Impact of the Dopant Species on the Thermomechanical Material Properties of Thermoelectric Mg2Si0.3Sn0.7
Abstract
:1. Introduction
2. Materials and Methods
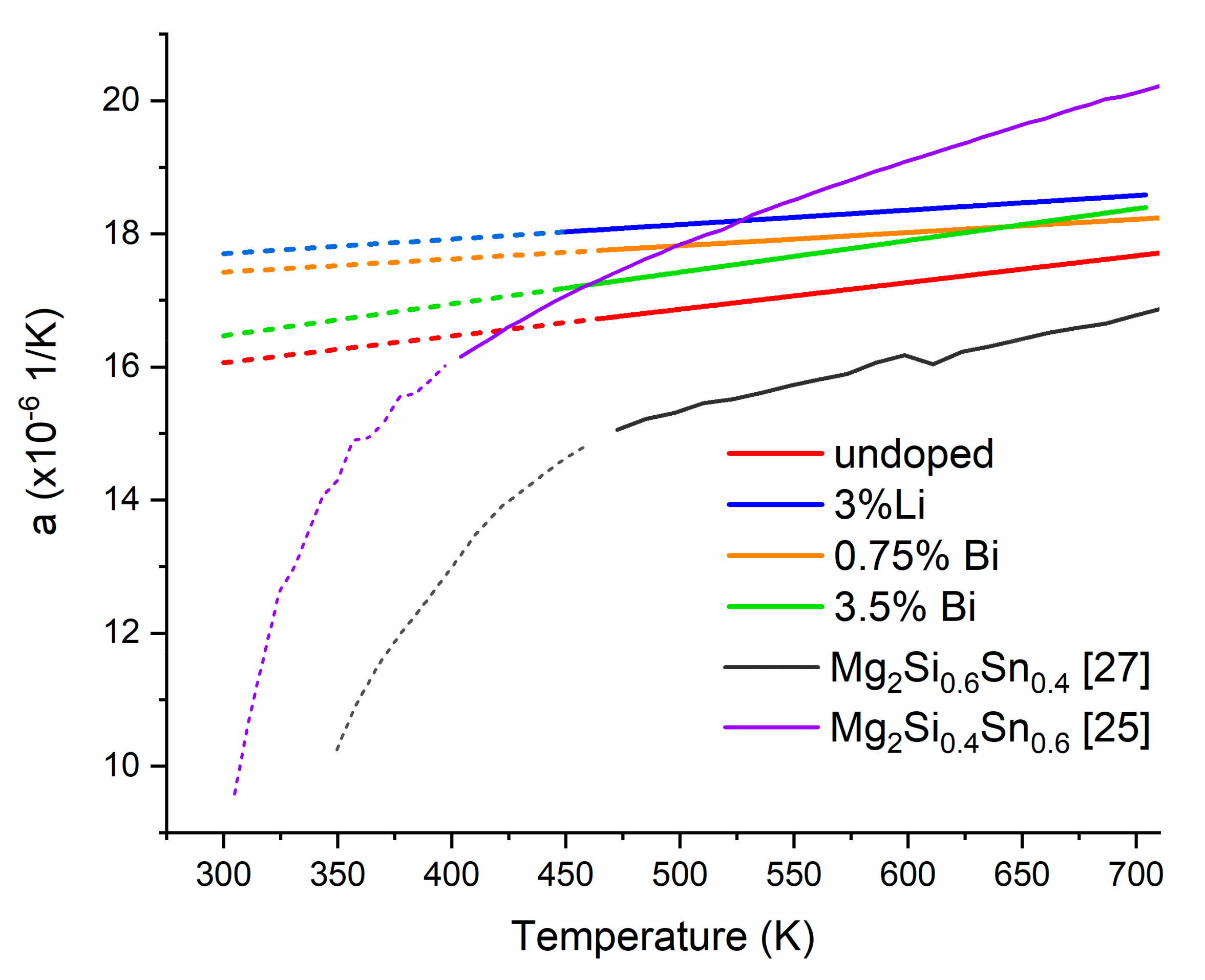
3. Results
4. Discussion
5. Conclusions
Supplementary Materials
Author Contributions
Funding
Institutional Review Board Statement
Informed Consent Statement
Data Availability Statement
Acknowledgments
Conflicts of Interest
References
- Rowe, D.M. General Principles and Basic Considerations. In Thermoelectrics Handbook Macro to Nano; Taylor and Francis: Boca Raton, FL, USA, 2006; pp. 1–14. [Google Scholar]
- Santos, R.; Yamini, S.A.; Dou, S.X. Recent Progress in Magnesium-Based Thermoelectric Materials. J. Mater. Chem. A 2018, 6, 3328–3341. [Google Scholar] [CrossRef] [Green Version]
- LeBlanc, S.; Yee, S.K.; Scullin, M.L.; Dames, C.; Goodson, K.E. Material and Manufacturing Cost Considerations for Thermoelectrics. Renew. Sustain. Energy Rev. 2014, 32, 313–327. [Google Scholar] [CrossRef]
- El-Genk, M.S.; Saber, H.H.; Caillat, T. Efficient Segmented Thermoelectric Unicouples for Space Power Applications. Energy Convers. Manag. 2003, 44, 1755–1772. [Google Scholar] [CrossRef]
- Sankhla, A.; Patil, A.; Kamila, H.; Yasseri, M.; Farahi, N.; Mueller, E.; de Boor, J. Mechanical Alloying of Optimized Mg2 (Si, Sn) Solid Solutions: Understanding Phase Evolution and Tuning Synthesis Parameters for Thermoelectric Applications. ACS Appl. Energy Mater. 2018, 1, 531–542. [Google Scholar] [CrossRef] [Green Version]
- Zaitsev, V.K.; Fedorov, M.I.; Gurieva, E.A.; Eremin, I.S.; Konstantinov, P.P.; Samunin, A.Y.; Vedernikov, M.V. Highly Effective Mg2Si1−xSnx Thermoelectrics. Phys. Rev. B 2006, 74, 045207. [Google Scholar] [CrossRef]
- Liu, W.; Tan, X.; Yin, K.; Liu, H.; Tang, X.; Shi, J.; Zhang, Q.; Uher, C. Convergence of Conduction Bands as a Means of Enhancing Thermoelectric Performance of N-Type Mg2Si1−xSnx Solid Solutions. Phys. Rev. Lett. 2012, 108, 166601. [Google Scholar] [CrossRef] [PubMed] [Green Version]
- Liu, W.; Chi, H.; Sun, H.; Zhang, Q.; Yin, K.; Tang, X.; Zhang, Q.; Uher, C. Advanced Thermoelectrics Governed by a Single Parabolic Band: Mg2Si0.3Sn0.7, a Canonical Example. Phys. Chem. Chem. Phys. 2014, 16, 6893–6897. [Google Scholar] [CrossRef] [PubMed]
