Effect of the Flame Retardants and Glass Fiber on the Polyamide 66/Polyphenylene Oxide Composites
Abstract
:1. Introduction
2. Experimental Methods
2.1. Materials
2.2. Preparation of PA66/PPO Composite
2.3. Characterization of PA66/PPO Composites
3. Results
3.1. Flame Retardant Performance of the PA66/PPO Composites
3.2. Mechanical Properties of PA66/PPO Composites
3.3. Mechanical Properties of PA66/PPO/GF Composites
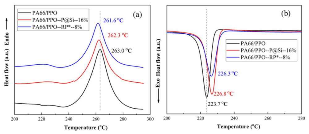
3.4. Thermal Analysis
4. Conclusions
- P@Si and RP* Flame retardants effectively improved the flame resistance of the PA66/PPO composites, and the LOI value increased linearly with the increasing contents of the P@Si and RP* flame retardants. However, the mechanical performance of the PA66/PPO composites was reduced due to the transition from a ductile fracture mode to a brittle fracture mode.
- The addition of GF strengthened the mechanical properties of PA66/PPO composites. Although the mechanical properties of the PA66/PPO/GF composites containing P@Si and RP* flame retardants were reduced, these properties were higher than those of the PA66/PPO composites without GF. In addition, GF improved the HDT of PA66/PPO composites.
- The maximum decomposition temperatures of PA66/PPO/GF composites were improved, and their maximum mass loss rates were reduced, indicating that the PA66/PPO/GF–P@Si–16% and PA66/PPO/GF–RP*–8% composites had excellent flame-retardant effects.
Author Contributions
Funding
Institutional Review Board Statement
Informed Consent Statement
Data Availability Statement
Conflicts of Interest
References
- Tol, R.T.; Groeninckx, G.; Vinckier, I.; Moldenaers, P.; Mewis, J. Phase morphology and stability of co-continuous (PPE/PS)/PA6 and PS/PA6 blends: Effect of rheology and reactive compatibilization. Polymer 2004, 45, 2587–2601. [Google Scholar] [CrossRef]
- Jana, S.C.; Patel, N.; Dharaiya, D. Compatibilization of PBT–PPE blends using low molecular weight epoxy. Polymer 2001, 42, 8681–8693. [Google Scholar] [CrossRef]
- Chiang, C.R.; Chang, F.C. Polymer blends of polyamide-6 and poly (phenylene oxide) compatibilized by styrene-co-glycidyl methacrylate. J. Appl. Polym. Sci. 1996, 61, 2411–2421. [Google Scholar] [CrossRef]
- Pan, Y.; Song, L.; Wang, W.; Zhao, H. Polydimethylsiloxane wrapped aluminum diethylphosphinate for enhancing the flame retardancy of polyamide 6. J. Appl. Polym. Sci. 2020, 137, 49027. [Google Scholar] [CrossRef]
- Fu, J.H.; Chen, X.D.; Xu, Q.J.; Wang, Y.J.; Wang, X.J. The Compatibilization and Toughening Modification of PPO/PA Alloy. China Plast. Ind. 2014, 42, 36–39. (In Chinese) [Google Scholar]
- Li, Y.; Liu, K.; Xiao, R. Preparation and characterization of flame-retarded polyamide 66 with melamine cyanurate by in situ polymerization. Macromol. Res. 2017, 25, 779–785. [Google Scholar] [CrossRef]
- Li, L.; Li, B.; Tang, F. Influence of maleic anhydride-grafted EPDM and flame retardant on interfacial interaction of glass fiber reinforced PA-66. Eur. Polym. J. 2007, 43, 2604–2611. [Google Scholar] [CrossRef]
- Zhan, Z.; Xu, M.; Li, B. Synergistic effects of sepiolite on the flame retardant properties and thermal degradation behaviors of polyamide 66/aluminum diethylphosphinate composites. Polym. Degrad. Stab. 2015, 117, 66–74. [Google Scholar] [CrossRef]
