Photoluminescence Spectroscopy of the InAsSb-Based p-i-n Heterostructure
Abstract
:1. Introduction
2. Materials and Methods
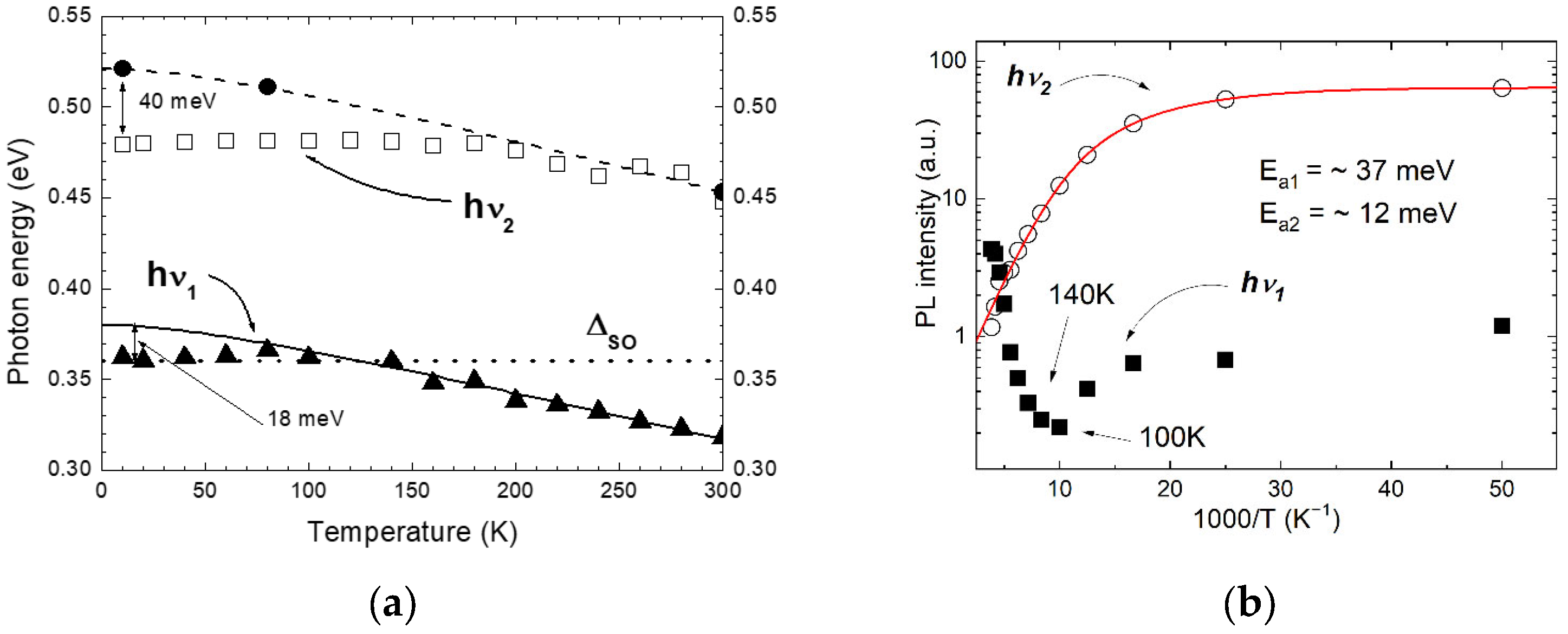
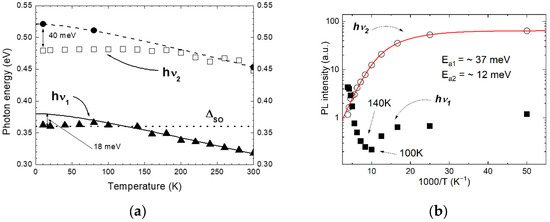
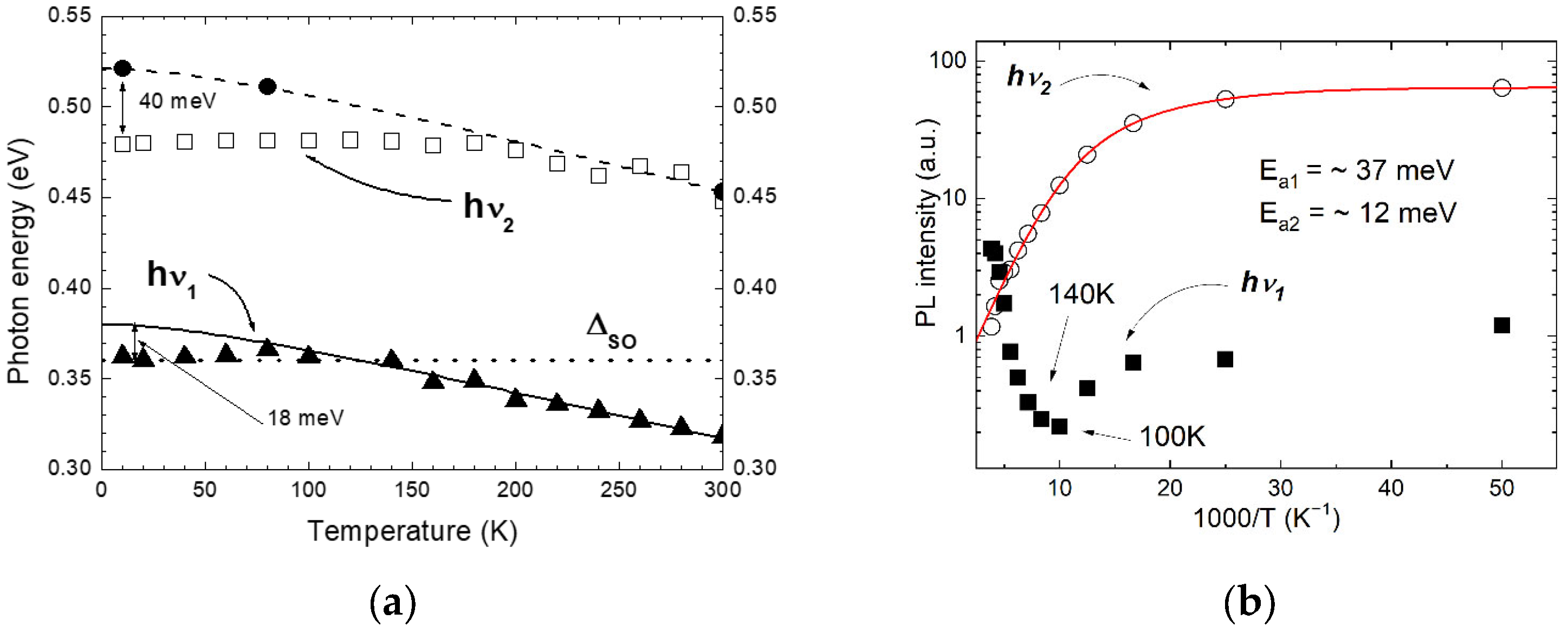
3. Results
4. Conclusions
Author Contributions
Funding
Institutional Review Board Statement
Informed Consent Statement
Data Availability Statement
Acknowledgments
Conflicts of Interest
References
- Gelmont, B. Auger recombination in diamond-like narrow-gap semiconductors. Phys. Lett. A 1978, 66, 323–324. [Google Scholar] [CrossRef]
- Takeshima, M. Enhancement of Auger recombination in semiconductors by electron-hole plasma interactions. Phys. Rev. B 1983, 28, 2039–2048. [Google Scholar] [CrossRef]
- Allen, J.W. Semiconductor lasers, G. P. Agrawal and N. K. Dutta. 2nd edn. Van Nostrand Reinhold, New York, 1993. ISBN 0 442 01102 4, £66.00. No. of pages 616. Adv. Mater. Opt. Electron. 1994, 4, 51. [Google Scholar] [CrossRef]
- Dyakonov, M.I.; Kachorovskii, V.Y. Nonthreshold Auger recombination in quantum wells. Phys. Rev. B 1994, 49, 17130–17138. [Google Scholar] [CrossRef] [PubMed]
- Motyka, M.; Dyksik, M.; Janiak, F.; Moiseev, K.D.; Misiewicz, J. The spin–orbit splitting band in InGaAsSb alloys lattice-matched to InAs. J. Phys. D Appl. Phys. 2014, 47, 285102. [Google Scholar] [CrossRef]
- Stringfellow, G.B.; Greene, P.E. Liquid Phase Epitaxial Growth of InAs1−xSbx on GaSb. J. Electrochem. Soc. 1971, 118, 805–810. [Google Scholar] [CrossRef]
- Lundqvist, S.; Kluczynski, P.; Weih, R.; Von Edlinger, M.; Nähle, L.; Fischer, M.; Bauer, A.; Höfling, S.; Koeth, J. Sensing of formaldehyde using a distributed feedback interband cascade laser emitting around 3493 nm. Appl. Opt. 2012, 51, 6009–6013. [Google Scholar] [CrossRef]
- Wang, C.; Sahay, P. Breath Analysis Using Laser Spectroscopic Techniques: Breath Biomarkers, Spectral Fingerprints, and Detection Limits. Sensors 2009, 9, 8230–8262. [Google Scholar] [CrossRef]
- Tittel, F.K.; Risby, T.H. Current status of midinfrared quantum and interband cascade lasers for clinical breath analysis. Opt. Eng. 2010, 49, 111123. [Google Scholar] [CrossRef]
