Polymer Stabilization of Uniform Lying Helix Texture in a Bimesogen-Doped Cholesteric Liquid Crystal for Frequency-Modulated Electro-Optic Responses
Abstract
:1. Introduction
2. Materials and Methods
2.1. Materials
2.2. Sample Preparations
2.3. Formation of a Polymer-Network Uniform Lying Helix (PN-ULH) Texture
2.4. Measurements
3. Results and Discussion
3.1. Stability and Recoverability of PN-ULH Textures
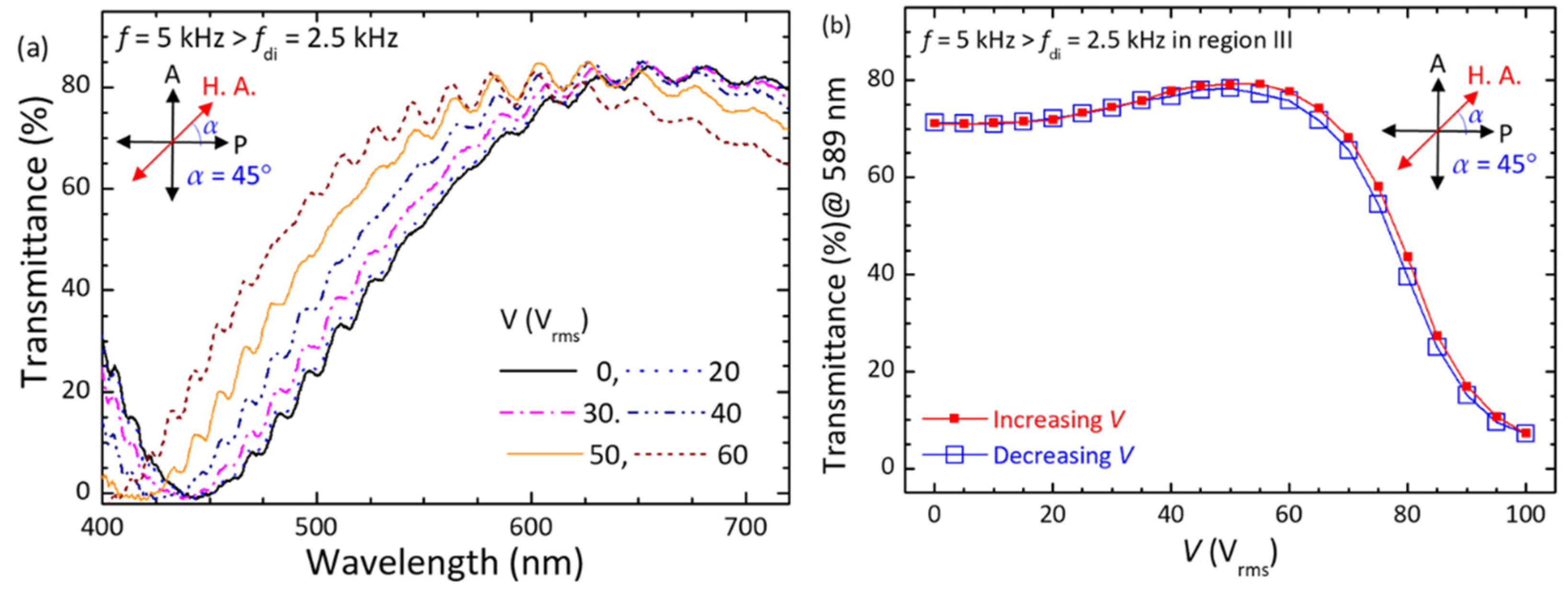
3.2. Frequency-Modulated Electro-Optic Responses
4. Conclusions
Author Contributions
Funding
Institutional Review Board Statement
Informed Consent Statement
Data Availability Statement
Conflicts of Interest
References
- Rudquist, P.; Carlsson, T.; Komitov, L.; Lagerwall, S. The flexoelectro-optic effect in cholesterics. Liq. Cryst. 1997, 22, 445–449. [Google Scholar] [CrossRef]
- Rudquist, P.; Komitov, L.; Lagerwall, S. Volume-stabilized ULH structure for the flexoelectro-optic effect and the phase-shift effect in cholesterics. Liq. Cryst. 1998, 24, 329–334. [Google Scholar] [CrossRef]
- Patel, J.; Meyer, R.B. Flexoelectric electro-optics of a cholesteric liquid crystal. Phys. Rev. Lett. 1987, 58, 1538. [Google Scholar] [CrossRef] [PubMed]
- Tan, G.; Lee, Y.-H.; Gou, F.; Chen, H.; Huang, Y.; Lan, Y.-F.; Tsai, C.-Y.; Wu, S.-T. Review on polymer-stabilized short-pitch cholesteric liquid crystal displays. J. Phys. D Appl. Phys. 2017, 50, 493001. [Google Scholar] [CrossRef]
- Fells, J.A.; Welch, C.; Yip, W.C.; Elston, S.J.; Booth, M.J.; Mehl, G.H.; Wilkinson, T.D.; Morris, S.M. Dynamic response of large tilt-angle flexoelectro-optic liquid crystal modulators. Opt. Express 2019, 27, 15184–15193. [Google Scholar] [CrossRef] [PubMed]
- Yip, W.; Welch, C.; Mehl, G.H.; Wilkinson, T.D. Analog modulation by the flexoelectric effect in liquid crystals. Appl. Opt. 2020, 59, 2668–2673. [Google Scholar] [CrossRef]
- Wang, X.; Fells, J.A.; Shi, Y.; Ali, T.; Welch, C.; Mehl, G.H.; Wilkinson, T.D.; Booth, M.J.; Morris, S.M.; Elston, S.J. A compact full 2π flexoelectro-optic liquid crystal phase modulator. Adv. Mater. Technol. 2020, 5, 2000589. [Google Scholar] [CrossRef]
- Hyman, R.M.; Lorenz, A.; Wilkinson, T.D. Phase modulation using different orientations of a chiral nematic in liquid crystal over silicon devices. Liq. Cryst. 2016, 43, 83–90. [Google Scholar] [CrossRef]
- Yoshida, H.; Inoue, Y.; Isomura, T.; Matsuhisa, Y.; Fujii, A.; Ozaki, M. Position sensitive, continuous wavelength tunable laser based on photopolymerizable cholesteric liquid crystals with an in-plane helix alignment. Appl. Phys. Lett. 2009, 94, 72. [Google Scholar] [CrossRef]
