A Semi-Analytical Solution for Shock Wave Pressure and Radius of Soil Plastic Zone Induced by Lightning Strikes
Abstract
:1. Introduction
2. Mathematical Model and Analytical Solution
2.1. Geometric Model and Simplifying Assumption
2.2. Governing Equations
2.2.1. Lightning Energy Diffusion Model
2.2.2. Stress of Shock Wave Model
2.2.3. Soil Deformation Model
3. Comparison and Verification
Comparisons with Existing Experiment
4. Parameter Analysis
4.1. Properties of Plasma Channel Expansion
4.2. Influence of the Initial Radius of Plasma Channel
4.3. Influence of the Plasma Channel Length
4.4. Influence of the Attenuation Coefficient
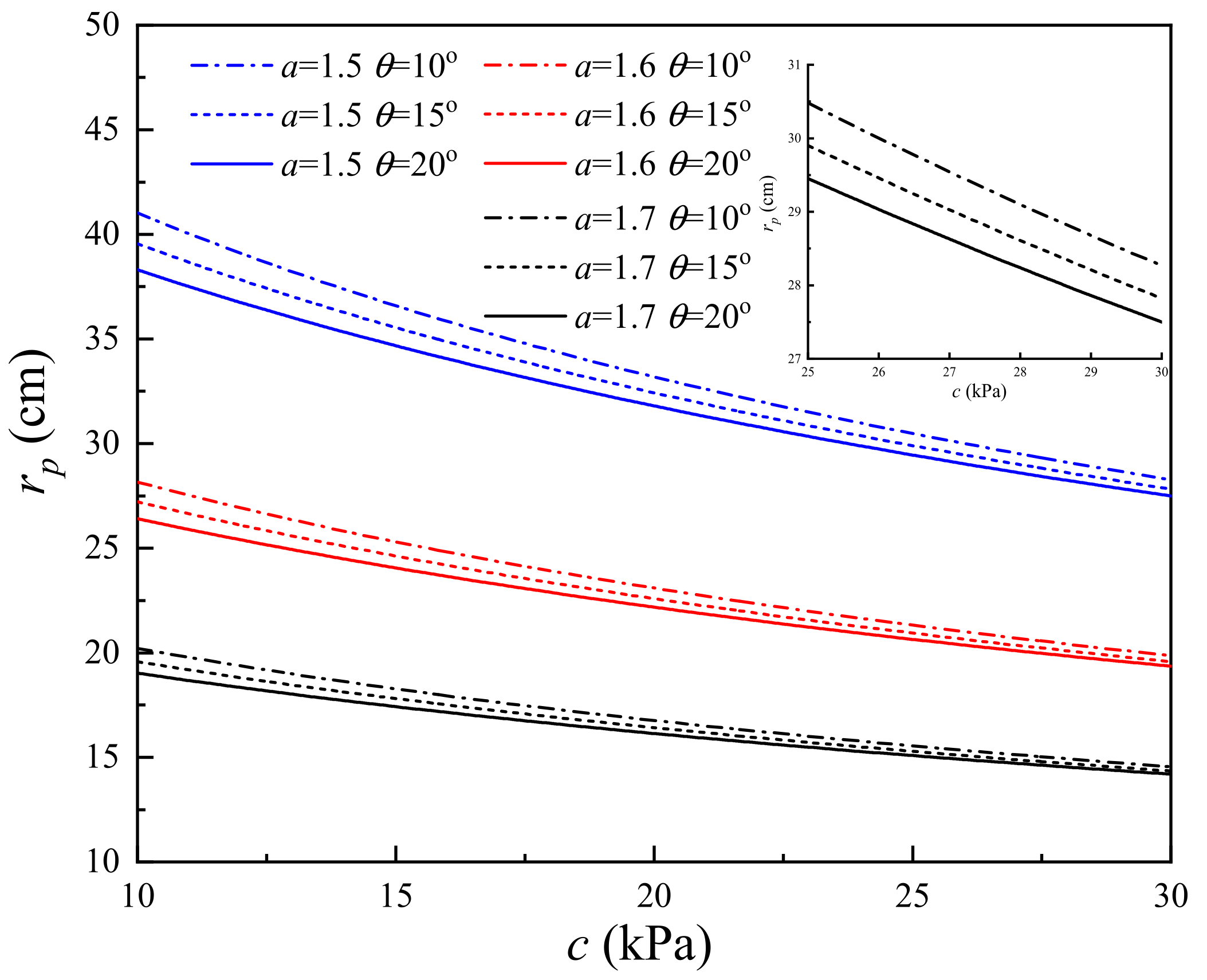
4.5. Influence of the Cohesion