- Sonnenfroh, D.M.; Wainner, R.T.; Allen, M.G.; Varner, R. Interband cascade laser–based sensor for ambient CH4. Opt. Eng. 2010, 49, 111118. [Google Scholar] [CrossRef] [Green Version]
- Alhodaib, A.; Noori, Y.J.; Carrington, P.J.; Sanchez, A.M.; Thompson, M.D.; Young, R.J.; Krier, A.; Marshall, A.R.J. Room-Temperature Mid-Infrared Emission from Faceted InAsSb Multi Quantum Wells Embedded in InAs Nanowires. Nano Lett. 2018, 18, 235–240. [Google Scholar] [CrossRef] [PubMed]
- Biefeld, R.; Kurtz, S.; Allerman, A. The metal-organic chemical vapor deposition growth and properties of InAsSb mid-infrared (3-6-/spl mu/m) lasers and LEDs. IEEE J. Sel. Top. Quantum Electron. 1997, 3, 739–748. [Google Scholar] [CrossRef]
- Keen, J.; Repiso, E.; Lu, Q.; Kesaria, M.; Marshall, A.R.J.; Krier, A. Electroluminescence and photoluminescence of type-II InAs/InAsSb strained-layer superlattices in the mid-infrared. Infrared Phys. Technol. 2018, 93, 375–380. [Google Scholar] [CrossRef]
- Romanov, V.V.; Baidakova, M.V.; Moiseev, K.D. On InAsSbP epitaxial layers with ultimate phosphorus content, lattice-matched with an InAs substrate. Semiconductors 2014, 48, 733–738. [Google Scholar] [CrossRef]
- Moiseev, K.D.; Romanov, V.V.; Kudryavtsev, Y.A. Features of an InAsSbP epilayer formation on an InAs support by metalorganic vapor phase epitaxy. Phys. Solid State 2016, 58, 2285–2289. [Google Scholar] [CrossRef]
- Andreev, I.A.; Afrailov, M.A.; Baranov, A.N.; Mikhailova, M.P.; Moiseev, K.D.; Timchenko, I.N.; Shestnev, V.E.; Umanskii, V.E.; Yakovlev, Y.P. Uncooled InAs/InAsSbP photodiodes. Sov. Tech. Phys. Lett. 1990, 16, 135–137. [Google Scholar]
- Il’Inskaya, N.; Karandashev, S.; Lavrov, A.; Matveev, B.; Remennyi, M.; Stus’, N.; Usikova, A. P-InAsSbP/p-InAs0.88Sb0.12/n-InAs0.88Sb0.12/n+-InAs PDs with a smooth p-n junction. Infrared Phys. Technol. 2018, 88, 223–227. [Google Scholar] [CrossRef]
- Romanov, V.V.; Ivanov, E.V.; Moiseev, K.D. Forming a Type-II Heterojunction in the InAsSb/InAsSbP Semiconductor Structure. Phys. Solid State 2020, 62, 2039–2044. [Google Scholar] [CrossRef]
