Influence of Anomalous Changes in the Crystal Structure on the Transport Properties of YbNi1−xCuxAl Series of Alloys
Abstract
:1. Introduction
2. Materials and Methods
3. Results
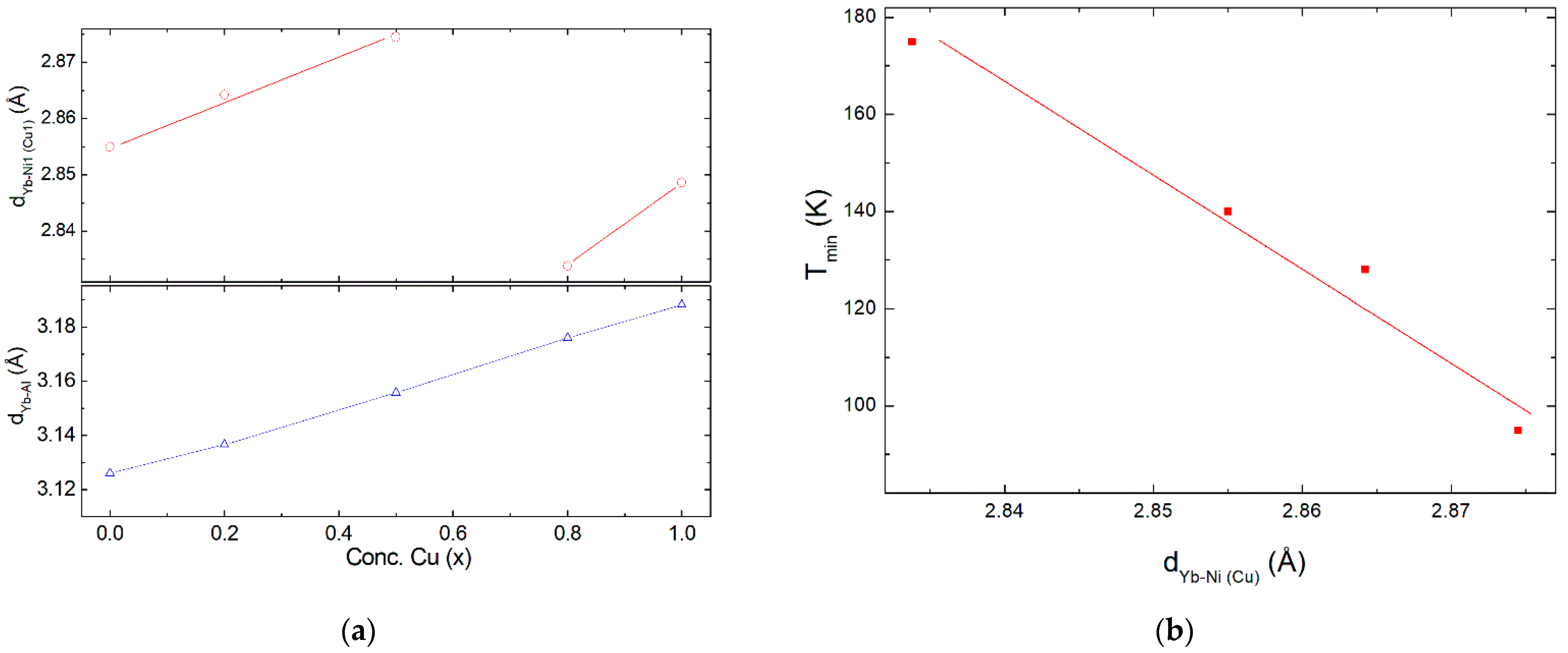
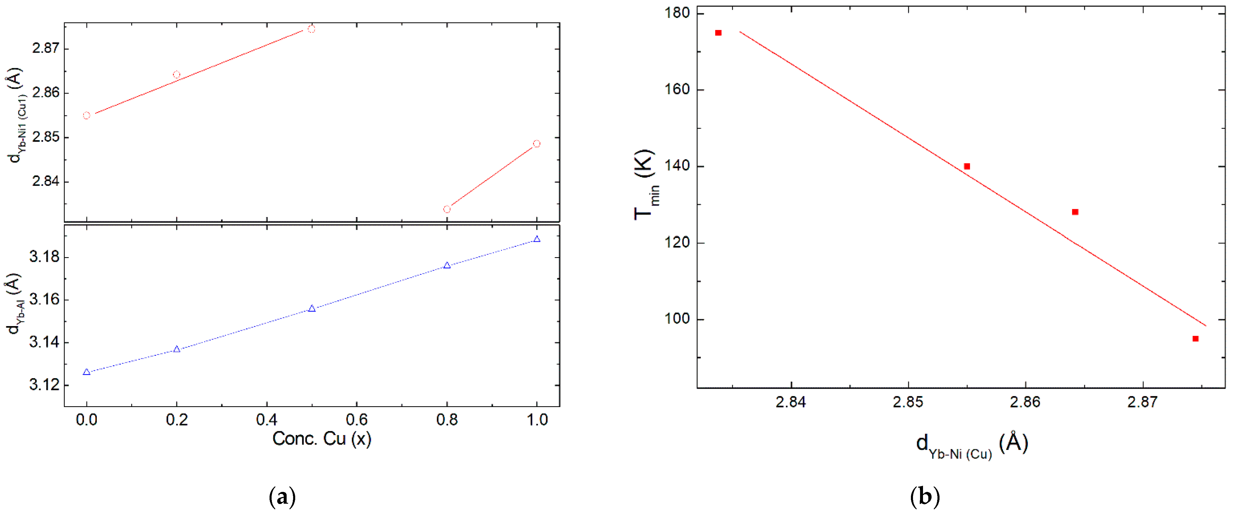
3.1. X-ray Diffraction
3.2. Electrical Resistivity
3.3. Specific Heat
4. Discussion
5. Conclusions
Author Contributions
Funding
Institutional Review Board Statement
Informed Consent Statement
Data Availability Statement
Conflicts of Interest
References
- Paschen, S.; Si, Q. Quantum phases driven by strong correlations. Nat. Rev. Phys. 2021, 3, 9–26. [Google Scholar] [CrossRef]
- Hewson, A.C. The Kondo Problem to Heavy Fermions (Cambridge Studies on Magnetism), 1st ed.; Cambridge University Press: London, UK, 1993. [Google Scholar]
- Doniach, S. The Kondo lattice and weak antiferromagnetism. Physica B+C 1977, 91, 231. [Google Scholar] [CrossRef]
- Song, J.; Fabbris, G.; Bi, W.; Haskel, D.; Schilling, J.S. Pressure-Induced Superconductivity in Elemental Ytterbium Metal. Phys. Rev. Lett. 2018, 121, 037004. [Google Scholar] [CrossRef] [PubMed] [Green Version]
- Umeo, K.; Watanabe, D.; Araki, K.; Katoh, K.; Takabatake, T. Uniaxial-Pressure-Induced Release of Magnetic Frustration in a Triangular Lattice Antiferromagnet YbCuGe. Metals 2021, 11, 30. [Google Scholar] [CrossRef]
- Suzuki, S.; Takubo, K.; Kuga, K.; Higemoto, W.U.; Ito, T.; Tomita, T.; Shimura, Y.; Matsumoto, Y.; Bareille, C.; Wadati, H.; et al. High-temperature antiferromagnetism in Yb based heavy fermion systems proximate to a Kondo insulator. Phys. Rev. Res. 2021, 3, 023140. [Google Scholar] [CrossRef]
- Gupta, S.; Suresh, K.G. Review on magnetic and related properties of RTX compounds. J. Alloys Compd. 2015, 618, 522–606. [Google Scholar] [CrossRef] [Green Version]
- Pottgen, R.B.; Johrend, D.; Kubmann, D. Structure-property relations of ternary equiatomic YbTX intermetallics. In Handbook on the Physics and Chemistry of Rare Earths, 1st ed.; Gschneidner, K.A., Jr., Eyring, L., Lander, G.H., Eds.; Elsevier: Amsterdam, The Netherlands, 2001; Volume 32, pp. 453–506. [Google Scholar]
