Influence of Cryo-Processing and Post-SPD Annealing on Creep Behavior of CP Titanium
Abstract
1. Introduction
2. Materials and Methods
3. Results
3.1. Microstructure of SPD-Processed Ti
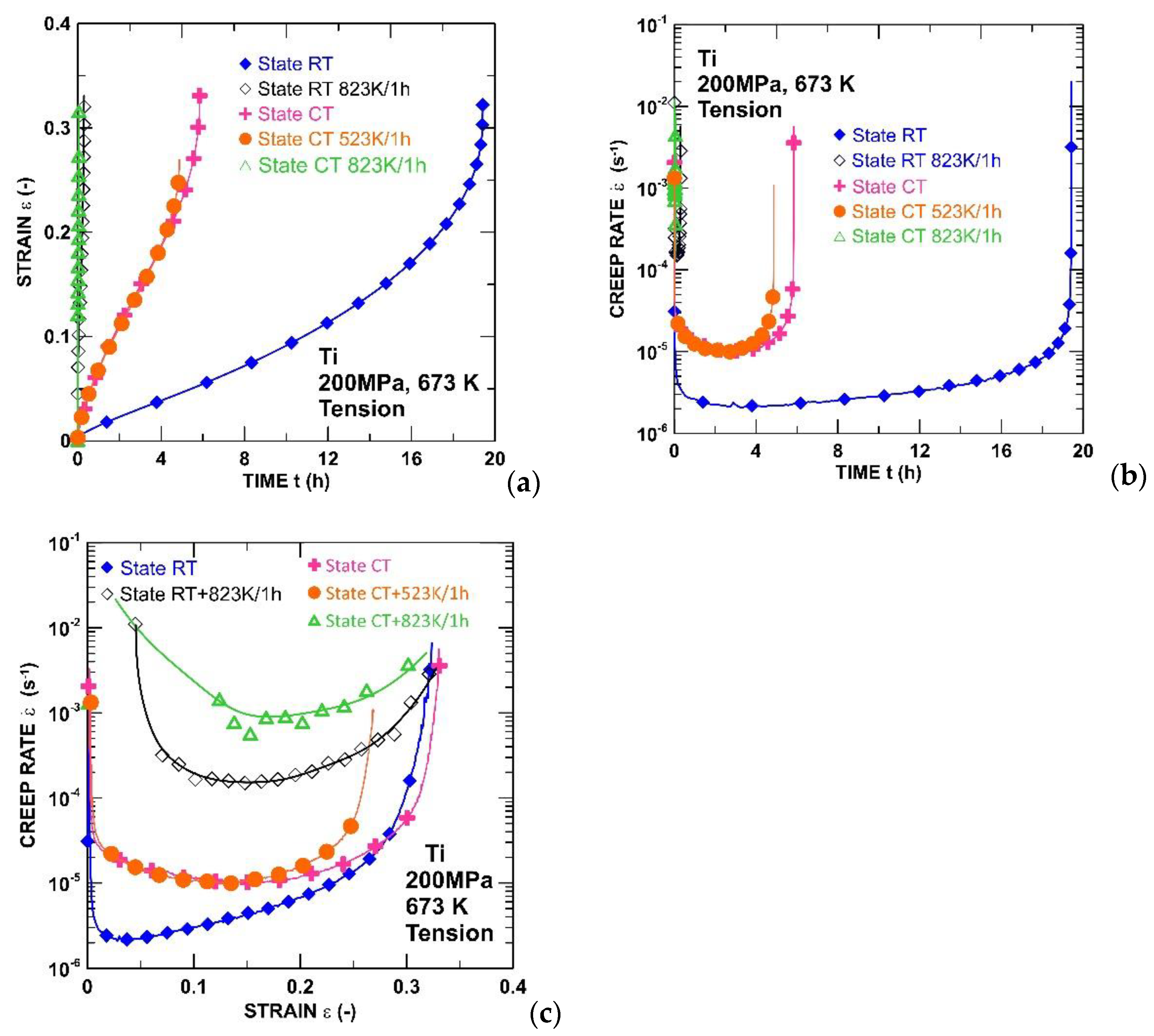
3.2. Creep Resistance of Different SPD-Processed Titanium States
3.3. Determination of the Stress Exponent of Creep Rates for RT and CT States
3.4. Monkman–Grant Relationships and Activation Energy of Creep
3.5. Microstructure Analysis of SPD-Processed Ti after Creep Exposure
4. Discussion
5. Conclusions
Author Contributions
Funding
Institutional Review Board Statement
Informed Consent Statement
Data Availability Statement
Acknowledgments
Conflicts of Interest
References
- Valiev, R.Z.; Islamgaliev, R.K.; Alexandrov, I.V. Bulk Nanostructured Materials from Severe Plastic Deformation. Prog. Mater. Sci. 2000, 45, 103–189. [Google Scholar] [CrossRef]
- Edalati, K.; Matsubara, E.; Horita, Z. Processing Pure Ti by High-Pressure Torsion in Wide Ranges of Pressures and Strain. Metall. Mater. Trans. A 2009, 40, 2079–2086. [Google Scholar] [CrossRef]
- Edalati, K. Metallurgical Alchemy by Ultra-Severe Plastic Deformation via High-Pressure Torsion Process. Mater. Trans. 2019, 60, 1221–1229. [Google Scholar] [CrossRef]
- Pippan, R.; Wetscher, F.; Hafok, M.; Vorhauer, A.; Sabirov, I. The Limits of Refinement by Severe Plastic Deformation. Adv. Eng. Mater. 2006, 8, 1046–1056. [Google Scholar] [CrossRef]
- Edalati, K.; Cubero-Sesin, J.; Ali Alhamidi, A.; Mohamed, I.F.; Horita, Z. Influence of Severe Plastic Deformation at Cryogenic Temperature on Grain Refinement and Softening of Pure Metals: Investigation Using High-Pressure Torsion. Mater. Sci. Eng. A 2014, 613, 103–110. [Google Scholar] [CrossRef]
- Matsunaga, H.; Horita, Z. Softening and Microstructural Coarsening without Twin Formation in FCC Metals with Low Stacking Fault Energy after Processing by High-Pressure Torsion. Mater. Trans. 2009, 50, 1633–1637. [Google Scholar] [CrossRef]
- Gubicza, J.; Chinh, N.Q.; Lábár, J.L.; Hegedűs, Z.; Langdon, T.G. Principles of Self-Annealing in Silver Processed by Equal-Channel Angular Pressing: The Significance of a Very Low Stacking Fault Energy. Mater. Sci. Eng. A 2010, 527, 752–760. [Google Scholar] [CrossRef]
- Huang, Y.; Sabbaghianrad, S.; Almazrouee, A.I.; Al-Fadhalah, K.J.; Alhajeri, S.N.; Langdon, T.G. The Significance of Self-Annealing at Room Temperature in High Purity Copper Processed by High-Pressure Torsion. Mater. Sci. Eng. A 2016, 656, 55–66. [Google Scholar] [CrossRef]
- Král, P.; Dvořák, J.; Kvapilová, M.; Blum, W.; Sklenička, V. The Influence of Long-Term Annealing at Room Temperature on Creep Behaviour of ECAP-Processed Copper. Mater. Lett. 2017, 188, 235–238. [Google Scholar] [CrossRef]