- Motyka, M.; Sęk, G.; Misiewicz, J.; Bauer, A.; Dallner, M.; Höfling, S.; Forchel, A. Fourier Transformed Photoreflectance and Photoluminescence of Mid Infrared GaSb-Based Type II Quantum Wells. Appl. Phys. Express 2009, 2, 126505. [Google Scholar] [CrossRef]
- Firsov, D.D.; Komkov, O.S. Photomodulation fourier transform infrared spectroscopy of semiconductor structures: Features of phase correction and application of method. Tech. Phys. Lett. 2013, 39, 1071–1073. [Google Scholar] [CrossRef]
- Dyksik, M.; Motyka, M.; Sęk, G.; Misiewicz, J.; Dallner, M.; Weih, R.; Kamp, M.; Höfling, S. Submonolayer Uniformity of Type II InAs/GaInSb W-shaped Quantum Wells Probed by Full-Wafer Photoluminescence Mapping in the Mid-infrared Spectral Range. Nanoscale Res. Lett. 2015, 10, 402. [Google Scholar] [CrossRef] [Green Version]
- Chen, X.; Zhu, L.; Zhang, Y.; Zhang, F.; Wang, S.; Shao, J. Modulated Photoluminescence Mapping of Long-Wavelength Infrared InAs/GaSb Type-II Superlattice: In-Plane Optoelectronic Uniformity. Phys. Rev. Appl. 2021, 15, 044007. [Google Scholar] [CrossRef]
- Motyka, M.; Sęk, G.; Janiak, F.; Misiewicz, J.; Kłos, K.; Piotrowski, J. Fourier-transformed photoreflectance and fast differential reflectance of HgCdTe layers. The issues of spectral resolution and Fabry–Perot oscillations. Meas. Sci. Technol. 2011, 22, 125601. [Google Scholar] [CrossRef]
- Hosea, T.J.C.; Merrick, M.; Murdin, B.N. A new Fourier transform photo-modulation spectroscopic technique for narrow band-gap materials in the mid- to far-infra-red. Phys. Status Solidi 2005, 202, 1233–1243. [Google Scholar] [CrossRef]
- Shao, J.; Lu, W.; Yue, F.; Lü, X.; Huang, W.; Li, Z.; Guo, S.; Chu, J. Photoreflectance spectroscopy with a step-scan Fourier-transform infrared spectrometer: Technique and applications. Rev. Sci. Instrum. 2007, 78, 013111. [Google Scholar] [CrossRef] [PubMed]
- Moiseev, K.D.; Romanov, V.V. Determination of the InAs1-ySby/InAsSbP heterojunction band diagram in the composition range y < 0.2. Phys. Solid State 2021, 63, 475. [Google Scholar] [CrossRef]