- Dasgupta, T.; Stiewe, C.; de Boor, J.; Müller, E. Influence of Power Factor Enhancement on the Thermoelectric Figure of Merit in Mg2Si0.4Sn0.6 Based Materials. Phys. Status Solidi A 2014, 211, 1250–1254. [Google Scholar] [CrossRef]
- Farahi, N.; Stiewe, C.; Truong, D.Y.N.; de Boor, J.; Müller, E. High Efficiency Mg2 (Si, Sn)-Based Thermoelectric Materials: Scale-up Synthesis, Functional Homogeneity, and Thermal Stability. RSC Adv. 2019, 9, 23021–23028. [Google Scholar] [CrossRef] [Green Version]
- Gao, P.; Berkun, I.; Schmidt, R.D.; Luzenski, M.F.; Lu, X.; Sarac, P.B.; Case, E.D.; Hogan, T.P. Transport and Mechanical Properties of High-ZT Mg2.08Si0.4−xSn0.6Sbx Thermoelectric Materials. J. Electron. Mater. 2014, 43, 1790–1803. [Google Scholar] [CrossRef]
- Kamila, H.; Sankhla, A.; Yasseri, M.; Hoang, N.P.; Farahi, N.; Mueller, E.; de Boor, J. Synthesis of P-Type Mg2Si1−XSnx with x = 0–1 and Optimization of the Synthesis Parameters. Mater. Today Proc. 2019, 8, 546–555. [Google Scholar] [CrossRef] [Green Version]
- Kamila, H.; Sahu, P.; Sankhla, A.; Yasseri, M.; Pham, H.-N.; Dasgupta, T.; Mueller, E.; de Boor, J. Analyzing Transport Properties of P-Type Mg2Si–Mg2Sn Solid Solutions: Optimization of Thermoelectric Performance and Insight into the Electronic Band Structure. J. Mater. Chem. A 2019, 7, 1045–1054. [Google Scholar] [CrossRef]
- De Boor, J.; Dasgupta, T.; Saparamadu, U.; Müller, E.; Ren, Z.F. Recent Progress in P-Type Thermoelectric Magnesium Silicide Based Solid Solutions. Mater. Today Energy 2017, 4, 105–121. [Google Scholar] [CrossRef]
- Gao, P.; Davis, J.D.; Poltavets, V.V.; Hogan, T.P. The P-Type Mg2LixSi0.4Sn0.6 Thermoelectric Materials Synthesized by a B2O3 Encapsulation Method Using Li2CO3 as the Doping Agent. J. Mater. Chem. C 2016, 4, 929–934. [Google Scholar] [CrossRef]
- Nieroda, P.; Kolezynski, A.; Oszajca, M.; Milczarek, J.; Wojciechowski, K.T. Structural and Thermoelectric Properties of Polycrystalline P-Type Mg2−xLixSi. J. Electron. Mater. 2016, 45, 3418–3426. [Google Scholar] [CrossRef]
- Saparamadu, U.; de Boor, J.; Mao, J.; Song, S.; Tian, F.; Liu, W.; Zhang, Q.; Ren, Z. Comparative Studies on Thermoelectric Properties of P-Type Mg2Sn0.75Ge0.25 Doped with Lithium, Sodium, and Gallium. Acta Mater. 2017, 141, 154–162. [Google Scholar] [CrossRef]
- Ayachi, S.; Castillo Hernandez, G.; Pham, N.H.; Farahi, N.; Müller, E.; de Boor, J. Developing Contacting Solutions for Mg2Si1–xSnx-Based Thermoelectric Generators: Cu and Ni45Cu55 as Potential Contacting Electrodes. ACS Appl. Mater. Interfaces 2019, 11, 40769–40780. [Google Scholar] [CrossRef] [PubMed]