- Popov, V.V.; Popova, E.N.; Stolbovskiy, A.V.; Pilyugin, V.P. Thermal Stability of Nanocrystalline Structure in Niobium Processed by High Pressure Torsion at Cryogenic Temperatures. Mater. Sci. Eng. A 2011, 528, 1491–1496. [Google Scholar] [CrossRef]
- Pilyugin, V.P.; Gapontseva, T.M.; Chashchukhina, T.I.; Voronova, L.M.; Shchinova, L.I.; Degtyarev, M.V. Evolution of the Structure and Hardness of Nickel upon Cold and Low-Temperature Deformation under Pressure. Phys. Metals Metallogr. 2008, 105, 409–419. [Google Scholar] [CrossRef]
- Podolskiy, A.V.; Mangler, C.; Schafler, E.; Tabachnikova, E.D.; Zehetbauer, M.J. Microstructure and Mechanical Properties of High Purity Nanostructured Titanium Processed by High Pressure Torsion at Temperatures 300 and 77 K. J. Mater. Sci. 2013, 48, 4689–4697. [Google Scholar] [CrossRef]
- Sklenicka, V.; Dvorak, J.; Kral, P.; Stonawska, Z.; Svoboda, M. Creep Processes in Pure Aluminium Processed by Equal-Channel Angular Pressing. Mater. Sci. Eng. A 2005, 410–411, 408–412. [Google Scholar] [CrossRef]
- Kral, P.; Dvorak, J.; Sklenicka, V.; Langdon, T.G. The Characteristics of Creep in Metallic Materials Processed by Severe Plastic Deformation. Mater. Trans. 2019, 60, 1506–1517. [Google Scholar] [CrossRef]
- Blum, W.; Dvořák, J.; Král, P.; Sklenička, V. Dynamic Grain Coarsening in Creep of Pure Cu at 0.42Tm after Predeformation by ECAP. Mater. Sci. Eng. A 2018, 731, 520–529. [Google Scholar] [CrossRef]
- Li, Y.J.; Valiev, R.; Blum, W. Deformation Kinetics of Ultrafine-Grained Cu and Ti. Mater. Sci. Eng. A 2005, 410–411, 451–456. [Google Scholar] [CrossRef]
- Betekhtin, V.; Narykova, M.; Kadomtcev, A. Evolution of the Structure of Ultrafine-Grained Metals and Alloys in Creep Tests. Mater. Today Proc. 2019, 11, 265–269. [Google Scholar] [CrossRef]
- Narykova, M.; Kadomtsev, A.; Betekhtin, V.; Kolobov, Y.; Manohin, S.; Tokmacheva-Kolobova, A. Coarse-Grained and Ultrafine-Grained Titanium High-Temperature Creep. J. Phys. Conf. Ser. 2020, 1697, 12113. [Google Scholar] [CrossRef]
- Betekhtin, V.; Kolobov, Y.; Sklenička, V.; Kadomtsev, A.; Narykova, M.; Dvorak, J.; Golosov, E.; Kardashev, B.; Kuz’menko, I. Effect of a Defect Structure on the Static and Long-Term Strength of Submicrocrystalline VT1-0 Titanium Fabricated by Plastic Deformation during Screw and Lengthwise Rolling. Tech. Phys. 2015, 60, 66–71. [Google Scholar] [CrossRef]
- Betekhtin, V.; Sklenička, V.; Kadomtsev, A.; Kolobov, Y.; Narykova, M. Defect Structure and Thermomechanical Stability of Nano- and Microcrystalline Titanium Obtained by Different Methods of Intense Plastic Deformation. Phys. Solid State 2017, 59, 960–966. [Google Scholar] [CrossRef]
