Free Vibration Analysis of Spinning Sandwich Annular Plates with Functionally Graded Graphene Nanoplatelet Reinforced Porous Core
Abstract
:1. Introduction
2. Theoretical Formulations
2.1. Modeling
2.2. Material Properties
2.3. Energy Functions
2.4. Equations of Motion
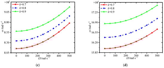
3. Results and Discussions
3.1. Convergence and Comparison Study
3.2. Parametric Analysis
4. Conclusions
- (1)
- thinner faces could be adopted in the present sandwich structure to achieve better mechanical performance.
- (2)
- setting more pores and GPLs around the surfaces of the core is effective in enhancing the structural stiffness.
- (3)
- adding a few GPLs into the core plays a very important role in obtaining greater enhancement.
- (4)
- better enhance effect occurs when thinner GPLs with larger surface areas are applied to be added into the core.
- (5)
- larger porosity coefficient can result in light weight and weaken the structural stiffness.
Author Contributions
Funding
Institutional Review Board Statement
Informed Consent Statement
Data Availability Statement
Conflicts of Interest
Appendix A
References
- Rdzanek, W.P.; Wiciak, J.; Pawelczyk, M. Analysis of Sound Radiation from a Vibrating Elastically Supported Annular Plate Using Compatibility Layer and Radial Polynomials. J. Sound Vib. 2022, 519, 116593. [Google Scholar] [CrossRef]
- Quaegebeur, S.; Chouvion, B.; Thouverez, F. Nonlinear Dynamic Analysis of Three-Dimensional Bladed-Disks with Frictional Contact Interfaces Based on Cyclic Reduction Strategies. Int. J. Solids Struct. 2022, 236, 111277. [Google Scholar] [CrossRef]
- Prabith, K.; Praveen Krishna, I.R. Response and Stability Analysis of a Two-Spool Aero-Engine Rotor System Undergoing Multi-Disk Rub-Impact. Int. J. Mech. Sci. 2022, 213, 106861. [Google Scholar] [CrossRef]
- Mirjavadi, S.S.; Forsat, M.; Barati, M.R.; Hamouda, A.M.S. Investigating Nonlinear Forced Vibration Behavior of Multi-Phase Nanocomposite Annular Sector Plates Using Jacobi Elliptic Functions. Steel Compos. Struct. 2020, 36, 87–101. [Google Scholar]
- Liew, K.M.; Liu, F.-L. Differential Quadrature Method for Vibration Analysis of Shear Deformable Annular Sector Plates. J. Sound Vib. 2000, 230, 335–356. [Google Scholar] [CrossRef]
- Pan, W.; Ling, L.; Qu, H.; Wang, M. Coupling Dynamic Behavior of Aero-Engine Rotor System Caused by Rolling, Pitching and Yawing Maneuver Loads. Appl. Math. Model. 2022, 102, 726–747. [Google Scholar] [CrossRef]
- Yang, F.; Pei, Y.-C. A Thermal Stress Stiffening Method for Vibration Suppression of Rotating Flexible Disk with Mass-Spring-Damper System Loaded. Int. J. Mech. Sci. 2022, 213, 106860. [Google Scholar] [CrossRef]
- Maretic, R.; Glavardanov, V.; Milosevic-Mitic, V. Vibration and Stability of Rotating Annular Disks Composed of Different Materials. Arch. Appl. Mech. 2015, 85, 117–131. [Google Scholar] [CrossRef]