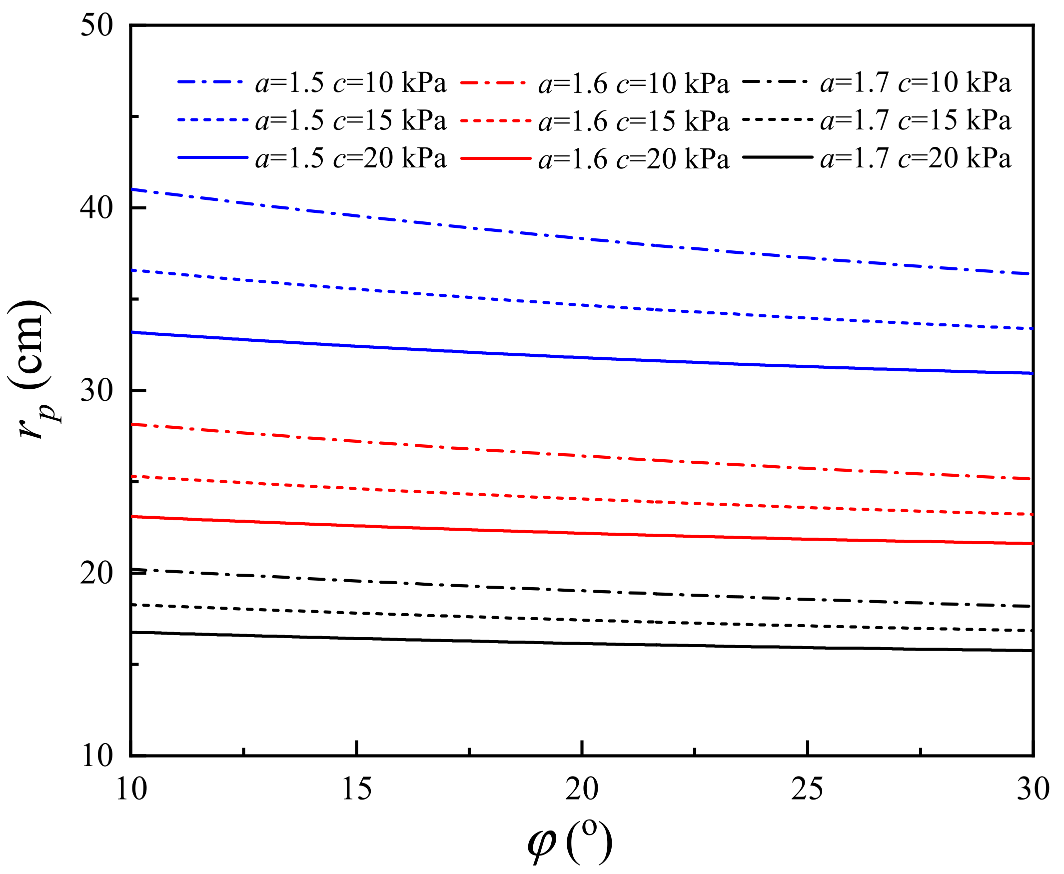
4.6. Influence of the Internal Friction Angle
5. Conclusions
- (1)
- The rp induced by lightning decreases monotonically with c and φ. Under defined conditions, c increases by 200% (from 10 kPa to 30 kPa), the radius of the soil plastic zone decreases from 25.4% to 31.1%, φ increases by 200% (from 10° to 30°), and the radius of the soil plastic zone decreases from 6.3–12.8%. With regard to rp caused by lightning strikes, c has a better effect on soil properties than φ does.
- (2)
- Increasing the ri0 can reduce the P and increasing ri0 has a nonnegligible effect on rp. For example, with ri0 increasing by 100%, rp increases by 47.9–59.7%.