- Mattens, W.C.M.; de Chatel, P.F.; Moleman, A.C.; de Boer, F.R. Intermediate-valence state of Yb in Y- and Gd substituted YbCuAl. Physica B 1979, 96, 138–143. [Google Scholar] [CrossRef]
- Mattens, W.C.M.; Hölscher, H.; Tuin, G.J.M.; Moleman, A.C.; de Boer, F.R. Thermal expansion and magneto-volume effects in the mixed-valent compound YbCuAl. J. Magn. Magn. Mater. 1980, 15, 982–984. [Google Scholar] [CrossRef]
- Pott, R.; Schefzyk, R.; Wohlleben, D.; Junod, A. Thermal expansion and specific heat of intermediate valent YbCuAl. Z. Phys. B 1981, 44, 17–24. [Google Scholar] [CrossRef]
- Alami-Yadri, K.; Wilhelm, H.; Jaccard, D. Electrical resistivity of YbAuIn2 and YbCuAl up to 8 GPa. Solid State Commun. 1998, 108, 279–283. [Google Scholar] [CrossRef]
- Rojas, D.P.; Gandra, F.G.; Medina, A.N.; Fernández Barquín, L.; Gomez Sal, J.C. Kondo temperature and Heavy fermion behavior in Yb1−xYxCuAl series of alloys. Physica B 2018, 536, 176–181. [Google Scholar] [CrossRef]
- Brandt, N.; Moshchalkov, V.V. Concentrated Kondo Systems. Adv. Phys. 1984, 33, 373–467. [Google Scholar] [CrossRef]
- Schank, C.; Olesch, G.; Kohler, J.; Tegel, U.; Klinger, U.; Diehl, J.; Klimm, S.; Sparn, G.; Horn, S.; Geibel, C.; et al. YbNiAl: A new Yb-based heavy fermion antiferromagnet. J. Magn. Magn. Mater. 1995, 140, 1237–1238. [Google Scholar] [CrossRef]
- Rojas, D.P.; Medina, A.N.; Gandra, F.G.; Cardoso, L.P. Transport and thermodynamic properties of YbInNi4−xCux system. J. Magn. Magn. Mater. 2001, 226, 72–74. [Google Scholar] [CrossRef]
- Rojas, D.P.; Cardoso, L.P.; Coelho, A.A.; Gandra, F.G.; Medina, A.N. Unusual behavior of the Kondo temperature of La1−xYbxCu3Al2. Phys. Rev. B 2001, 63, 165114. [Google Scholar] [CrossRef] [Green Version]
- Medina, A.N.; Rojas, D.P.; Gandra, F.G. ESR of Gd3+ in Y1−x−yYbxGdyInNi4. J. Magn. Magn. Mater. 2001, 226, 77–79. [Google Scholar] [CrossRef]
- Rodriguez-Carvajal, J. Recent advances in magnetic structure determination by neutron powder diffraction. Physica B 1993, 192, 55–69. [Google Scholar] [CrossRef]
- Görlach, T.; Pfleiderer, C.; Grube, K.; Löhneysen, H.V. Low-temperature properties of YbAl2. Phys. Rev. B 2005, 71, 033101. [Google Scholar] [CrossRef]