- Kang, N.; Raman, A. Vibrations and Stability of a Flexible Disk Rotating in a Gas-Filled Enclosure—Part 2: Experimental Study. J. Sound Vib. 2006, 296, 676–689. [Google Scholar] [CrossRef]
- Kang, J.-H. Axisymmetric Vibration of Rotating Annular Plate with Variable Thickness Subjected to Tensile Centrifugal Body Force. Int. J. Str. Stab. Dyn. 2017, 17, 1750101. [Google Scholar] [CrossRef]
- Rao, L.B.; Rao, C.K. Frequency Analysis of Annular Plates with Inner and Outer Edges Elastically Restrained and Resting on Winkler Foundation. Int. J. Mech. Sci. 2014, 81, 184–194. [Google Scholar] [CrossRef]
- Chen, H.; Wu, R.; Xie, L.; Du, J.; Yi, L.; Huang, B.; Zhang, A.; Wang, J. High-Frequency Vibrations of Circular and Annular Plates with the Mindlin Plate Theory. Arch. Appl. Mech. 2020, 90, 1025–1038. [Google Scholar] [CrossRef]
- Tan, P.; Nie, G.J. Free and Forced Vibration of Variable Stiffness Composite Annular Thin Plates with Elastically Restrained Edges. Compos. Struct. 2016, 149, 398–407. [Google Scholar] [CrossRef]
- Amini, M.H.; Soleimani, M.; Altafi, A.; Rastgoo, A. Effects of Geometric Nonlinearity on Free and Forced Vibration Analysis of Moderately Thick Annular Functionally Graded Plate. Mech. Adv. Mater. Struct. 2013, 20, 709–720. [Google Scholar] [CrossRef]
- Wang, C.Y. Fundamental Frequencies of Annular Plates with Movable Edges. J. Sound Vib. 2006, 290, 524–528. [Google Scholar] [CrossRef]
- Dong, Y.H.; Li, Y.H.; Chen, D.; Yang, J. Vibration Characteristics of Functionally Graded Graphene Reinforced Porous Nanocomposite Cylindrical Shells with Spinning Motion. Compos. Part B Eng. 2018, 145, 1–13. [Google Scholar] [CrossRef]
- Ansari, R.; Hassani, R.; Gholami, R.; Rouhi, H. Free Vibration Analysis of Postbuckled Arbitrary-Shaped FG-GPL-Reinforced Porous Nanocomposite Plates. Thin-Walled Struct. 2021, 163, 107701. [Google Scholar] [CrossRef]
- Barati, M.R.; Zenkour, A.M. Vibration Analysis of Functionally Graded Graphene Platelet Reinforced Cylindrical Shells with Different Porosity Distributions. Mech. Adv. Mater. Struct. 2019, 26, 1580–1588. [Google Scholar] [CrossRef]
- Twinkle, C.M.; Pitchaimani, J. Free Vibration and Stability of Graphene Platelet Reinforced Porous Nano-Composite Cylindrical Panel: Influence of Grading, Porosity and Non-Uniform Edge Loads. Eng. Struct. 2021, 230, 111670. [Google Scholar]
- Chai, Q.; Wang, Y.Q. Traveling Wave Vibration of Graphene Platelet Reinforced Porous Joined Conical-Cylindrical Shells in a Spinning Motion. Eng. Struct. 2022, 252, 113718. [Google Scholar] [CrossRef]
- Zhao, T.Y.; Ma, Y.; Zhang, H.Y.; Pan, H.G.; Cai, Y. Free Vibration Analysis of a Rotating Graphene Nanoplatelet Reinforced Pre-Twist Blade-Disk Assembly with a Setting Angle. Appl. Math. Model. 2021, 93, 578–596. [Google Scholar] [CrossRef]
- Zhao, T.Y.; Jiang, L.P.; Pan, H.G.; Yang, J.; Kitipornchai, S. Coupled Free Vibration of a Functionally Graded Pre-Twisted Blade-Shaft System Reinforced with Graphene Nanoplatelets. Compos. Struct. 2021, 262, 113362. [Google Scholar] [CrossRef]