- (3)
- The P and rp increase monotonically with L. L has a significant influence on P and rp, especially when L is at a relatively low level; for example, when L increases from 0.01 m to 0.2 m, the slopes of rp with L range from 36.8 to 77.8, and the slopes of P with L range from 805.3 to 2315.8.
- (4)
- The channel radius rp significantly reduces with attenuation coefficient a. With attenuation coefficient a increasing by one third (from 1.2 to 1.6), the radius of the soil plastic zone decreases from 83.5% to 84.7%, and with attenuation coefficient a increasing by 25% from 2.4 to 3.0, the radius of the soil plastic zone decreases from 51.4% to 52.9%. Thus, it is necessary to improve the attenuation coefficient for decreasing soil damage induced by lightning strikes.
- (5)
- The wavefront time is a major factor, while the half-value time is a minor factor for the shock wave pressure induced by plasma explosives. For example, when im = 20 kA, the peak pressure of 8/80 µs is 414.2 MPa and the peak pressure of 20/80 µs is 342.6 MPa.
Author Contributions
Funding
Data Availability Statement
Conflicts of Interest
References
- Dwyera, J.R.; Uman, M.A. The physics of lightning. Phys. Rep. 2014, 534, 147–241. [Google Scholar] [CrossRef]
- Kenny, G.G.; Pasek, M.A. The response of zircon to the extreme pressures and temperatures of a lightning strike. Sci. Rep. 2021, 11, 1560. [Google Scholar] [CrossRef] [PubMed]
- Hare, B.M.; Scholten, O.; Dwyer, J.; Trinh, T.N.G.; Buitink, S.; Ter Veen, S.; Zucca, P. Needle-like structures discovered on positively charged lightning branches. Nature 2019, 568, 360–363. [Google Scholar] [CrossRef] [PubMed]
- Uman, M.A.; Beasley, W.H.; Tiller, J.A.; Lin, Y.T.; Krider, E.P.; Weidmann, C.D.; Nicholson, J.R. An Unusual Lightning Flash at Kennedy Space Center. Science 1978, 201, 9–16. [Google Scholar] [CrossRef] [PubMed]
- Sohu. Three Houses Struck by Lightning Caused Fire! Surprise 50 m Long Crack in the Ground. 2019. Available online: https://www.sohu.com/a/307762361_120053250 (accessed on 31 January 2022). (In Chinese).
- Baidu. Suspected Lightning Strikes Manhole Cover, Road Bricks Blast off 5 m Like a Science Fiction Movie Special Effect. 2021. Available online: https://baijiahao.baidu.com/s?id=1693901153600619372&wfr=spider&for=pc (accessed on 31 January 2022). (In Chinese).
- Venturino, P.; Booman, J.N.; Gonzalez, M.O.; Otegui, J.L. Pipeline failures due to lightning. Eng. Fail. Anal. 2016, 64, 1–12. [Google Scholar] [CrossRef]
- Quickel, G.T.; Beavers, J.A. Pipeline failure results from lightning strike: Act of mother nature? J. Fail. Anal. Prev. 2011, 11, 227–232. [Google Scholar] [CrossRef]
- Gopalan, T.V. Lightning protection of airport runway. J. Perform. Constr. Fac. 2005, 19, 290–294. [Google Scholar] [CrossRef]
- Gao, Y.Q.; He, J.L.; Zou, J.; Zeng, R.; Liang, X.D. Fractal simulation of soil breakdown under lightning current. J. Electrostat. 2004, 61, 197–207. [Google Scholar] [CrossRef]
- Dan, Y.H.; Zhang, Z.L.; Zhao, H.; Li, Y.Q.; Ye, H.R.; Deng, J. A novel segmented sampling numerical calculation method for grounding parameters in horizontally multilayered soil. Int. J. Electr. Power. 2021, 126, 106586. [Google Scholar] [CrossRef]
