Mechanism of BN-Promoting Acicular Ferrite Nucleation to Improve Heat-Affected Zone Toughness of V-N-Ti Microalloyed Offshore Steel
Abstract
1. Introduction
2. Materials and Methods
2.1. Materials
2.2. Welding Thermal Simulation Experiment
2.3. Microstructural Characterization
2.4. CGHAZ Toughness
3. Results
3.1. Effect of t8/5 on Microstructure in Simulated CGHAZ
3.2. Effect of Heat Input on CGHAZ Toughness
3.3. Nucleation of Intragranular Ferrite in CGHAZ
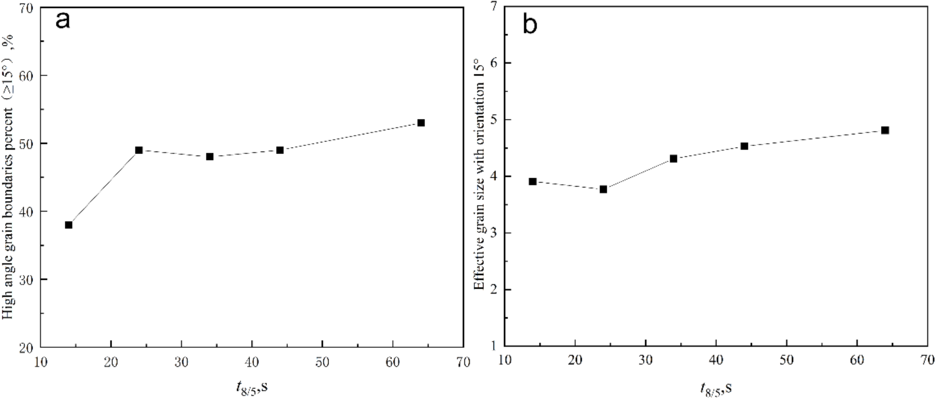
3.4. Relationship between Microstructural Characteristics and Toughness
4. Discussion
4.1. Effect of Boron on Intragranular Ferrite Nucleation in Simulated CGHAZ
4.2. Influence of Effective Grain Size on Low Temperature Toughness of CGHAZ
4.3. Effect of Effective Grain Size on Critical Cleavage Stress of CGHAZ
5. Conclusions
- (1)
- The impact energy of the CGHAZ at −40 °C grew initially and then remained constant at about 125 J in the range of t8/5 of 24 s–44 s, then reduced to 79 J when t8/5 was raised to 64 s.
- (2)
- The microstructural parameters controlling CGHAZ toughness were effective grain at various welding heat inputs.
- (3)
- The production of acicular ferrite was facilitated by the (Ti,V)(C,N)-BN and BN particles, which minimized the degrading effect of carbon on CGHAZ toughness.
Author Contributions
Funding
Institutional Review Board Statement
Informed Consent Statement
Data Availability Statement
Conflicts of Interest
References
- Tervo, H.; Kaijalainen, A.; Pallaspuro, S.; Anttila, S.; Mehtonen, S.; Porter, D.; Kömi, J. Low-temperature toughness properties of 500 MPa offshore steels and their simulated coarse-grained heat-affected zones. Mater. Sci. Eng. A 2020, 773, 138719. [Google Scholar] [CrossRef]
- Liu, D.; Li, Q.; Emi, T. Microstructure and mechanical properties in hot-rolled extra high-yield-strength steel plates for offshore structure and shipbuilding. Metall. Mater. Trans. A 2011, 42, 1349–1361. [Google Scholar] [CrossRef]
- Sun, X.J.; Yuan, S.F.; Xie, Z.J.; Dong, L.L.; Shang, C.J.; Misrac, R.D.K. Microstructure-property relationship in a high strength-high toughness combination ultra-heavy gauge offshore plate steel: The significance of multiphase microstructure. Mater. Sci. Eng. A 2017, 689, 212–219. [Google Scholar] [CrossRef]
- Poberezhnyi, L.; Maruschak, P.; Prentkovskis, O. Fatigue and failure of steel of offshore gas pipeline after the laying operation. Arch. Civ. Mech. Eng. 2016, 16, 524–536. [Google Scholar] [CrossRef]
- Wei, D.; Qin, X.M. Development of High Heat Input Welding Offshore Steel as Normalized Condition. In HSLA Steels 2015, Microalloying 2015 & Offshore Engineering Steels 2015; Springer: Berlin/Heidelberg, Germany, 2016; pp. 503–507. [Google Scholar]
- Willms, R. High strength steel for steel constructions. In Proceedings of the Nordic Steel Construction Conference, Malmo, Sweden, 2–4 September 2009; p. 597. [Google Scholar]