- Zhao, T.Y.; Cui, Y.S.; Pan, H.G.; Yuan, H.Q.; Yang, J. Free Vibration Analysis of a Functionally Graded Graphene Nanoplatelet Reinforced Disk-Shaft Assembly with Whirl Motion. Int. J. Mech. Sci. 2021, 197, 106335. [Google Scholar] [CrossRef]
- Zhao, T.Y.; Cui, Y.S.; Wang, Y.Q.; Pan, H.G. Vibration Characteristics of Graphene Nanoplatelet Reinforced Disk-Shaft Rotor with Eccentric Mass. Mech. Adv. Mater. Struct. 2021, 1–21. [Google Scholar] [CrossRef]
- Adab, N.; Arefi, M.; Amabili, M. A Comprehensive Vibration Analysis of Rotating Truncated Sandwich Conical Microshells Including Porous Core and GPL-Reinforced Face-Sheets. Compos. Struct. 2022, 279, 114761. [Google Scholar] [CrossRef]
- Saidi, A.R.; Bahaadini, R.; Majidi-Mozafari, K. On Vibration and Stability Analysis of Porous Plates Reinforced by Graphene Platelets under Aerodynamical Loading. Compos. Part B Eng. 2019, 164, 778–799. [Google Scholar] [CrossRef]
- Li, Q.; Wu, D.; Chen, X.; Liu, L.; Yu, Y.; Gao, W. Nonlinear Vibration and Dynamic Buckling Analyses of Sandwich Functionally Graded Porous Plate with Graphene Platelet Reinforcement Resting on Winkler–Pasternak Elastic Foundation. Int. J. Mech. Sci. 2018, 148, 596–610. [Google Scholar] [CrossRef]
- Zhou, X.; Wang, Y.; Zhang, W. Vibration and Flutter Characteristics of GPL-Reinforced Functionally Graded Porous Cylindrical Panels Subjected to Supersonic Flow. Acta Astronaut. 2021, 183, 89–100. [Google Scholar] [CrossRef]
- Gao, K.; Gao, W.; Chen, D.; Yang, J. Nonlinear Free Vibration of Functionally Graded Graphene Platelets Reinforced Porous Nanocomposite Plates Resting on Elastic Foundation. Compos. Struct. 2018, 204, 831–846. [Google Scholar] [CrossRef]
- Baghlani, A.; Najafgholipour, M.A.; Khayat, M. The Influence of Mechanical Uncertainties on the Free Vibration of Functionally Graded Graphene-Reinforced Porous Nanocomposite Shells of Revolution. Eng. Struct. 2021, 228, 111356. [Google Scholar] [CrossRef]
- Anamagh, M.R.; Bediz, B. Free Vibration and Buckling Behavior of Functionally Graded Porous Plates Reinforced by Graphene Platelets Using Spectral Chebyshev Approach. Compos. Struct. 2020, 253, 112765. [Google Scholar] [CrossRef]
- Anirudh, B.; Ganapathi, M.; Anant, C.; Polit, O. A Comprehensive Analysis of Porous Graphene-Reinforced Curved Beams by Finite Element Approach Using Higher-Order Structural Theory: Bending, Vibration and Buckling. Compos. Struct. 2019, 222, 110899. [Google Scholar] [CrossRef]
- Kitipornchai, S.; Chen, D.; Yang, J. Free vibration and elastic buckling of functionally graded porous beams reinforced by graphene platelets. Mater. Des. 2017, 116, 656–665. [Google Scholar] [CrossRef]
- Zhao, S.Y.; Zhao, Z.; Yang, Z.C.; Ke, L.L.; Kitipornchai, S.; Yang, J. Functionally graded graphene reinforced composite structures: A review. Eng. Struct. 2020, 210, 110339. [Google Scholar] [CrossRef]