- Levinshtein, M.; Rumyantsev, S.; Shur, M. Handbook Series on Semiconductor Parameters; World Scientific: Singapore, 1996. [Google Scholar]
- Voronina, T.I.; Lagunova, T.S.; Moiseev, K.D.; Rozov, A.E.; Sipovskaya, M.A.; Stepanov, M.V.; Sherstnev, V.V.; Yakovlev, Y.P. Electrical properties of epitaxial indium arsenide and narrow band solid solutions based on it. Semiconductors 1999, 33, 719–725. [Google Scholar] [CrossRef]
- Varshni, Y. Temperature dependence of the energy gap in semiconductors. Physica 1967, 34, 149–154. [Google Scholar] [CrossRef]
- Wu, C. Photoluminescence of high-quality GaSb grown from Ga- and Sb-rich solutions by liquid-phase epitaxy. J. Appl. Phys. 1982, 72, 4275–4280. [Google Scholar] [CrossRef]
- Grigoryev, M.M.; Ivanov, E.V.; Moiseev, K.D. Interfacial luminescence in an InAs/InAsSbP isotype type II heterojunction at room temperature. Semiconductors 2011, 45, 1334–1338. [Google Scholar] [CrossRef]
- Romanov, V.V.; Dement’Ev, P.A.; Moiseev, K.D. Effect of multicomponent InAsSbP matrix surface on formation of InSb quantum dots at MOVPE growth. Semiconductors 2016, 50, 910–914. [Google Scholar] [CrossRef]
- Romanov, V.V.; Ivanov, E.V.; Pivovarova, A.A.; Moiseev, K.D.; Yakovlev, Y.P. Long-Wavelength LEDs in the Atmospheric Transparency Window of 4.6–5.3 μm. Semiconductors 2020, 54, 253–257. [Google Scholar] [CrossRef]
- Mikhailova, M.P.; Rogachev, A.A.; Yassievich, I.N. Impact ionization and Auger recombination in InAs. Sov. Phys. Semicond. 1976, 10, 866–871. [Google Scholar]
- Vurgaftman, I.; Meyer, J.R.; Ram-Mohan, L.R. Band parameters for III–V compound semiconductors and their alloys. J. Appl. Phys. 2001, 89, 5815–5875. [Google Scholar] [CrossRef] [Green Version]
- Karouta, F.; Mani, H.; Bhan, J.; Hua, F.J.; Joullie, A. Croissance par épitaxie en phase liquide et caractérisation d’alliages Ga1-xIoxAsySb1-y à paramètre de maille accordé sur celui de GaSb. Rev. Phys. Appl. 1987, 22, 1459–1467. [Google Scholar] [CrossRef] [Green Version]
- Van Vechten, J.A.; Berolo, O.; Woolley, J.C. Spin-Orbit Splitting in Compositionally Disordered Semiconductors. Phys. Rev. Lett. 1972, 29, 1400–1403. [Google Scholar] [CrossRef]