- Jeon, H.K.; Feist, B.J.; Koh, S.B.; Chang, K.; Macosko, C.W.; Dion, R.P. Reactively formed block and graft copolymers as compatibilizers for polyamide 66/PS blends. Polymer 2004, 45, 197–206. [Google Scholar] [CrossRef]
- Tang, W.; Guo, X.; Li, D.; Zhu, E.; Yuan, H. Simultaneous toughening of PPO/HIPS/glass fiber reinforced composites with thermoplastic rubbers. J. Appl. Polym. Sci. 2014, 131, 40299. [Google Scholar] [CrossRef]
- Wu, S.J.; Lin, T.K.; Shyu, S.S. Cure behavior, morphology, and mechanical properties of the melt blends of epoxy with polyphenylene oxide. J. Appl. Polym. Sci. 2015, 75, 26–34. [Google Scholar] [CrossRef]
- Ran, J.; Lai, X.; Li, H.; Zeng, X. Remarkable enhancement of mechanical and tribological properties of polyamide 46/polyphenylene oxide alloy by polyurethane-coated carbon fiber. High Perform. Polym. 2019, 31, 1122–1131. [Google Scholar] [CrossRef]
- Ahn, S.; Lee, J.C.; Kim, K.Y. Preparation and Characterization of Glass-Fiber-Reinforced Modified Polyphenylene Oxide by a Direct Fiber Feeding Extrusion Process. Appl. Sci. 2021, 11, 10266. [Google Scholar] [CrossRef]
- Son, Y.; Lee, S. One step method for fabrication of PPO/PA-66/elastomer blends. Polym. Bull. 2006, 56, 267–273. [Google Scholar] [CrossRef]
- Zhang, Y.T.; Li, Y.; Li, L.; Qu, X.W. The Study on the Preparation and Properties of PPO/PA66 Alloy with a New Type of Compatibtlizer B. Key Eng. Mater. 2012, 501, 99–103. [Google Scholar] [CrossRef]
- Li, W.; Yao, Z.; Yao, R.; Li, X.; Liu, S. Effect of pre-irradiation PPO-grafted maleic anhydride on structure and properties of PPO-g-MAH/PA66 blends. Radiat. Eff. Defects Solids 2014, 169, 344–352. [Google Scholar] [CrossRef]
- Zhang, Z.; Cai, K.; Liu, S.; Guo, W.; Zhang, B.; Yang, M.; Liu, W. The effect of HIPS-g-MAH on the mechanical properties of PA66/PPO alloy. Polym. Bull. 2021, 2021, 1–13. [Google Scholar] [CrossRef]
- Long, L.; Zhou, W.; Xiang, Y.; Li, J.; Huang, S.; Qin, S.; Xu, G.M.; Yu, J. Function of the aryl group in bis DOPO phosphonate on reducing fire hazards of polyamide 6 composites. J. Appl. Polym. Sci. 2020, 137, 49188. [Google Scholar] [CrossRef]
- Zhu, J.; Shentu, X.; Xu, X.; Zheng, A.; Guan, Y.; Wei, D. Preparation of graphene oxide modified glass fibers and their application in flame retardant polyamide 6. Polym. Adv. Technol. 2020, 31, 1709–1718. [Google Scholar] [CrossRef]
- Zhou, D.F.; Qi, F.; Chen, X.L.; Guo, J.B.; Zuo, X.L.; Shao, H.J. Effect of Brominated Epoxy Resins on the Thermal Stability and Flame Retardancy of Long-Glass-Fiber Reinforced Polyamide 6. Int. Polym. Process. 2016, 31, 482–490. [Google Scholar] [CrossRef]
- Kanno, T.; Yanase, H.; Sugata, Y.; Shigehara, K. Flame resistant nylon-6, 6 composites with improved mechanical strength by the combination of additive-and reactive-type flame retardant. Polym. J. 2007, 39, 347–358. [Google Scholar] [CrossRef] [Green Version]
- De Wit, C.A. An overview of brominated flame retardants in the environment. Chemosphere 2002, 46, 583–624. [Google Scholar] [CrossRef]
- Watanabe, I.; Sakai, S.I. Environmental release and behavior of brominated flame retardants. Environ. Int. 2003, 29, 665–682. [Google Scholar] [CrossRef]
