by means of casting technique.
Author Contributions
Funding
Institutional Review Board Statement
Informed Consent Statement
Data Availability Statement
Acknowledgments
Conflicts of Interest
References
- Ushakova, O.; Dinislamova, E.; Gorshenkov, M.; Zhukov, D. Structure and magnetic properties of Fe–Cr–Co nanocrystalline alloys for permanent magnets. J. Alloys Compd. 2014, 586, S291–S293. [Google Scholar] [CrossRef]
- Kaneko, H.; Homma, M.; Nakamura, K. New Ductile Permanent Magnet of Fe-Cr-Co System. AIP Conf. Proc. 1972, 5, 1088–1092. [Google Scholar]
- Ghasemi, E.; Ghasemi, A.; Hadi, M.; Sadeghi, M.; Hashemi, S.H.; Tavoosi, M.; Gordani, G.R. Effect of cobalt doping on structural and magnetic characterization of nanocrystalline Fe72− xCoxCr28 (10 < X < 22) alloys. J. Magn. Magn. Mater. 2018, 468, 56–64. [Google Scholar]
- Shatsov, A.; Ryaposov, I.; Kozvonin, V. Concertation-Inhomogeneous Hard Magnetic Alloys of the Fe–Cr–Co System with Elevated Content of Cobalt and Boron. Met. Sci. Heat Treat. 2017, 59, 45–49. [Google Scholar] [CrossRef]
- Wu, X.; Bu, S.-J.; Han, X.-H.; Zhang, C.; Sun, J.-B.; Zhang, Y.; Pan, Y.-F. Effects of Si and/or Ti Addition on the Microstructure and Magnetic Properties of Fe–Cr–Co Ribbons. IEEE Trans. Magn. 2016, 53, 1–8. [Google Scholar] [CrossRef]
- Zhang, L. Coercivity Enhancement and Gamma Phase Avoidance of Alnico Alloys. Master’s Thesis, University of Nebraska, Lincoln, NE, USA, 2016. [Google Scholar]
- Rehman, S.U.; Ahmad, Z.; ul Haq, A.; Akhtar, S. Effects of Zr alloying on the microstructure and magnetic properties of Alnico permanent magnets. J. Magn. Magn. Mater. 2017, 442, 136–140. [Google Scholar] [CrossRef]
- Rehman, S.U.; Jiang, Q.; Ge, Q.; Lei, W.; Zhang, L.; Zeng, Q.; Ul Haq, A.; Liu, R.; Zhong, Z. Microstructure and magnetic properties of alnico permanent magnetic alloys with Zr-B additives. J. Magn. Magn. Mater. 2018, 451, 243–247. [Google Scholar] [CrossRef]
- Souza, C.A.C.d.; Bolfarini, C.; Botta, W.J., Jr.; Lima, L.R.P.D.A.; Oliveira, M.F.D.; Kiminami, C.S. Corrosion resistance and glass forming ability of Fe47Co7Cr15M9Si5B15Y2 (M = Mo, Nb) amorphous alloys. Mater. Res. 2013, 16, 1294–1298. [Google Scholar] [CrossRef]
- Akbar, S.; Awan, M.S.; Aleem, M.A.; Sarwar, M.N. Development of Mo containing Fe-Cr-Co permanent magnets by modified single step thermomagnetic treatment. IEEE Trans. Magn. 2014, 50, 1–4. [Google Scholar] [CrossRef]
- Homma, M.; Horikoshi, E.; Minowa, T.; Okada, M. High-energy Fe-Cr-Co permanent magnets with (BH) max≃ 8–10 MG Oe. Appl. Phys. Lett. 1980, 37, 92–93. [Google Scholar] [CrossRef]
- Homma, M.; Okada, M.; Minowa, T.; Horikoshi, E. Fe-Cr-Co permanent magnet alloys heat-treated in the ridge region of the miscibility gap. IEEE Trans. Magn. 1981, 17, 3473–3478. [Google Scholar] [CrossRef]