- Moskalenko, V.A.; Betekhtin, V.I.; Kardashev, B.K.; Kadomtsev, A.G.; Smirnov, A.R.; Smolyanets, R.V.; Narykova, M.V. Mechanical Properties and Structural Features of Nanocrystalline Titanium Produced by Cryorolling. Phys. Solid State 2014, 56, 1590–1596. [Google Scholar] [CrossRef]
- Monkman, E.C.; Grant, N.J. An Empirical Relationship between Rupture Life and Minimum Creep Rate in Creep-Rupture Tests. Proc. ASTM 1956, 56, 91–103. [Google Scholar]
- Dobeš, F.; Milička, K. The Relation between Minimum Creep Rate and Time to Fracture. Met. Sci. 1976, 10, 382–384. [Google Scholar] [CrossRef]
- Maruyama, K.; Sekido, N.; Yoshimi, K. Changes in Monkman-Grant Relation among Four Creep Regions of Modified 9Cr-1Mo Steel. Mater. Sci. Eng. A 2019, 749, 223–234. [Google Scholar] [CrossRef]
- Sklenicka, V.; Kuchařová, K.; Král, P.; Kvapilová, M.; Dvořák, J. Applicability of Empirical Formulas and Fractography for Assessment of Creep Life and Creep Fracture Modes of Tempered Martensitic 9%Cr Steel. Kov. Mater 2017, 55, 69–80. [Google Scholar] [CrossRef][Green Version]
- Sklenička, V.; Dvořák, J.; Svoboda, M. Creep in Ultrafine Grained Aluminium. Mater. Sci. Eng. A 2004, 387–389, 696–701. [Google Scholar] [CrossRef]
- Dvorak, J.; Sklenička, V.; Horita, Z. Microstructural Evolution and Mechanical Properties of High Purity Aluminium Processed by Equal-Channel Angular Pressing. Mater. Trans. 2008, 49, 15–19. [Google Scholar] [CrossRef]
- Sergueeva, A.V.; Stolyarov, V.V.; Valiev, R.Z.; Mukherjee, A.K. Advanced Mechanical Properties of Pure Titanium with Ultrafine Grained Structure. Scr. Mater. 2001, 45, 747–752. [Google Scholar] [CrossRef]
- Islamgaliev, R.K.; Kazyhanov, V.U.; Shestakova, L.O.; Sharafutdinov, A.V.; Valiev, R.Z. Microstructure and Mechanical Properties of Titanium (Grade 4) Processed by High-Pressure Torsion. Mater. Sci. Eng. A 2008, 493, 190–194. [Google Scholar] [CrossRef]
- Wang, C.T.; Gao, N.; Gee, M.G.; Wood, R.J.K.; Langdon, T.G. Effect of Grain Size on the Micro-Tribological Behavior of Pure Titanium Processed by High-Pressure Torsion. Wear 2012, 280–281, 28–35. [Google Scholar] [CrossRef]
- Stolyarov, V.V.; Zhu, Y.T.; Alexandrov, I.V.; Lowe, T.C.; Valiev, R.Z. Influence of ECAP Routes on the Microstructure and Properties of Pure Ti. Mater. Sci. Eng. A 2001, 299, 59–67. [Google Scholar] [CrossRef]
- Frost, H.J.; Ashby, M.F. Deformation-Mechanism Maps: The Plasticity and Creep of Metals and Ceramics; Pergamon Press: Oxford, UK; New York, NY, USA, 1982; ISBN 978-0-08-029338-7. [Google Scholar]
- Blum, W.; Li, Y.J.; Breutinger, F. Deformation Kinetics of Coarse-Grained and Ultrafine-Grained Commercially Pure Ti. Mater. Sci. Eng. A 2007, 462, 275–278. [Google Scholar] [CrossRef]