- Pham, N.H.; Farahi, N.; Kamila, H.; Sankhla, A.; Ayachi, S.; Müller, E.; de Boor, J. Ni and Ag Electrodes for Magnesium Silicide Based Thermoelectric Generators. Mater. Today Energy 2019, 11, 97–105. [Google Scholar] [CrossRef]
- Biswas, K.; Subramanian, M.A.; Good, M.S.; Roberts, K.C.; Hendricks, T.J. Thermal Cycling Effects on the Thermoelectric Properties of N-Type In, Ce-Based Skutterudite Compounds. J. Electron. Mater. 2012, 41, 1615–1621. [Google Scholar] [CrossRef] [Green Version]
- De Boor, J.; Gloanec, C.; Kolb, H.; Sottong, R.; Ziolkowski, P.; Müller, E. Fabrication and Characterization of Nickel Contacts for Magnesium Silicide Based Thermoelectric Generators. J. Alloys Compd. 2015, 632, 348–353. [Google Scholar] [CrossRef] [Green Version]
- Camut, J.; Pham, N.H.; Nhi Truong, D.Y.; Castillo-Hernandez, G.; Farahi, N.; Yasseri, M.; Mueller, E.; de Boor, J. Aluminum as Promising Electrode for Mg2 (Si, Sn)-Based Thermoelectric Devices. Mater. Today Energy 2021, 21, 100718. [Google Scholar] [CrossRef]
- De Boor, J.; Droste, D.; Schneider, C.; Janek, J.; Mueller, E. Thermal Stability of Magnesium Silicide/Nickel Contacts. J. Electron. Mater. 2016, 45, 5313–5320. [Google Scholar] [CrossRef]
- Castillo-Hernandez, G.; Yasseri, M.; Klobes, B.; Ayachi, S.; Müller, E.; de Boor, J. Room and High Temperature Mechanical Properties of Mg2Si, Mg2Sn and Their Solid Solutions. J. Alloys Compd. 2020, 845, 156205. [Google Scholar] [CrossRef]
- Gelbstein, Y.; Tunbridge, J.; Dixon, R.; Reece, M.J.; Ning, H.; Gilchrist, R.; Summers, R.; Agote, I.; Lagos, M.A.; Simpson, K.; et al. Physical, Mechanical, and Structural Properties of Highly Efficient Nanostructured n- and p-Silicides for Practical Thermoelectric Applications. J. Electron. Mater. 2014, 43, 1703–1711. [Google Scholar] [CrossRef]
- Vivekanandhan, P.; Murugasami, R.; Kumaran, S. Microstructure and Mechanical Properties of Magnesium Silicide Prepared via Spark Plasma Assisted Combustion Synthesis. Mater. Lett. 2018, 231, 109–113. [Google Scholar] [CrossRef]
- Mejri, M.; Thimont, Y.; Malard, B.; Estournès, C. Characterization of the Thermo-Mechanical Properties of p-Type (MnSi1.77) and n-Type (Mg2Si0.6Sn0.4) Thermoelectric Materials. Scr. Mater. 2019, 172, 28–32. [Google Scholar] [CrossRef] [Green Version]