- Rojas, D.P.; Espeso, J.I.; Fernández Barquín, L.; Rodríguez Fernández, J. Reduction of the Yb valence in YbAl3 nanoparticles. Phys. Rev. B 2008, 78, 094412. [Google Scholar] [CrossRef] [Green Version]
- Hiess, A.; Boucherle, J.X.; Givord, F.; Canfield, P.C. Magnetic susceptibility and magnetization measurements of an YbA13 single crystal for groundstate investigations. J. Alloys Compd. 1995, 224, 33. [Google Scholar] [CrossRef]
- Medina, A.N.; Rojas, D.P.; Gandra, F.G.; Azanha, W.R.; Cardoso, L.P. Change of the Kondo regime in CePd2Al3 induced by chemical substitution: Verification of the Doniach diagram. Phys. Rev. B 1999, 59, 8738. [Google Scholar] [CrossRef] [Green Version]
- Cornut, B.; Coqblin, B. Influence of the Crystalline Field on the Kondo Effect of Alloys and Compounds with Cerium Impurities. Phys. Rev. B 1972, 5, 11. [Google Scholar] [CrossRef]
- Segal, E.; Wallace, E. Rare-earth ions in a hexagonal field I. J. Solid State Chem. 1970, 2, 347–365. [Google Scholar] [CrossRef]
- Garcia Soldevilla, J.; Gómez Sal, J.C.; Rodríguez, F.; Espeso, J.I.; Monconduit, L.; Allemand, J.; Paccard, D. Magnetic interactions competing in CeNil−xCux compounds. Physica B 1997, 230, 117–119. [Google Scholar] [CrossRef]
- Garcia Soldevilla, J.; Gómez Sal, J.C.; Espeso, J.I.; Rodríguez Fernández, J.; Blanco, J.A.; Fernández Díaz, M.T.; Buttner, H. Simultaneous changes of the 4f-conduction band hybridization and the density of states in the CeNil−xCux compounds. J. Magn. Magn. Mater. 1998, 177, 300–302. [Google Scholar] [CrossRef]
- Andreica, D.; Amato, A.; Gygax, F.N.; Schenck, A. Nonmagnetic-magnetic transition in Yb(Cu1−xNix)2Si2 studied by muon-spin relaxation. J. Phys. Cond. Matter 2003, 15, 6997–7017. [Google Scholar] [CrossRef]
- Cermáka, P.; Javorskýa, P.; Šantavá, E. Transition from Mixed-Valence to Trivalent Cerium State in Ce(Ni,Cu)Al series. Acta Phys. Pol. A 2010, 118, 926–928. [Google Scholar] [CrossRef]
- Rojas, D.P.; Fernández Barquín, L.; Echevarria-Bonet, C.; Rodríguez Fernández, J. YbNi2: A heavy fermión ferromagnet. Solid State Commun. 2012, 152, 1834–1837. [Google Scholar] [CrossRef]







| YbNi1−xCuxAl | a (Å) | c (Å) | V (Å3) |