- Motyka, M.; Janiak, F.; Sęk, G.; Misiewicz, J.; Moiseev, K.D. Temperature dependence of the energy gap and spin-orbit splitting in a narrow-gap InGaAsSb solid solution. Appl. Phys. Lett. 2012, 100, 211906. [Google Scholar] [CrossRef] [Green Version]
- Suchalkin, S.; Ludwig, J.; Belenky, G.; Laikhtman, B.; Kipshidze, G.; Lin, Y.; Shterengas, L.; Smirnov, D.; Luryi, S.; Sarney, W.; et al. Electronic properties of unstrained unrelaxed narrow gap InAsxSb1−x alloys. J. Phys. D Appl. Phys. 2016, 49, 105101. [Google Scholar] [CrossRef] [Green Version]






| Binary Compound | EG, eV (300 K) | EG, eV (77 K) | EG, eV (4 K) | χ, eV | ΔSO, eV |
|---|---|---|---|---|---|
| InAs | 0.354 | 0.408 | 0.417 | −4.9 | 0.39 |
| InSb | 0.175 | 0.225 | 0.235 | −4.59 | 0.81 |
| InP | 1.344 | 1.414 | 1.421 | −4.38 | 0.11 |
Publisher’s Note: MDPI stays neutral with regard to jurisdictional claims in published maps and institutional affiliations. |
© 2022 by the authors. Licensee MDPI, Basel, Switzerland. This article is an open access article distributed under the terms and conditions of the Creative Commons Attribution (CC BY) license (https://creativecommons.org/licenses/by/4.0/).
Share and Cite
Smołka, T.; Motyka, M.; Romanov, V.V.; Moiseev, K.D. Photoluminescence Spectroscopy of the InAsSb-Based p-i-n Heterostructure. Materials 2022, 15, 1419. https://doi.org/10.3390/ma15041419
Smołka T, Motyka M, Romanov VV, Moiseev KD. Photoluminescence Spectroscopy of the InAsSb-Based p-i-n Heterostructure. Materials. 2022; 15(4):1419. https://doi.org/10.3390/ma15041419
Chicago/Turabian StyleSmołka, Tristan, Marcin Motyka, Vyacheslav Vital’evich Romanov, and Konstantin Dmitrievich Moiseev. 2022. "Photoluminescence Spectroscopy of the InAsSb-Based p-i-n Heterostructure" Materials 15, no. 4: 1419. https://doi.org/10.3390/ma15041419
APA StyleSmołka, T., Motyka, M., Romanov, V. V., & Moiseev, K. D. (2022). Photoluminescence Spectroscopy of the InAsSb-Based p-i-n Heterostructure. Materials, 15(4), 1419. https://doi.org/10.3390/ma15041419