- Van der Veen, I.; de Boer, J. Phosphorus flame retardants: Properties, production, environmental occurrence, toxicity and analysis. Chemosphere 2012, 88, 1119–1153. [Google Scholar] [CrossRef] [PubMed]
- Guo, X.; Geng, J.; Sun, B.; Xu, Q.; Li, Y.; Xie, S.; Xue, Y.; Yan, H. Great enhancement of efficiency of intumescent flame retardants by titanate coupling agent and polysiloxane. Polym. Adv. Technol. 2021, 32, 41–53. [Google Scholar] [CrossRef]
- Gu, L.; Chen, G.; Yao, Y. Two novel phosphorus–nitrogen-containing halogen-free flame retardants of high performance for epoxy resin. Polym. Degrad. Stab. 2014, 108, 68–75. [Google Scholar] [CrossRef]
- Liu, Y.; Zhao, J.; Deng, C.L.; Chen, L.; Wang, D.Y.; Wang, Y.Z. Flame-retardant effect of sepiolite on an intumescent flame-retardant polypropylene system. Ind. Eng. Chem. Res. 2011, 50, 2047–2054. [Google Scholar] [CrossRef]
- Cheval, N.; Gindy, N.; Flowkes, C.; Fahmi, A. Polyamide 66 microspheres metallised with in situ synthesised gold nanoparticles for a catalytic application. Nanoscale Res. Lett. 2012, 7, 182. [Google Scholar] [CrossRef] [Green Version]
- Sengupta, R.; Bandyopadhyay, A.; Sabharwal, S.; Chaki, T.K. Polyamide-6,6/in situ silica hybrid nanocomposites by sol-gel technique: Synthesis, characterization and properties. Polymer 2005, 46, 3343–3354. [Google Scholar] [CrossRef]
- Msomi, P.F.; Nonjola, P.; Ndungu, P.G.; Ramonjta, J. Quaternized poly (2.6 dimethyl-1.4 phenylene oxide)/polysulfone blend composite membrane doped with Z n O-nanoparticles for alkaline fuel cells. J. Appl. Polym. Sci. 2018, 135, 45959. [Google Scholar] [CrossRef]
- Gopi, K.H.; Bhat, S.D.; Sahu, A.K.; Sridhar, P. Quaternized poly (phenylene oxide) anion exchange membrane for alkaline direct methanol fuel cells in KOH-free media. J. Appl. Polym. Sci. 2016, 133, 29. [Google Scholar] [CrossRef]
- Liu, B.; Xu, J.; Xue, H.; Shu, Z.; Xu, G.; Ou, H.; Weng, Y. Preparation and properties of modified aluminum diethylphosphinate flame retardant for low-density polyethylene. J. Appl. Polym. Sci. 2021, 138, 50393. [Google Scholar] [CrossRef]
- Makhlouf, A.; Layachi, A.; Kouadri, I.; Belaadi, A.; Satha, H. Structural study and thermal behavior of composites: Polyamide 66/glass fibers: The reinforcement ratio effect on the kinetics of crystallization. J. Compos. Mater. 2020, 54, 1467–1481. [Google Scholar] [CrossRef]
- Araujo, E.M.; Araujo, K.D.; Paz, R.A.; Gouveia, T.R.; Barbosa, R.; Ito, E.N. Polyamide 66/brazilian clay nanocomposites. J. Nanomater. 2009, 2009, 136856. [Google Scholar] [CrossRef]
- Hwang, S.H.; Kim, Y.S.; Cha, H.C.; Jung, J.C. Thermal and physical properties of poly (phenylene oxide) blends with glass fiber reinforced syndiotactic polystyrene. Polymer 1999, 40, 5957–5960. [Google Scholar] [CrossRef]
- Ding, Y.; Swann, J.D.; Sun, Q.; Stoliarov, S.I.; Kraemer, R.H. Development of a pyrolysis model for glass fiber reinforced polyamide 66 blended with red phosphorus: Relationship between flammability behavior and material composition. Compos. Part B Eng. 2019, 176, 107263. [Google Scholar] [CrossRef]