- Coles, H.; Clarke, M.; Morris, S.; Broughton, B.; Blatch, A. Strong flexoelectric behavior in bimesogenic liquid crystals. J. Appl. Phys. 2006, 99, 034104. [Google Scholar] [CrossRef] [Green Version]
- Morris, S.; Clarke, M.; Blatch, A.; Coles, H. Structure-flexoelastic properties of bimesogenic liquid crystals. Phys. Rev. E 2007, 75, 041701. [Google Scholar] [CrossRef] [Green Version]
- Hegde, G.; Komitov, L. Periodic anchoring condition for alignment of a short pitch cholesteric liquid crystal in uniform lying helix texture. Appl. Phys. Lett. 2010, 96, 113503. [Google Scholar] [CrossRef]
- Komitov, L.; Bryan-Brown, G.; Wood, E.; Smout, A. Alignment of cholesteric liquid crystals using periodic anchoring. J. Appl. Phys. 1999, 86, 3508–3511. [Google Scholar] [CrossRef]
- Wang, C.-T.; Wang, W.-Y.; Lin, T.-H. A stable and switchable uniform lying helix structure in cholesteric liquid crystals. Appl. Phys. Lett. 2011, 99, 041108. [Google Scholar] [CrossRef]
- Nian, Y.-L.; Wu, P.-C.; Lee, W. Optimized frequency regime for the electrohydrodynamic induction of a uniformly lying helix structure. Photonics Res. 2016, 4, 227–232. [Google Scholar] [CrossRef]
- Lin, Y.-C.; Wu, P.-C.; Lee, W. Frequency-modulated textural formation and optical properties of a binary rod-like/bent-core cholesteric liquid crystal. Photonics Res. 2019, 7, 1258–1265. [Google Scholar] [CrossRef]
- Yu, C.-H.; Wu, P.-C.; Lee, W. Alternative generation of well-aligned uniform lying helix texture in a cholesteric liquid crystal cell. AIP Adv. 2017, 7, 105107. [Google Scholar] [CrossRef] [Green Version]
- Yu, C.-H.; Wu, P.-C.; Lee, W. Electro-thermal formation of uniform lying helix alignment in a cholesteric liquid crystal cell. Crystals 2019, 9, 183. [Google Scholar] [CrossRef] [Green Version]
- Gardiner, D.J.; Morris, S.M.; Hands, P.J.; Castles, F.; Qasim, M.M.; Kim, W.-S.; Seok Choi, S.; Wilkinson, T.D.; Coles, H.J. Spontaneous induction of the uniform lying helix alignment in bimesogenic liquid crystals for the flexoelectro-optic effect. Appl. Phys. Lett. 2012, 100, 063501. [Google Scholar] [CrossRef] [Green Version]
- Li, C.-C.; Tseng, H.-Y.; Chen, C.-W.; Wang, C.-T.; Jau, H.-C.; Wu, Y.-C.; Hsu, W.-H.; Lin, T.-H. Versatile energy-saving smart glass based on tristable cholesteric liquid crystals. ACS Appl. Energy Mater. 2020, 3, 7601–7609. [Google Scholar] [CrossRef]