- Sugimoto, S.; Satoh, H.; Okada, M.; Homma, M. The development of <100> texture in Fe-Cr-Co-Mo permanent magnet alloys. IEEE Trans. Magn. 1991, 27, 3412–3419. [Google Scholar] [CrossRef]
- Ahmad, Z.; ul Haq, A.; Yan, M.; Iqbal, Z. Evolution of phase, texture, microstructure and magnetic properties of Fe–Cr–Co–Mo–Ti permanent magnets. J. Magn. Magn. Mater. 2012, 324, 2355–2359. [Google Scholar] [CrossRef]
- Ahmad, Z.u.; Ul Haq, A.; Husain, S.; Abbas, T. Magnetic properties of isotropic Fe–28Cr–15Co–3.5 Mo permanent magnets with additives. Phys. B Condens. Matter 2002, 321, 54–59. [Google Scholar] [CrossRef]
- Marín, P.; Aragón, A.; Escorial, A.G.; Lieblich, M.; Crespo, P.; Hernando, A. Coercivity and its thermal dependence in microsized magnetic particles: Influence of grain boundaries. J. Appl. Phys. 2013, 113, 043909. [Google Scholar] [CrossRef]
- Menushenkov, V.P.; Shubakov, V.S. Effect of secondary decomposition on coercivity of Fe-Co-Cr alloys with 15% Co. In Solid State Phenomena; Trans Tech Publications: Stafa, Switzerland, 2015; pp. 623–628. [Google Scholar]
- Korneva, A.; Korznikova, G.; Kashaev, R.; Sztwiertnia, K. Microstructure of Hard Magnetic FeCr22Co15 Alloy Subjected to Tension Combined with Torsion at High Temperatures. In Solid State Phenomena; Trans Tech Publications: Stafa, Switzerland, 2013; pp. 284–287. [Google Scholar]
- Ustyukhin, A.; Ankudinov, A.; Zelenskii, V.; Milyaev, I.; Alymov, M. Improvement of magnetic properties by hot rolling of sintered powder alloy in the Fe–Cr–Co system. In Doklady Physical Chemistry; Springer: Berlin/Heidelberg, Germany, 2017; pp. 193–196. [Google Scholar]
- Vedmid, L.; Dorogina, G. Iron–Chromium Precursors for Hard-Magnetic Fe–Cr–Co Alloys. Russ. Metall. (Met.) 2018, 2018, 114–117. [Google Scholar] [CrossRef]
- Rastabi, R.A.; Ghasemi, A.; Tavoosi, M.; Sodaee, T. Magnetic characterization of nanocrystalline Fe80− xCrxCo20 (15 ≤ x ≤ 35) alloys during milling and subsequent annealing. J. Magn. Magn. Mater. 2016, 416, 174–180. [Google Scholar] [CrossRef]
- Singh, S.; Wanderka, N.; Kiefer, K.; Siemensmeyer, K.; Banhart, J. Effect of decomposition of the Cr–Fe–Co rich phase of AlCoCrCuFeNi high entropy alloy on magnetic properties. Ultramicroscopy 2011, 111, 619–622. [Google Scholar] [CrossRef]
- Shubakov, V. Heat Treatment and Structure of High-Coercivity Alloys Based on the Fe–Co–Cr and Fe–Co–Cr–Mo Systems. Met. Sci. Heat Treat. 2013, 55, 375–379. [Google Scholar] [CrossRef]
- Mukhamedov, B.; Ponomareva, A.; Abrikosov, I. Spinodal decomposition in ternary Fe-Cr-Co system. J. Alloys Compd. 2017, 695, 250–256. [Google Scholar] [CrossRef]