- Xiao, Y.; Mu, X.; Wang, B.; Hu, W.; Wang, J.; Zhou, F.; Ma, C.; Hu, Y.; Song, L. A novel phosphorous-containing polymeric compatibilizer: Effective reinforcement and flame retardancy in glass fiber reinforced polyamide 6 composites. Compos. Part B Eng. 2021, 205, 108536. [Google Scholar] [CrossRef]









| Materials | Abbreviation | Composition | Serial No. | Company |
|---|---|---|---|---|
| Polyamide 66 | PA66 | Density: 1.12 g/cm3 | Industrial-Grade | Pingdingshan Shenma Engineering Plastics Co., Ltd., Pingdingshan, China |
| Polyphenylene Oxide | PPO | Density: 1.05 g/cm3 | Industrial-Grade | Nantong Xingchen Synthetic Materials Co., Ltd., Nantong, China |
| HIPS-g-MAH compatibilizer | - | 4–8 wt% MAH in HIPS-g-MAH | - | Homemade [17] |
| Phosphorus-Silicon | P@Si | 98 wt% aluminum diethylphosphinate (ADP) + 2 wt% polydimethylsiloxane. | WR6002 | Zibo Wanrong Chemical Co., Ltd., Zibo, China |
| Al(OH)3-coated red phosphorus | RP* | 60 wt% Al(OH)3 coated 40 wt% red phosphorus. | FRM-150B | Zibo Wanrong Chemical Co., Ltd., Zibo, China |
| Glass fiber | GF | Moisture content < 0.05%, Sizing content 0.45 ± 0.10 | 568H | Jushi Group Co., Ltd., Jiaxing, China |
| Samples | LOI (%) | UL-94 Level |
|---|---|---|
| PA66/PPO | 24.0 ± 0.5 | V-2 |
| PA66/PPO–P@Si–4% | 25.8 ± 0.8 | V-2 |
| PA66/PPO–P@Si–8% | 28.5 ± 0.6 | V-1 |
| PA66/PPO–P@Si–12% | 29.3 ± 0.9 | V-1 |
| PA66/PPO–P@Si–16% | 30.5 ± 0.7 | V-0 |
| PA66/PPO–P@Si–20% | 33.2 ± 0.6 | V-0 |
| PA66/PPO–RP*–4% | 28.1 ± 0.8 | V-1 |
| PA66/PPO–RP*–8% | 34.4 ± 0.7 | V-0 |
| PA66/PPO–RP*–10% | 38.5 ± 0.6 | V-0 |
| PA66/PPO–RP*–12% | 39.7 ± 0.9 | V-0 |
| PA66/PPO–RP*–14% | 41.0 ± 0.7 | V-0 |
| Samples | Tloss 5 wt% (°C) | Tmax (°C) | Rmax (%/min−1) |
|---|---|---|---|
| PA66/PPO | 403.9 | 446.6 | 1.451 |
| PA66/PPO/GF | 397.4 | 430.7 | 1.344 |
| PA66/PPO–P@Si–16% | 403.4 | 461.5 | 0.664 |
| PA66/PPO–RP*–8% | 371.7 | 460.8 | 0.720 |
Publisher’s Note: MDPI stays neutral with regard to jurisdictional claims in published maps and institutional affiliations. |
© 2022 by the authors. Licensee MDPI, Basel, Switzerland. This article is an open access article distributed under the terms and conditions of the Creative Commons Attribution (CC BY) license (https://creativecommons.org/licenses/by/4.0/).
Share and Cite
Zhang, Z.; Yang, M.; Cai, K.; Chen, Y.; Liu, S.; Liu, W.; Liu, J. Effect of the Flame Retardants and Glass Fiber on the Polyamide 66/Polyphenylene Oxide Composites. Materials 2022, 15, 813. https://doi.org/10.3390/ma15030813
Zhang Z, Yang M, Cai K, Chen Y, Liu S, Liu W, Liu J. Effect of the Flame Retardants and Glass Fiber on the Polyamide 66/Polyphenylene Oxide Composites. Materials. 2022; 15(3):813. https://doi.org/10.3390/ma15030813
Chicago/Turabian StyleZhang, Zhenya, Mingcheng Yang, Kunpeng Cai, Yang Chen, Shubo Liu, Wentao Liu, and Jilin Liu. 2022. "Effect of the Flame Retardants and Glass Fiber on the Polyamide 66/Polyphenylene Oxide Composites" Materials 15, no. 3: 813. https://doi.org/10.3390/ma15030813
APA StyleZhang, Z., Yang, M., Cai, K., Chen, Y., Liu, S., Liu, W., & Liu, J. (2022). Effect of the Flame Retardants and Glass Fiber on the Polyamide 66/Polyphenylene Oxide Composites. Materials, 15(3), 813. https://doi.org/10.3390/ma15030813