- Varanytsia, A.; Chien, L.-C. Giant flexoelectro-optic effect with liquid crystal dimer CB7CB. Sci. Rep. 2017, 7, 1–7. [Google Scholar] [CrossRef] [Green Version]
- Varanytsia, A.; Chien, L.-C. Bimesogen-enhanced flexoelectro-optic behavior of polymer stabilized cholesteric liquid crystal. J. Appl. Phys. 2016, 119, 014502. [Google Scholar] [CrossRef]
- Kim, S.H.; Chien, L.-C.; Komitov, L. Short pitch cholesteric electro-optical device stabilized by nonuniform polymer network. Appl. Phys. Lett. 2005, 86, 161118. [Google Scholar] [CrossRef] [Green Version]
- Broughton, B.; Clarke, M.; Morris, S.; Blatch, A.; Coles, H. Effect of polymer concentration on stabilized large-tilt-angle flexoelectro-optic switching. J. Appl. Phys. 2006, 99, 023511. [Google Scholar] [CrossRef] [Green Version]
- Tartan, C.C.; Salter, P.S.; Booth, M.J.; Morris, S.M.; Elston, S.J. Localised polymer networks in chiral nematic liquid crystals for high speed photonic switching. J. Appl. Phys. 2016, 119, 183106. [Google Scholar] [CrossRef]
- Broughton, B.; Clarke, M.; Blatch, A.; Coles, H. Optimized flexoelectric response in a chiral liquid-crystal phase device. J. Appl. Phys. 2005, 98, 034109. [Google Scholar] [CrossRef] [Green Version]
- Castles, F.; Morris, S.; Coles, H. Flexoelectro-optic properties of chiral nematic liquid crystals in the uniform standing helix configuration. Phys. Rev. E 2009, 80, 031709. [Google Scholar] [CrossRef] [PubMed] [Green Version]
- Outram, B.; Elston, S. Frequency-dependent dielectric contribution of flexoelectricity allowing control of state switching in helicoidal liquid crystals. Phys. Rev. E 2013, 88, 012506. [Google Scholar] [CrossRef]
- Cestari, M.; Diez-Berart, S.; Dunmur, D.; Ferrarini, A.; De La Fuente, M.; Jackson, D.; Lopez, D.; Luckhurst, G.; Perez-Jubindo, M.; Richardson, R. Phase behavior and properties of the liquid-crystal dimer 1′′, 7′-bis (4-cyanobiphenyl-4′-yl) heptane: A twist-bend nematic liquid crystal. Phys. Rev. E 2011, 84, 031704. [Google Scholar] [CrossRef] [Green Version]
- Xiang, J.; Li, Y.; Li, Q.; Paterson, D.A.; Storey, J.M.; Imrie, C.T.; Lavrentovich, O.D. Electrically tunable selective reflection of light from ultraviolet to visible and infrared by heliconical cholesterics. Adv. Mater. 2015, 27, 3014–3018. [Google Scholar] [CrossRef] [Green Version]
- Hou, H.; Gan, Y.; Yin, J.; Jiang, X. Polymerization-induced growth of microprotuberance on the photocuring coating. Langmuir 2017, 33, 2027–2032. [Google Scholar] [CrossRef] [PubMed]