|---|---|---|---|
| x = 0 | 6.9610 (6) | 3.7743 (4) | 158.38 (4) |
| x = 0.2 | 6.9823 (4) | 3.7863 (3) | 159.86 (3) |
| x = 0.5 | 7.002 (1) | 3.8355 (8) | 162.85 (8) |
| x = 0.8 | 6.9139 (5) | 3.9883 (3) | 165.11 (4) |
| x = 1.0 | 6.9360 (6) | 4.0044 (4) | 166.83 (5) |
| YNi1−xCuxAl | a (Å) | c (Å) | V (Å3) |
|---|---|---|---|
| x = 0 | 7.0451 (5) | 3.8450 (3) | 165.28 (4) |
| x = 0.2 | 7.0641 (5) | 3.8582 (3) | 166.73 (4) |
| x = 0.5 | 7.0588 (8) | 3.9287 (6) | 169.53 (6) |
| x = 0.8 | 7.0169 (6) | 4.0377 (5) | 172.17 (5) |
| x = 1.0 | 7.0461 (5) | 4.0382 (3) | 173.63 (4) |
| YbNi1−xCuxAl | Tmin (K) (±10%) | C (μΩcm) (±1%) | γ (mJ/mol·K2) (±1%) |
|---|---|---|---|
| x = 0 | 140 | 46 | 113 |
| x = 0.2 | 128 | 39 | 114 |
| x = 0.5 | 95 | 21 | 125 |
| x = 0.8 | 175 | 212 | 246 |
| x = 1 | - | - | 340 |
Publisher’s Note: MDPI stays neutral with regard to jurisdictional claims in published maps and institutional affiliations. |
© 2022 by the authors. Licensee MDPI, Basel, Switzerland. This article is an open access article distributed under the terms and conditions of the Creative Commons Attribution (CC BY) license (https://creativecommons.org/licenses/by/4.0/).
Share and Cite
Pupo, D.R.; Gandra, F.G.; Barquín, L.F. Influence of Anomalous Changes in the Crystal Structure on the Transport Properties of YbNi1−xCuxAl Series of Alloys. Materials 2022, 15, 1688. https://doi.org/10.3390/ma15051688
Pupo DR, Gandra FG, Barquín LF. Influence of Anomalous Changes in the Crystal Structure on the Transport Properties of YbNi1−xCuxAl Series of Alloys. Materials. 2022; 15(5):1688. https://doi.org/10.3390/ma15051688
Chicago/Turabian StylePupo, Daniel Rojas, Flávio Guimarães Gandra, and Luis Fernández Barquín. 2022. "Influence of Anomalous Changes in the Crystal Structure on the Transport Properties of YbNi1−xCuxAl Series of Alloys" Materials 15, no. 5: 1688. https://doi.org/10.3390/ma15051688
APA StylePupo, D. R., Gandra, F. G., & Barquín, L. F. (2022). Influence of Anomalous Changes in the Crystal Structure on the Transport Properties of YbNi1−xCuxAl Series of Alloys. Materials, 15(5), 1688. https://doi.org/10.3390/ma15051688