- Sajadi, S.S.; Ostadzadeh, S.R.; Sadeghi, S.H.H. Parametric dependence of lightning impulse behavior of grounding electrodes buried in a dispersive and ionized lossy soil under first-and subsequent-stroke currents. Compel 2020, 39, 757–773. [Google Scholar] [CrossRef]
- Drabkina, S.I. The theory of the development of the channel of the spark discharge. Zhurnal Eksp. Teor. Fiz. 1951, 21, 473–483. [Google Scholar]
- Braginskii, S.I. Theory of the development of a spark channel. J. Exptl. Theoret. Phys. 1958, 34, 1068–1074. [Google Scholar]
- Engel, T.G.; Kristiansen, M.; Krompholz, H. Expansion of hydrogen arcs driven by oscillating currents. IEEE Trans. Plasma Sci. 1991, 19, 959–967. [Google Scholar] [CrossRef]
- Kratel, A.W.H. Pulsed Power Discharges in Water; California Institute of Technology: Pasadena, CA, USA, 1996. [Google Scholar]
- Bian, D.; Zhao, J.C.; Niu, S.Q.; Wu, S.W. Rock Fracturing under Pulsed Discharge Homenergic Water Shock Waves with Variable Characteristics and Combination Forms. Shock Vib. 2018, 6236953. [Google Scholar] [CrossRef] [Green Version]
- Arsentev, V.V. On the theory of pulse discharge in a liquid. J. Appl. Mech. Tech. Phys. 1965, 6, 34–37. [Google Scholar] [CrossRef]
- Liu, S.W.; Liu, Y.; Ren, Y.J.; Lin, F.C.; Li, H.; Zhao, Y. Analysis of shock wave induced by underwater pulsed discharge using discharge current interception. J. Appl. Phy. 2020, 127, 143301. [Google Scholar] [CrossRef]
- Yan, D.; Bian, D.C.; Ren, F.; Yin, Z.Q.; Zhao, J.C.; Niu, S.Q. Study on breakdown delay characteristics based on high-voltage pulse discharge in water with hydrostatic pressure. J. Power Technol. 2017, 97, 89–102. [Google Scholar]
- Li, Y.; Liu, J.; Feng, B.; Zhang, X.; Zhang, M.; Xiao, H.; Shi, F. Numerical modeling and simulation of the electric breakdown of rocks immersed in water using high voltage pulses. Geomech. Geophys. Geo-Energ. Geo-Resour. 2021, 7, 1. [Google Scholar] [CrossRef]
- Burkin, V.V.; Kuznetsova, N.S.; Lopatin, V.V. Dynamics of electro burst in solids: I. Power characteristics of electro burst. J. Phys. D Appl. Phys. 2009, 42, 185204. [Google Scholar] [CrossRef]
- Kuznetsova, N.; Lopatin, V.; Burkin, V.; Golovanevskiy, V.; Zhgun, D.; Ivanov, N. Theoretical and experimental investigation of electro discharge destruction of non-conducting materials. In Proceedings of the 2011 IEEE Pulsed Power Conference, Chicago, IL, USA, 19–23 June 2011; pp. 267–273. [Google Scholar] [CrossRef]
- Burkin, V.V.; Kuznetsova, N.S.; Lopatin, V.V. Dynamics of electro burst in solids: II. Characteristics of wave process. J. Phys. D Appl. Phys. 2009, 42, 235209. [Google Scholar] [CrossRef]
- Zhu, X.H.; Luo, Y.X.; Liu, W.J.; He, L.; Gao, R.; Jia, Y.D. On the Mechanism of High Voltage Pulsed Fragmentation from Electrical Breakdown Process. Rock Mech. Rock Eng. 2021, 54, 4593–4616. [Google Scholar] [CrossRef]
- Zhu, X.H.; Luo, Y.X.; Liu, W.J. On the rock-breaking mechanism of plasma channel drilling technology. J. Petrol. Sci. Eng. 2020, 194, 107356. [Google Scholar] [CrossRef]
- Cho, S.H.; Cheong, S.S.; Yokota, M.; Kaneko, K. The Dynamic Fracture Process in Rocks under High-Voltage Pulse Fragmentation. Rock Mech. Rock Eng. 2016, 49, 3841–3853. [Google Scholar] [CrossRef]