- Gao, L.; Wang, K.-M.; Zhao, R.; Ma, H.-M.; Sun, Y.-B. Effect of a dual functional polymer on the electro-optical properties of blue phase liquid crystals. Polymers 2019, 11, 1128. [Google Scholar] [CrossRef] [PubMed] [Green Version]
- Chen, D.; Nakata, M.; Shao, R.; Tuchband, M.R.; Shuai, M.; Baumeister, U.; Weissflog, W.; Walba, D.M.; Glaser, M.A.; Maclennan, J.E. Twist-bend heliconical chiral nematic liquid crystal phase of an achiral rigid bent-core mesogen. Phys. Rev. E 2014, 89, 022506. [Google Scholar] [CrossRef] [PubMed] [Green Version]
- Yu, M.; Zhou, X.; Jiang, J.; Yang, H.; Yang, D.-K. Matched elastic constants for a perfect helical planar state and a fast switching time in chiral nematic liquid crystals. Soft Matter 2016, 12, 4483–4488. [Google Scholar] [CrossRef] [PubMed]
- Tan, G.; Lee, Y.-H.; Gou, F.; Hu, M.; Lan, Y.-F.; Tsai, C.-Y.; Wu, S.-T. Macroscopic model for analyzing the electro-optics of uniform lying helix cholesteric liquid crystals. J. Appl. Phys. 2017, 121, 173102. [Google Scholar] [CrossRef] [Green Version]










Publisher’s Note: MDPI stays neutral with regard to jurisdictional claims in published maps and institutional affiliations. |
© 2022 by the authors. Licensee MDPI, Basel, Switzerland. This article is an open access article distributed under the terms and conditions of the Creative Commons Attribution (CC BY) license (https://creativecommons.org/licenses/by/4.0/).
Share and Cite
Yu, C.-H.; Wu, P.-C.; Lee, W. Polymer Stabilization of Uniform Lying Helix Texture in a Bimesogen-Doped Cholesteric Liquid Crystal for Frequency-Modulated Electro-Optic Responses. Materials 2022, 15, 771. https://doi.org/10.3390/ma15030771
Yu C-H, Wu P-C, Lee W. Polymer Stabilization of Uniform Lying Helix Texture in a Bimesogen-Doped Cholesteric Liquid Crystal for Frequency-Modulated Electro-Optic Responses. Materials. 2022; 15(3):771. https://doi.org/10.3390/ma15030771
Chicago/Turabian StyleYu, Chia-Hua, Po-Chang Wu, and Wei Lee. 2022. "Polymer Stabilization of Uniform Lying Helix Texture in a Bimesogen-Doped Cholesteric Liquid Crystal for Frequency-Modulated Electro-Optic Responses" Materials 15, no. 3: 771. https://doi.org/10.3390/ma15030771
APA StyleYu, C.-H., Wu, P.-C., & Lee, W. (2022). Polymer Stabilization of Uniform Lying Helix Texture in a Bimesogen-Doped Cholesteric Liquid Crystal for Frequency-Modulated Electro-Optic Responses. Materials, 15(3), 771. https://doi.org/10.3390/ma15030771