- Shi, Z.R.; Zhao, Q.K.; Liu, D.H.; Wang, T.Q.; Chai, X.Y.; Luo, X.B.; Chai, F. Study on Microstructure and Toughness of Simulated Coarse Grain Heated Zone in Normalized V-N-Ti and Nb-V-Ti Marine Steel. Chin. J. Mater. Res. 2021, 34, 939–948. [Google Scholar]
- Jing, T.F.; Wang, M.J.; Gao, M.; Lin, Z.H.; Guo, J.R.; Hao, G.Z. SHCCT Diagram of 09MnVTiN Steel. Iron Steel. 1993, 28, 45–53. [Google Scholar]
- Hu, J.; Du, L.X.; Wang, J.J. Effect of V on Intragranular ferrite nucleation of high Ti Bearing steel. Scr. Mater. 2013, 68, 953–956. [Google Scholar] [CrossRef]
- Zhang, L.; Kannengiesser, T. Austenite Grain growth and microstructure control in simulated heat affected zones of microalloyed HSLA steel. Mater. Sci. Eng. A 2014, 613, 326–335. [Google Scholar] [CrossRef]
- Shi, Z.R.; Yang, C.F.; Wang, R.Z.; Su, H.; Chai, F.; Wang, Q.F. Effect of nitrogen on the microstructures and mechanical properties in simulated CGHAZ of vanadium microalloyed steel varied with different heat inputs. Mater. Sci. Eng. A 2016, 649, 270–281. [Google Scholar] [CrossRef]
- Shi, Z.R.; Wang, J.J.; Chai, X.Y.; Chen, G.; Wang, R.Z. Effect of boron on intragranular ferrite nucleation mechanism in coarse grain heat-affected zone of high-nitrogen steel. Mater. Lett. 2020, 258, 126819. [Google Scholar] [CrossRef]
- Ohno, Y.; Okamura, U.; Matsuda, S.; Yamamoto, K.; Mukai, T. Characteristics of HAZ microstructure in Ti-B treated steel for large heat input welding. Tetsu-to-Hagané 1987, 73, 1010–1017. [Google Scholar] [CrossRef]
- Grange, R.A.; Mitchell, J.B. On the hardenability effect of boron in steel. Trans. Am. Soc. Metals. 1961, 53, 157–185. [Google Scholar]
- Maitrepierre, P.; Thivellier, D.; Tricot, R. Influence of boron on the decomposition of austenite in low carbon alloyed steels. Metall. Mater. Sci. 1975, 6, 287–301. [Google Scholar] [CrossRef]
- Yamamoto, K.; Hasegawa, T.; Takamura, J. Effect of boron on intragranular ferrite formation in Ti-oxide bearing steels. ISIJ Int. 1996, 36, 80–86. [Google Scholar] [CrossRef]
- Wu, D.Y.; Xiao, F.R.; Wu, L.L.; Sun, M.Y.; Liao, B. Quantitative research on the role of large precipitates in V–Ti micro-alloyed steel during dynamic transformation. Acta. Metall. Sin-Engl. 2015, 28, 77–82. [Google Scholar] [CrossRef][Green Version]
- Tomita, Y.; Saito, N.; Tsuzuki, T.; Tokunagai, Y.; Okamot, K. Improvement in HAZ toughness of steel by TiN-MnS addition. ISIJ Int. 1994, 34, 829–835. [Google Scholar] [CrossRef]
- Funakoshi, T.; Tanaka, T.; Ueda, S.; Ishikawa, M.; Koshizuka, N.; Kobayas, K. Improvement in microstructure and toughness of large heat-input weld bond of high strength steel due to addition of rare earth metals and boron. Trans. Iron Steel Inst. Jpn. 1977, 17, 419–427. [Google Scholar] [CrossRef]
- Eghbali, B. EBSD study on the formation of fine ferrite grains in plain carbon steel during warm deformation. Mater. Lett. 2007, 61, 4006–4010. [Google Scholar] [CrossRef]