- Nakamura, T.; Hatakeyama, K.; Minowa, M.; Mito, Y.; Arai, K.; Iida, T.; Nishio, K. Power-Generation Performance of a π-Structured Thermoelectric Module Containing Mg2Si and MnSi1.73. J. Electron. Mater. 2015, 44, 3592–3597. [Google Scholar] [CrossRef]
- Ni, J.E.; Case, E.D.; Schmidt, R.D.; Wu, C.-I.; Hogan, T.P.; Trejo, R.M.; Kirkham, M.J.; Lara-Curzio, E.; Kanatzidis, M.G. The Thermal Expansion Coefficient as a Key Design Parameter for Thermoelectric Materials and Its Relationship to Processing-Dependent Bloating. J. Mater. Sci. 2013, 48, 6233–6244. [Google Scholar] [CrossRef]
- Barako, M.T.; Park, W.; Marconnet, A.M.; Asheghi, M.; Goodson, K.E. Thermal Cycling, Mechanical Degradation, and the Effective Figure of Merit of a Thermoelectric Module. J. Electron. Mater. 2013, 42, 372–381. [Google Scholar] [CrossRef]
- Karri, N.K.; Mo, C. Reliable Thermoelectric Module Design under Opposing Requirements from Structural and Thermoelectric Considerations. J. Electron. Mater. 2018, 47, 3127–3135. [Google Scholar] [CrossRef]
- Zhang, L.; Rogl, G.; Grytsiv, A.; Puchegger, S.; Koppensteiner, J.; Spieckermann, F.; Kabelka, H.; Reinecker, M.; Rogl, P.; Schranz, W.; et al. Mechanical Properties of Filled Antimonide Skutterudites. Mater. Sci. Eng. B 2010, 170, 26–31. [Google Scholar] [CrossRef]
- Farahi, N.; VanZant, M.; Zhao, J.; Tse, J.S.; Prabhudev, S.; Botton, G.A.; Salvador, J.R.; Borondics, F.; Liu, Z.; Kleinke, H. Sb- and Bi-Doped Mg2Si: Location of the Dopants, Micro- and Nanostructures, Electronic Structures and Thermoelectric Properties. Dalton Trans. 2014, 43, 14983–14991. [Google Scholar] [CrossRef] [Green Version]
- Macario, L.R.; Cheng, X.; Ramirez, D.; Mori, T.; Kleinke, H. Thermoelectric Properties of Bi-Doped Magnesium Silicide Stannides. ACS Appl. Mater. Interfaces 2018, 10, 40585–40591. [Google Scholar] [CrossRef] [PubMed]
- Ioannou, M.; Polymeris, G.S.; Hatzikraniotis, E.; Paraskevopoulos, K.M.; Kyratsi, T. Effect of Bi-Doping and Mg-Excess on the Thermoelectric Properties of Mg2Si Materials. J. Phys. Chem. Solids 2014, 75, 984–991. [Google Scholar] [CrossRef]
- ASTM International. ASTM Standard E1876-01; Method for Dynamic Youngs Modulus, Shear Modulus, and Poissons Ratio by Impulse Excitation of Vibration. ASTM International: West Conshohocken, PA, USA, 2017. [Google Scholar] [CrossRef]