- Li, C.P.; Duan, L.C.; Wu, L.J.; Tan, S.C.; Zheng, J.; Chikhotkin, V. Experimental and numerical analyses of electro-pulse rock-breaking drilling. J. Nat. Gas. Sci. Eng. 2020, 77, 103263. [Google Scholar] [CrossRef]
- Peng, J.Y.; Zhang, F.P.; Du, C.; Yang, X.H. Effects of confining pressure on crater blasting in rock-like materials under electric explosion load. Int. J. Impact Eng. 2020, 139, 103534. [Google Scholar] [CrossRef]
- Park, H.; Lee, S.R.; Kim, T.H.; Kim, N.K. Numerical modeling of ground borehole expansion induced by application of pulse discharge technology. Comput. Geotech. 2011, 38, 532–545. [Google Scholar] [CrossRef]
- Park, H.; Lee, S.R.; Kim, T.H.; Kim, N.K. A numerical study of the pullout behavior of grout anchors underreamed by pulse discharge technology. Comput. Geotech. 2013, 47, 78–90. [Google Scholar] [CrossRef]
- Walsh, S.D.C.; Vogler, D. Simulating electropulse fracture of granitic rock. Int. J. Rock Mech. Min. 2020, 128, 104238. [Google Scholar] [CrossRef] [Green Version]
- Wakasa, S.A.; Nishimura, S.; Shimizu, H.; Matsukura, Y. Does lightning destroy rocks?: Results from a laboratory lightning experiment using an impulse high-current generator. Geomorphology 2012, 161, 110–114. [Google Scholar] [CrossRef]
- Chen, J.; Elmi, C.; Goldsby, D.; Gieré, R. Generation of shock lamellae and melting in rocks by lightning-induced shock waves and electrical heating. Geophys. Res. Lett. 2017, 44, 8757–8768. [Google Scholar] [CrossRef] [Green Version]
- Yan, F.Z.; Xu, J.; Peng, S.J.; Zou, Q.L.; Zhou, B.; Long, K.; Zhao, Z.G. Breakdown process and fragmentation characteristics of anthracite subjected to high-voltage electrical pulses treatment. Fuel 2020, 275, 117926. [Google Scholar] [CrossRef]
- Rao, P.P.; Chen, Q.S.; Nimbalkar, S.; Liu, Y. Effect of water and salinity on soil behaviour under lightning. Environ. Geotech. 2016, 5, 56–62. [Google Scholar] [CrossRef]
- Rao, P.P.; Chen, Q.S.; Nimbalkar, S.; Liu, Y. Laboratory study on impulse current characteristics of clay. Environ. Geotech. 2017, 4, 199–208. [Google Scholar] [CrossRef] [Green Version]
- Lee, J.; Lacy, T.E., Jr.; Pittman, C.U., Jr.; Reddy, J.N. Numerical estimations of lightning-induced mechanical damage in carbon/epoxy composites using shock wave overpressure and equivalent air blast overpressure. Compo. Struct. 2019, 224, 111039. [Google Scholar] [CrossRef]
- Rompe, R.; Weizel, W. Über das Toeplersche Funkengesetz, Z. Physik 1944, 122, 636–639. [Google Scholar] [CrossRef]
- Courant, R.; Friedrichs, K.O. Supersonic Flow and Shock Waves; Springer: New York, NY, USA, 1999. [Google Scholar]
- Li, Q.Y.; Ma, S.Z. Mech. Explosion; Science Press: Beijing, China, 1992. (In Chinese) [Google Scholar]
- Tang, W.H.; Zhang, R.Q. Introduction to Theory and Computation of Equations of State, 2nd ed.; Higher Education Press: Beijing, China, 2008. [Google Scholar]
- Li, C.P.; Duan, L.C.; Tan, S.C.; Chikhotkin, V.; Fu, W.P. Damage Model and Numerical Experiment of High-Voltage Electro Pulse Boring in Granite. Energies 2019, 12, 727. [Google Scholar] [CrossRef] [Green Version]
- Barber, J.R. Elasticity; Springer: New York, NY, USA, 2010. [Google Scholar]