- D’Angelo, C.; Mote, C.D. Natural Frequencies of A Thin Disk, Clamped By Thick Collars With Friction At The Contacting Surfaces, Spinning At High Rotation Speed. J. Sound Vib. 1993, 168, 1–14. [Google Scholar] [CrossRef]
















| Parameters | Value |
|---|---|
| Ra | 0.5 m |
| Rb | 1 m |
| h | 0.02 m |
| k | 0.8 |
| EGPL | 1010 GPa |
| ρGPL | 1062.5 kg/m3 |
| μGPL | 0.186 |
| EM | 68.3 GPa |
| Ef | 68.3 GPa |
| ρM | 2689.8 kg/m3 |
| ρf | 2689.8 kg/m3 |
| μM | 0.34 |
| μf | 0.34 |
| WGPL | 0.67% |
| lc/tc | 100 |
| Lc/wc | 2 |
| ec0 | 0.1 |
| Frequency (rad/s) | n = 4 | n = 5 | n = 6 | n = 7 |
|---|---|---|---|---|
| First | 892.13 | 892.06 | 892.02 | 892.01 |
| Second | 3518.88 | 3518.56 | 3518.44 | 3518.36 |
| Third | 8955.60 | 8954.89 | 8954.70 | 8954.58 |
| Fourth | 17,039.40 | 17,035.83 | 17,035.43 | 17,035.32 |
| Frequency (Hz) | Ne = 1440 | Ne = 4000 | Ne = 5760 | Ne = 7840 |
|---|---|---|---|---|
| First | 140.96 | 140.82 | 140.80 | 140.79 |
| Second | 555.15 | 551.85 | 551.29 | 550.95 |
| Third | 1421.00 | 1395.70 | 1391.50 | 1388.90 |
| Fourth | 2728.30 | 2630.20 | 2613.90 | 2604.10 |
| Frequency | Present (Hz) | FE (Hz) | Error |
|---|---|---|---|
| First | 141.97 | 140.79 | 0.84% |
| Second | 559.98 | 550.95 | 1.64% |
| Third | 1425.18 | 1388.90 | 2.61% |
| Fourth | 2711.27 | 2604.10 | 4.12% |
| Frequency | Present (Hz) | Experiment (Hz) | Error |
|---|---|---|---|
| First | 38.95 | 37.19 ± 0.29 | 4.73% |
| Second | 265.35 | 262.38 ± 1.42 | 1.01% |
| Parameter | Value |
|---|---|
| Ra | 178 mm |
| Rb | 53.35 mm |
| h | 0.775 mm |
| E | 200 GPa |
| ρ | 7840 kg/m3 |
| μ | 0.3 |
Publisher’s Note: MDPI stays neutral with regard to jurisdictional claims in published maps and institutional affiliations. |
© 2022 by the authors. Licensee MDPI, Basel, Switzerland. This article is an open access article distributed under the terms and conditions of the Creative Commons Attribution (CC BY) license (https://creativecommons.org/licenses/by/4.0/).
Share and Cite
Huang, T.; Ma, Y.; Zhao, T.; Yang, J.; Wang, X. Free Vibration Analysis of Spinning Sandwich Annular Plates with Functionally Graded Graphene Nanoplatelet Reinforced Porous Core. Materials 2022, 15, 1328. https://doi.org/10.3390/ma15041328
Huang T, Ma Y, Zhao T, Yang J, Wang X. Free Vibration Analysis of Spinning Sandwich Annular Plates with Functionally Graded Graphene Nanoplatelet Reinforced Porous Core. Materials. 2022; 15(4):1328. https://doi.org/10.3390/ma15041328
Chicago/Turabian StyleHuang, Tianhao, Yu Ma, Tianyu Zhao, Jie Yang, and Xin Wang. 2022. "Free Vibration Analysis of Spinning Sandwich Annular Plates with Functionally Graded Graphene Nanoplatelet Reinforced Porous Core" Materials 15, no. 4: 1328. https://doi.org/10.3390/ma15041328
APA StyleHuang, T., Ma, Y., Zhao, T., Yang, J., & Wang, X. (2022). Free Vibration Analysis of Spinning Sandwich Annular Plates with Functionally Graded Graphene Nanoplatelet Reinforced Porous Core. Materials, 15(4), 1328. https://doi.org/10.3390/ma15041328