- De Boor, J.; Stiewe, C.; Ziolkowski, P.; Dasgupta, T.; Karpinski, G.; Lenz, E.; Edler, F.; Mueller, E. High-Temperature Measurement of Seebeck Coefficient and Electrical Conductivity. J. Electron. Mater. 2013, 42, 1711–1718. [Google Scholar] [CrossRef] [Green Version]
- De Boor, J.; Müller, E. Data Analysis for Seebeck Coefficient Measurements. Rev. Sci. Instrum. 2013, 84, 065102. [Google Scholar] [CrossRef] [Green Version]
- Nieroda, P.; Leszczynski, J.; Kolezynski, A. Bismuth Doped Mg2Si with Improved Homogeneity: Synthesis, Characterization and Optimization of Thermoelectric Properties. J. Phys. Chem. Solids 2017, 103, 147–159. [Google Scholar] [CrossRef]
- Fiameni, S.; Battiston, S.; Boldrini, S.; Famengo, A.; Agresti, F.; Barison, S.; Fabrizio, M. Synthesis and Characterization of Bi-Doped Mg2Si Thermoelectric Materials. J. Solid State Chem. 2012, 193, 142–146. [Google Scholar] [CrossRef]
- Ayachi, S.; Deshpande, R.; Ponnusamy, P.; Park, S.; Chung, J.; Park, S.; Ryu, B.; Müller, E.; Boor, J. On the Relevance of Point Defects for the Selection of Contacting Electrodes: Ag as an Example for Mg2 (Si, Sn)-Based Thermoelectric Generators. Mater. Today Phys. 2021, 16, 100309. [Google Scholar] [CrossRef]
- Farahi, N.; Prabhudev, S.; Botton, G.A.; Salvador, J.R.; Kleinke, H. Nano- and Microstructure Engineering: An Effective Method for Creating High Efficiency Magnesium Silicide Based Thermoelectrics. ACS Appl. Mater. Interfaces 2016, 8, 34431–34437. [Google Scholar] [CrossRef] [PubMed]
- Pluta, Z.; Hryniewicz, T. Thermal Expansion of Solids. J. Mod. Phys. 2012, 3, 793–802. [Google Scholar] [CrossRef] [Green Version]
- Ganeshan, S.; Shang, S.L.; Wang, Y.; Liu, Z.-K. Temperature Dependent Elastic Coefficients of Mg2X (X = Si, Ge, Sn, Pb) Compounds from First-Principles Calculations. J. Alloys Compd. 2010, 498, 191–198. [Google Scholar] [CrossRef]
- Imai, M.; Isoda, Y.; Udono, H. Thermal Expansion of Semiconducting Silicides β-FeSi2 and Mg2Si. Intermetallics 2015, 67, 75–80. [Google Scholar] [CrossRef]
- You, S.-W.; Kim, I.-H.; Choi, S.-M.; Seo, W.-S. Thermoelectric Properties of Bi-Doped Mg2Si1−xSnx prepared by Mechanical Alloying. J. Korean Phys. Soc. 2013, 63, 2153–2157. [Google Scholar] [CrossRef]
- Mura, T. Micromechanics of Defects in Solids, 2nd ed.; Mechanics of Elastic and Inelastic Solids; Springer: Dordrecht, The Netherlands, 1987; ISBN 978-90-247-3256-2. [Google Scholar]