- Hanamura, T.; Yin, F.; Nagai, K. Ductile-brittle transition temperature of ultrafine ferrite/cementite microstructure in a low carbon steel controlled by effective grain size. ISIJ Int. 2004, 44, 610–617. [Google Scholar] [CrossRef]
- Lan, L.; Qiu, C.; Song, H.; Zhao, D. Correlation of martensite–austenite constituent and cleavage crack initiation in welding heat affected zone of low carbon bainitic steel. Mater. Lett. 2014, 125, 86–88. [Google Scholar] [CrossRef]
- Curry, D.A.; Knott, J.F. Effects of microstructure on cleavage fracture stress in steel. Metal Sci. 1978, 12, 511–514. [Google Scholar] [CrossRef]

















| Steel | C | Si | Mn | S | P | V | Ti | B | N |
|---|---|---|---|---|---|---|---|---|---|
| A | 0.14–0.17 | 0.20 | 1.50 | 0.002 | 0.005 | 0.04–0.10 | 0.005–0.015 | 5–30 ppm | 50–100 ppm |
| B | 0.14–0.17 | 0.20 | 1.50 | 0.002 | 0.005 | 0.04–0.10 | 0.005–0.015 | / | 50–100 ppm |
| Parameters | Values |
|---|---|
| Simulated plate thickness, mm | 80 |
| Density, g/cm3 | 7.8 |
| Specific heat, J/g·°C | 0.7 |
| Thermal conductivity, J/cm·s·°C | 0.5 |
| Heating rate, °C/s | 100 °C |
| Peak temperature, °C | 1350 |
| Holding time, s | 1 |
| t8/5, s | 14, 24, 34, 44, 64 |
| Post-heat temperature, °C | 25 |
| t8/5 | Average Diameter/μm | Maximum Diameter/μm | Area Fraction/% |
|---|---|---|---|
| 14 s | 0.7 | 1 | 5.3 |
| 24 s | 1.1 | 1.4 | 3.1 |
| 34 s | 1 | 1.3 | 2.7 |
| 44 s | 0 | 0 | 0 |
| 64 s | 0 | 0 | 0 |
Publisher’s Note: MDPI stays neutral with regard to jurisdictional claims in published maps and institutional affiliations. |
© 2022 by the authors. Licensee MDPI, Basel, Switzerland. This article is an open access article distributed under the terms and conditions of the Creative Commons Attribution (CC BY) license (https://creativecommons.org/licenses/by/4.0/).
Share and Cite
Shi, Z.; Pan, T.; Li, Y.; Luo, X.; Chai, F. Mechanism of BN-Promoting Acicular Ferrite Nucleation to Improve Heat-Affected Zone Toughness of V-N-Ti Microalloyed Offshore Steel. Materials 2022, 15, 1420. https://doi.org/10.3390/ma15041420
Shi Z, Pan T, Li Y, Luo X, Chai F. Mechanism of BN-Promoting Acicular Ferrite Nucleation to Improve Heat-Affected Zone Toughness of V-N-Ti Microalloyed Offshore Steel. Materials. 2022; 15(4):1420. https://doi.org/10.3390/ma15041420
Chicago/Turabian StyleShi, Zhongran, Tao Pan, Yu Li, Xiaobing Luo, and Feng Chai. 2022. "Mechanism of BN-Promoting Acicular Ferrite Nucleation to Improve Heat-Affected Zone Toughness of V-N-Ti Microalloyed Offshore Steel" Materials 15, no. 4: 1420. https://doi.org/10.3390/ma15041420
APA StyleShi, Z., Pan, T., Li, Y., Luo, X., & Chai, F. (2022). Mechanism of BN-Promoting Acicular Ferrite Nucleation to Improve Heat-Affected Zone Toughness of V-N-Ti Microalloyed Offshore Steel. Materials, 15(4), 1420. https://doi.org/10.3390/ma15041420