- Tao, S.; Ahmad, Z.; Khan, I.U.; Zhang, P.; Zheng, X. Phase, microstructure and magnetic properties of 45.5 Fe-28Cr-20Co-3Mo-1.5 Ti-2Nb permanent magnet. J. Magn. Magn. Mater. 2019, 469, 342–348. [Google Scholar] [CrossRef]
- Milyaev, I.; Yusupov, V.; Ostanin, S.Y.; Stelmashok, S.; Milyaev, A.; Laysheva, N. Magnetic hysteresis and mechanical properties of hard magnetic Fe–27Cr–15Co–2Mo–Si–Ti–V alloy. Inorg. Mater. Appl. Res. 2018, 9, 523–529. [Google Scholar] [CrossRef]
- Shubakov, V. High-coercivity decomposition in Fe-(15, 23)% Co-30% Cr-3% Mo-0.5% Ti alloys. Russ. Metall. (Met.) 2009, 2009, 160–163. [Google Scholar] [CrossRef]








| Alloy ID | Fe | Cr | Co | Mo | Ti | V | C | S | N |
|---|---|---|---|---|---|---|---|---|---|
| Sample A | 40 | 28 | 26 | 3 | 1 | 2.0 | 0.004 | 0.012 | 0.020 |
| Sample B | 42 | 28 | 24 | 3 | 1 | 2.0 | 0.002 | 0.010 | 0.017 |
| Sample C | 44 | 28 | 22 | 3 | 1 | 2.0 | 0.001 | 0.010 | 0.015 |
| Sample ID | Magnetic Properties | |||
|---|---|---|---|---|
| Flux Density, G | Br, mT | Hc, kA/m | (BH)max, kJ/m3 | |
| A | 700 ± 20 | 722 | 55 | 16 |
| B | 850 ± 20 | 819 | 68 | 22.6 |
| C | 870 ± 20 | 843 | 71 | 24 |
Publisher’s Note: MDPI stays neutral with regard to jurisdictional claims in published maps and institutional affiliations. |
© 2022 by the authors. Licensee MDPI, Basel, Switzerland. This article is an open access article distributed under the terms and conditions of the Creative Commons Attribution (CC BY) license (https://creativecommons.org/licenses/by/4.0/).
Share and Cite
Khan, I.U.; Tirth, V.; Algahtani, A.; Khan, R.; Sohail, M.; Ali, A.; Islam, S.; Irshad, K. Optimization of Single α-Phase for Promoting Ferromagnetic Properties of 44Fe–28Cr–22Co–3Mo–1Ti–2V Permanent Magnet with Varying Co Concentration for Energy Storage. Materials 2022, 15, 2344. https://doi.org/10.3390/ma15072344
Khan IU, Tirth V, Algahtani A, Khan R, Sohail M, Ali A, Islam S, Irshad K. Optimization of Single α-Phase for Promoting Ferromagnetic Properties of 44Fe–28Cr–22Co–3Mo–1Ti–2V Permanent Magnet with Varying Co Concentration for Energy Storage. Materials. 2022; 15(7):2344. https://doi.org/10.3390/ma15072344
Chicago/Turabian StyleKhan, Inam Ullah, Vineet Tirth, Ali Algahtani, Rajwali Khan, Mohammad Sohail, Amjad Ali, Saiful Islam, and Kashif Irshad. 2022. "Optimization of Single α-Phase for Promoting Ferromagnetic Properties of 44Fe–28Cr–22Co–3Mo–1Ti–2V Permanent Magnet with Varying Co Concentration for Energy Storage" Materials 15, no. 7: 2344. https://doi.org/10.3390/ma15072344
APA StyleKhan, I. U., Tirth, V., Algahtani, A., Khan, R., Sohail, M., Ali, A., Islam, S., & Irshad, K. (2022). Optimization of Single α-Phase for Promoting Ferromagnetic Properties of 44Fe–28Cr–22Co–3Mo–1Ti–2V Permanent Magnet with Varying Co Concentration for Energy Storage. Materials, 15(7), 2344. https://doi.org/10.3390/ma15072344