- Yasseri, M.; Sankhla, A.; Kamila, H.; Orenstein, R.; Truong, D.Y.N.; Farahi, N.; de Boor, J.; Mueller, E. Solid Solution Formation in Mg2 (Si, Sn) and Shape of the Miscibility Gap. Acta Mater. 2020, 185, 80–88. [Google Scholar] [CrossRef]
- Yasseri, M.; Mitra, K.; Sankhla, A.; de Boor, J.; Müller, E. Influence of Mg Loss on the Phase Stability in Mg2X (X = Si, Sn) and Its Correlation with Coherency Strain. Acta Mater. 2021, 208, 116737. [Google Scholar] [CrossRef]
- Orenstein, R.; Male, J.P.; Toriyama, M.; Anand, S.; Snyder, G.J. Using Phase Boundary Mapping to Resolve Discrepancies in the Mg2Si–Mg2Sn Miscibility Gap. J. Mater. Chem. A 2021, 9, 7208–7215. [Google Scholar] [CrossRef]
- Launey, M.E.; Ritchie, R.O. On the Fracture Toughness of Advanced Materials. Adv. Mater. 2009, 21, 2103–2110. [Google Scholar] [CrossRef]
- Yasseri, M.; Farahi, N.; Kelm, K.; Mueller, E.; de Boor, J. Rapid Determination of Local Composition in Quasi-Binary, Inhomogeneous Material Systems from Backscattered Electron Image Contrast. Materialia 2018, 2, 98–103. [Google Scholar] [CrossRef]
- Klobes, B.; de Boor, J.; Alatas, A.; Hu, M.Y.; Simon, R.E.; Hermann, R.P. Lattice Dynamics and Elasticity in Thermoelectric Mg2Si1−XSnx. Phys. Rev. Mater. 2019, 3, 025404. [Google Scholar] [CrossRef]
- Kingery, W.D. Factors Affecting Thermal Stress Resistance of Ceramic Materials. J. Am. Ceram. Soc. 1955, 38, 3–15. [Google Scholar] [CrossRef]
- Case, E.D. Thermal Fatigue and Waste Heat Recovery via Thermoelectrics. J. Electron. Mater. 2012, 41, 1811–1819. [Google Scholar] [CrossRef]
- Lanin, A.; Fedik, I. Thermal Stress Resistance of Materials; Springer: Berlin/Heidelberg, Germany, 2008; ISBN 978-3-540-71399-9. [Google Scholar]
- Rogl, G.; Zhang, L.; Rogl, P.; Grytsiv, A.; Falmbigl, M.; Rajs, D.; Kriegisch, M.; Müller, H.; Bauer, E.; Koppensteiner, J.; et al. Thermal Expansion of Skutterudites. J. Appl. Phys. 2010, 107, 043507. [Google Scholar] [CrossRef] [Green Version]







| Nominal Composition | Time (min) |
|---|---|
| Mg1.97Li0.03Si0.3Sn0.7 | 10 |
| Mg2.06Si0.3Sn0.7 | 10 |
| Mg2.06Si0.3Sn0.6925Bi0.0075 | 20 |
| Mg2.06Si0.3Sn0.665Bi0.035 | 20 |
| Composition | Density (g/cm3) | Lattice Parameter (Å) | Grain Size (µm) |
|---|---|---|---|
| Mg1.97Li0.03Si0.3Sn0.7 | 3.10 ± 0.01 | 6.61 ± 0.01 | 7 ± 3 |