- Maruyama, K.; Sawada, K.; Koike, J. Strengthening Mechanisms of Creep Resistant Tempered Martensitic Steel. ISIJ Int. 2001, 41, 13. [Google Scholar] [CrossRef]
- Kral, P.; Dvorak, J.; Sklenicka, V.; Horita, Z.; Takizawa, Y.; Tang, Y.; Kunčická, L.; Kvapilova, M.; Ohankova, M. Influence of High Pressure Sliding and Rotary Swaging on Creep Behavior of P92 Steel at 500 °C. Metals 2021, 11, 2044. [Google Scholar] [CrossRef]
- Zhang, H.W.; Lu, K.; Pippan, R.; Huang, X.; Hansen, N. Enhancement of Strength and Stability of Nanostructured Ni by Small Amounts of Solutes. Scr. Mater. 2011, 65, 481–484. [Google Scholar] [CrossRef]
- Valiev, R.Z.; Sergueeva, A.V.; Mukherjee, A.K. The Effect of Annealing on Tensile Deformation Behavior of Nanostructured SPD Titanium. Scr. Mater. 2003, 49, 669–674. [Google Scholar] [CrossRef]
- Cadek, J. Creep in Metallic Materials; Elsevier: Amsterdam, The Netherlands; New York, NY, USA, 1988; ISBN 978-0-444-98916-1. [Google Scholar]
- Köppers, M.; Herzig, C.; Friesel, M.; Mishin, Y. Intrinsic Self-Diffusion and Substitutional Al Diffusion in α-Ti. Acta Mater. 1997, 45, 4181–4191. [Google Scholar] [CrossRef]










| Element | Al | Si | Cu | Fe | O | C | N | Ti |
|---|---|---|---|---|---|---|---|---|
| CT state | 0.35 | 0.01 | 0.069 | 0.1 | 0.02 | 0.007 | 0.009 | Bal. |
| RT state | 0.01 | 0.002 | - | 0.12 | 0.143 | 0.004 | 0.003 | Bal. |
Publisher’s Note: MDPI stays neutral with regard to jurisdictional claims in published maps and institutional affiliations. |
© 2022 by the authors. Licensee MDPI, Basel, Switzerland. This article is an open access article distributed under the terms and conditions of the Creative Commons Attribution (CC BY) license (https://creativecommons.org/licenses/by/4.0/).
Share and Cite
Dvorak, J.; Kral, P.; Kadomtsev, A.G.; Betekhtin, V.I.; Narykova, M.V.; Kvapilova, M.; Sklenicka, V. Influence of Cryo-Processing and Post-SPD Annealing on Creep Behavior of CP Titanium. Materials 2022, 15, 1646. https://doi.org/10.3390/ma15051646
Dvorak J, Kral P, Kadomtsev AG, Betekhtin VI, Narykova MV, Kvapilova M, Sklenicka V. Influence of Cryo-Processing and Post-SPD Annealing on Creep Behavior of CP Titanium. Materials. 2022; 15(5):1646. https://doi.org/10.3390/ma15051646
Chicago/Turabian StyleDvorak, Jiri, Petr Kral, Andrey G. Kadomtsev, Vladimir I. Betekhtin, Maria V. Narykova, Marie Kvapilova, and Vaclav Sklenicka. 2022. "Influence of Cryo-Processing and Post-SPD Annealing on Creep Behavior of CP Titanium" Materials 15, no. 5: 1646. https://doi.org/10.3390/ma15051646
APA StyleDvorak, J., Kral, P., Kadomtsev, A. G., Betekhtin, V. I., Narykova, M. V., Kvapilova, M., & Sklenicka, V. (2022). Influence of Cryo-Processing and Post-SPD Annealing on Creep Behavior of CP Titanium. Materials, 15(5), 1646. https://doi.org/10.3390/ma15051646