- Casagrande, A.; Shannon, W.L. Research on stress-deformation and strength characteristics of soil and soft rocks under transient loading. Harv. Soil Mech. Ser. 1948, 31, 1–132. [Google Scholar]
- Rollins, K.M.; Amoroso, S.; Andersen, P.; Tonni, L.; Wissmann, K. Liquefaction Mitigation of Silty Sands Using Rammed Aggregate Piers Based on Blast-Induced Liquefaction Testing. J. Geotech. Geoenviron. Eng. 2021, 147, 04021085. [Google Scholar] [CrossRef]
- Xie, D.Y. Soil Dynamic; Higher Education Press: Beijing, China, 2011. (In Chinese) [Google Scholar]
- Pan, Q.; Zhang, J.C.; Guo, X.B. The principle of soil compaction by explosion and its experimental investigation. Expl. Shock Wave 2011, 31, 165–172. (In Chinese) [Google Scholar] [CrossRef]
- Xiao, S.; Guo, W.D.; Zeng, J. Factor of safety of slope stability from deformation energy. Can. Geotech. J. 2018, 55, 296–302. [Google Scholar] [CrossRef]
- Ushakov, V.Y.; Vajov, V.F.; Zinoviev, N.T. Electro-Discharge Technology for Drilling Wells and Concrete Destruction; Springer: Cham, Switzerland, 2019. [Google Scholar] [CrossRef]
- Ding, C.X.; Yang, R.S.; Lei, Z.; Wang, M.; Zhao, Y.; Lin, H. Fractal damage and crack propagation in decoupled charge blasting. Soil Dyn. Earthq. Eng. 2021, 141, 106503. [Google Scholar] [CrossRef]
- Dolce, F. Blast Impact Simulation on Composite Military Armours. Ph.D. Thesis, University of Bath, Bath, UK, 2009. [Google Scholar]
- Ханукаев, A.H. Physical Process of Rock Blasting; Metallurgical Industry Press: Beijing, China, 1980. (In Chinese) [Google Scholar]
















| Material | Density (kN/m3) | Bulk Modulus (GPa) | Young’s Modulus (GPa) | Speed of Sound (m/s) |
|---|---|---|---|---|
| Cement paste | 24 | 4.87 | - | 1425 |
| Material | Unit Weight, γ (kN/m3) | Cohesion, c (kPa) | Internal Friction Angle, φ (°) | Elastic Modulus, E (MPa) | Possion’s Ratio, υ |
|---|---|---|---|---|---|
| Soil | 18 | 10.5 | 18.9 | 20 | 0.41 |
Publisher’s Note: MDPI stays neutral with regard to jurisdictional claims in published maps and institutional affiliations. |
© 2022 by the authors. Licensee MDPI, Basel, Switzerland. This article is an open access article distributed under the terms and conditions of the Creative Commons Attribution (CC BY) license (https://creativecommons.org/licenses/by/4.0/).
Share and Cite
Wu, Z.; Rao, P.; Nimbalkar, S.; Chen, Q.; Cui, J.; Ouyang, P. A Semi-Analytical Solution for Shock Wave Pressure and Radius of Soil Plastic Zone Induced by Lightning Strikes. Materials 2022, 15, 2239. https://doi.org/10.3390/ma15062239
Wu Z, Rao P, Nimbalkar S, Chen Q, Cui J, Ouyang P. A Semi-Analytical Solution for Shock Wave Pressure and Radius of Soil Plastic Zone Induced by Lightning Strikes. Materials. 2022; 15(6):2239. https://doi.org/10.3390/ma15062239
Chicago/Turabian StyleWu, Zhilin, Pingping Rao, Sanjay Nimbalkar, Qingsheng Chen, Jifei Cui, and Peihao Ouyang. 2022. "A Semi-Analytical Solution for Shock Wave Pressure and Radius of Soil Plastic Zone Induced by Lightning Strikes" Materials 15, no. 6: 2239. https://doi.org/10.3390/ma15062239
APA StyleWu, Z., Rao, P., Nimbalkar, S., Chen, Q., Cui, J., & Ouyang, P. (2022). A Semi-Analytical Solution for Shock Wave Pressure and Radius of Soil Plastic Zone Induced by Lightning Strikes. Materials, 15(6), 2239. https://doi.org/10.3390/ma15062239