| Mg2.06Si0.3Sn0.7 | 3.11 ± 0.01 | 6.63 ± 0.01 | 7 ± 3 |
| Mg2.06Si0.3Sn0.6925Bi0.0075 | 3.09 ± 0.01 | 6.62 ± 0.01 | 6 ± 2 |
| Mg2.06Si0.3Sn0.665Bi0.035 | 3.11 ± 0.01 | 6.61 ± 0.01 | 5 ± 3 |
| Composition | Seebeck (µV/K) | Electrical Conductivity (S/cm) | n (cm−3) | Mobility (cm2/Vs) |
|---|---|---|---|---|
| Mg1.97Li0.03Si0.3Sn0.7 | 101 | 644 | 1.7 × 1020 | 24 |
| Mg2.06Si0.3Sn0.7 | −453 | 29 | 3.7 × 1018 | 50 |
| Mg2.06Si0.3Sn0.6925Bi0.0075 | −157 | 1178 | 1.4 × 1020 | 53 |
| Mg2.06Si0.3Sn0.665Bi0.035 | −114 | 2138 | 2.8 × 1020 | 48 |
| Composition | Shear Modulus (GPa) | Poisson Ratio |
|---|---|---|
| Mg1.97Li0.03Si0.3Sn0.7 | 35.2 ± 0.3 | 0.193 ± 0.002 |
| Mg2.06Si0.3Sn0.7 | 35.7 ± 0.3 | 0.191 ± 0.002 |
| Mg2.06Si0.3Sn0.6925Bi0.0075 | 32.7 ± 0.3 | 0.217 ± 0.003 |
| Mg2.06Si0.3Sn0.665Bi0.035 | 34.6 ± 0.3 | 0.209 ± 0.002 |
| Sample | Sn Content x and FWHM |
|---|---|
| Mg1.97Li0.03Si0.3Sn0.7 | 0.72 ± 0.11 |
| Mg2.06Si0.3Sn0.7 | 0.73 ± 0.21 |
| Mg2.06Si0.3Sn0.6925Bi0.0075 | 0.74 ± 0.15 |
| Mg2.06Si0.3Sn0.665Bi0.035 | 0.69 ± 0.13 |
Publisher’s Note: MDPI stays neutral with regard to jurisdictional claims in published maps and institutional affiliations. |
© 2022 by the authors. Licensee MDPI, Basel, Switzerland. This article is an open access article distributed under the terms and conditions of the Creative Commons Attribution (CC BY) license (https://creativecommons.org/licenses/by/4.0/).
Share and Cite
Castillo-Hernández, G.; Müller, E.; de Boor, J. Impact of the Dopant Species on the Thermomechanical Material Properties of Thermoelectric Mg2Si0.3Sn0.7. Materials 2022, 15, 779. https://doi.org/10.3390/ma15030779
Castillo-Hernández G, Müller E, de Boor J. Impact of the Dopant Species on the Thermomechanical Material Properties of Thermoelectric Mg2Si0.3Sn0.7. Materials. 2022; 15(3):779. https://doi.org/10.3390/ma15030779
Chicago/Turabian StyleCastillo-Hernández, Gustavo, Eckhard Müller, and Johannes de Boor. 2022. "Impact of the Dopant Species on the Thermomechanical Material Properties of Thermoelectric Mg2Si0.3Sn0.7" Materials 15, no. 3: 779. https://doi.org/10.3390/ma15030779
APA StyleCastillo-Hernández, G., Müller, E., & de Boor, J. (2022). Impact of the Dopant Species on the Thermomechanical Material Properties of Thermoelectric Mg2Si0.3Sn0.7. Materials, 15(3), 779. https://doi.org/10.3390/ma15030779

